Книга Электроника для начинающих, страница 43 – Паоло Аливерти

Авторы: А Б В Г Д Е Ж З И Й К Л М Н О П Р С Т У Ф Х Ч Ш Ы Э Ю Я
Книги: А Б В Г Д Е Ж З И Й К Л М Н О П Р С Т У Ф Х Ц Ч Ш Щ Ы Э Ю Я
Бесплатная онлайн библиотека LoveRead.in

Онлайн книга «Электроника для начинающих»

📃 Cтраница 43

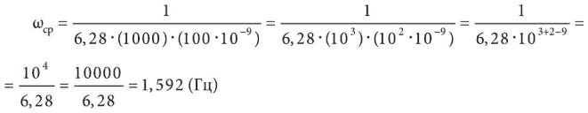
Эффект фильтра может быть представлен в виде графика, который показывает эффект затухания для каждой возможной частоты. Кривая начинаетсяпри 0 Гц, а затем быстро падает: за пределами определенного значения частоты никакой сигнал не будет иметь возможность прохождения. Комбинация R и С определяет частоту среза фильтра. Частота среза не ясна, и поэтому трудно определить ее точное значение. По этой причине указывается 3 дБ, то есть та частота, для которой выходная мощность составляет половину входной мощности. Несложно рассчитать частоту среза для такой простой схемы, как фильтр, для этого достаточно знать формулу. Любопытные могут углубить свои знания с помощью книг, рекомендованных в библиографии. Частота среза рассчитывается по следующей формуле:


Иллюстрация к книге — Электроника для начинающих [i_228.jpg]

R является значением сопротивления в омах, С – емкость конденсатора в фарадах и 2П составляет около 6,28. С сопротивлением 1 кОм и конденсатором 100 нФ частота будет равна примерно 1,5 кГц:


Иллюстрация к книге — Электроника для начинающих [i_229.jpg]

Уменьшая сопротивление до 100 Ом, мы будем иметь частоту среза 16 кГц. С сопротивлением 10 кОм частота среза снизится до 160 Гц.

Мы можем проверить работу фильтра с помощью простого эксперимента. Нам понадобится:


• конденсатор емкостью 100 нФ;

• резисторы на 100 Ом, 1 кОм и 10 кОм;

• генератор сигналов;

• осциллограф или «Ардуино», настроенный для работы в качестве осциллографа (см. приложение В).


В качестве генератора сигналов можем также использовать «Ардуино», запрограммированный для генерирования прямоугольного сигнала с переменной частотой. В конце этой главы мы рассмотрим, как сделать простой генератор сигналов.

Иллюстрация к книге — Электроника для начинающих [i_230.jpg]

Рис. 6.19. Фильтр низких частот на макетной плате, генератор подключен к входу фильтра, а осциллограф служит для обнаружения выходного сигнала


Включим генератор сигналов и увеличим частоту. Если мы все правильно подключили, с помощью ардуиноскопа можно заметить, что амплитуда измеряемого сигнала уменьшается с увеличением частоты. Заменим резисторы и проверим, изменяется ли частота среза как ожидалось.

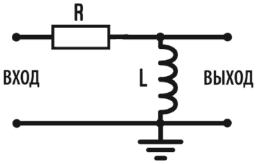
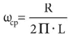
Даже при использовании резистора и катушки индуктивности можно построить фильтр низких частот, но на этот раз сигнал на входе будет сначала проходить через катушку индуктивности, а уже затем дойдет до резистора, подключенного между выходом и землей. Как мы уже видели, катушка индуктивности ведет себя противоположным образом по сравнению с конденсатором: когда на вход фильтра поступает неизменяющийся сигнал, катушка сравнима с замкнутой цепью, в то время как с увеличением частоты она будет иметь все большее сопротивление (реактивное), и сигнал не сможет добраться до выхода.

Частота среза в данном случае равна:


Иллюстрация к книге — Электроника для начинающих [i_231.jpg]

Низкочастотные фильтры полезны для устранения высокочастотных шумов, которые могут достигать наши схемы. Если, например, мы имеем схему с одной секцией, которая работает со звуковыми сигналами, и другой очень шумной цифровой секцией, мы можем ограничить помехи, добавив фильтрынижних частот, поскольку цифровые помехи, как правило, имеют очень высокие частоты.

Иллюстрация к книге — Электроника для начинающих [i_232.jpg]

Рис. 6.20. Схема фильтра низких частот типа RL, состоящего из резистора и катушки индуктивности

Фильтр высоких частот

Что произойдет, если мы поменяем местами резистор и конденсатор? Сигнал, поступающий в фильтр, первым делом встретится с конденсатором. Если сигнал постоянный, конденсатор примет его за разомкнутую цепь, поэтому на выходе ток не пройдет. Увеличив частоту сигнала, конденсатор уменьшит свое реактивное сопротивление и выступит в качестве замкнутой цепи, ток будет проходить.

Иллюстрация к книге — Электроника для начинающих [i_233.jpg]

Рис. 6.21. Электрическая схема простого фильтра высоких частот. Только частоты, превышающие частоту среза, могут проходить через фильтр беспрепятственно


Спектр фильтра высоких частот похож на схему для фильтра низких частот: устройство будет блокировать все частоты ниже частоты среза, пропуская только частоты, превышающие частоту среза. Такая частота рассчитывается по формуле, используемой для фильтра низких частот:


Иллюстрация к книге — Электроника для начинающих [i_234.jpg]

Также как и в первом случае, можно проверить работу фильтра с помощью генератора сигнала и ардуиноскопа.

Иллюстрация к книге — Электроника для начинающих [i_235.jpg]

Рис. 6.22. Фильтр высоких частот на макетной плате, генератор подключен ко входу фильтра, а осциллограф служит для обнаружения выходного сигнала


Амплитуда сигнала должна быть изначально нулевой или очень низкой, а затем подниматься достаточно быстро с приближением к вычисленной частоте среза.

Фильтр высоких частот с катушкой индуктивности и резистором собирается путем замены резистора катушкой индуктивности и замены конденсатора резистором. Когда приложенный сигнал имеет частоту, равную нулю, катушка индуктивности выступает в качестве замкнутой цепи, и сигнал уходит на землю через резистор R. При увеличении частоты, индуктивность обладает все более и более высоким сопротивлением, таким образом, беспрепятственно пропуская сигнал.

Фильтр высоких частот может быть использован для блокирования постоянных и нежелательных напряжений, присутствующих в сигнале. Эти паразитные напряжения могут влиять на поведение цепи, изменяя поляризацию.

Иллюстрация к книге — Электроника для начинающих [i_236.jpg]

Рис. 6.23. Схема фильтра высоких частот типа RL, состоящего из резистора и катушки индуктивности

Полосовой фильтр

Под полосой пропускания подразумевается некий диапазон частот. Полосовой фильтр представляет собой электрическую цепь, которая пропускает только определенный диапазон частот, подавляя все остальные. В радиопередачах фильтры такого типа изолируют канал, который мы хотим услышать, и являются первыми наиболее важными компонентами, которые сталкиваются с сигналами от антенн; они образованы из катушки индуктивности и конденсатора. Характеристики конденсатора, и прежде всего катушки индуктивности определяют качество сигнала, проходящего в радиосхемах, для его обнаружения и усиления.

Вход
Поиск по сайту
Ищем:
Календарь