Книга Электроника для начинающих, страница 9 – Паоло Аливерти

Авторы: А Б В Г Д Е Ж З И Й К Л М Н О П Р С Т У Ф Х Ч Ш Ы Э Ю Я
Книги: А Б В Г Д Е Ж З И Й К Л М Н О П Р С Т У Ф Х Ц Ч Ш Щ Ы Э Ю Я
Бесплатная онлайн библиотека LoveRead.in

Онлайн книга «Электроника для начинающих»

📃 Cтраница 9
Иллюстрация к книге — Электроника для начинающих [i_038.jpg]

Рис. 1.28. Исследуем цепь с помощью тестера, измеряя напряжения в точках А, В и С

Измерение тока

Измерение тока является более сложной операцией, так как необходимо разорвать цепь для подключения щупов измеряющего прибора. Мы выяснили, что ток сравним с потоком воды в трубопроводе. Чтобы измерить его, надо обязательно открыть трубу и подключить наш измерительный прибор, который работает как своего рода счетчик воды, обнуляясь каждую секунду и сообщая количество прошедшей воды. Для измерения тока подключите черный щуп в гнездо СОМ и красный щуп в гнездо для тока. Будьте внимательны, некоторые приборы имеют два гнезда для тока, одно для малых токов (отмечен как «мА») и другое для больших; последнее, как правило, четко обозначено. В нашем случае мы должны использовать гнездо для малых токов. Переключатель тестера устанавливается на соответствующее поле: будьте внимательны, так как и для токов важно разделение переменного и постоянного тока.

Иллюстрация к книге — Электроника для начинающих [i_039.jpg]

Рис. 1.29. Для измерения тока щупы подключаются в гнезда СОМ и А или ADC. Переключатель значений поворачивается на поле А или ADC


Измерим ток, текущий в цепи на рис. 1.23. В соответствии с выполненными нами измерениями было выяснено, что для тока мы должны найти значение между 10 и 20 мА. Для измерения тока, протекающего в проводе, вы должны разорвать цепь и подключить тестер. Наша цепь представляет собой простое кольцо, которое мы можем разорвать в любой точке:


1. включаем тестер;

2. подключаем черный щуп в гнездо СОМ;

3. устанавливаем переключатель для измерения тока, вращаем переключатель в поле ADC на значение, превышающее 20 мА (например, на моем тестере я установил 200 мА);

4. подключаем красный щуп в гнездо А;

5. отсоединяем провод от положительного полюса батарейки;

6. прикладываем черный щуп к положительному полюсу батарейки;

7. прикладываем красный щуп к проводу, отсоединенному от батарейки;

8. проверяем измеренный ток на дисплее.

Иллюстрация к книге — Электроника для начинающих [i_040.jpg]

Рис. 1.30. Для измерения тока в цепи со светодиодом и батарейкой необходимо разорвать цепь и подключить мультиметр; таким образом ток будет проходить через прибор

Правда о воде и токе

На этом этапе необходимо сделать уточнение в метафоре о воде. Представляя, что электрический ток подобен воде, протекающей в трубе, мы таким образом упрощаем понимание и представление о токе. К сожалению, эта модель имеет свои недостатки. Посмотрите на рисунок:

Иллюстрация к книге — Электроника для начинающих [i_041.jpg]

Рис. 1.31. Что изменится, если подключить сопротивление перед или после светодиода?


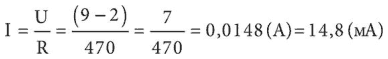
В первом случае мы имеем батарейку, соединенную сначала с резистором, а затем со светодиодом. Если бы ток вел себя подобно воде, он бы вышел из положительного полюса и пришел к сопротивлению. Оно уменьшает ток, который достигает светодиода, таким образом, светодиод включится и не сгорит. Во втором случае ток сначала встретится со светодиодом, а уже потом с сопротивлением. Используя метафору воды, мы будем вынуждены сказать, что электрический ток будет уменьшен только после того, как пройдет через светодиод. Сгорит ли светодиод? В действительности, с точки зрения тока, эти два случая эквивалентны. В обеих цепях ток будет иметь одинаковое значение. Используя батарейку 9 В, сопротивление в 470 Ом и зная, что светодиоду необходимо напряжение 2 В для включения, получаем:


Иллюстрация к книге — Электроника для начинающих [i_042.jpg]

Математические формулы не учитывают тот факт, что сопротивление расположено до или после светодиода, они просто рассматривают цепь, в которой течет ток.

В действительности реальный ток ведет себя не как «текущий» элемент, но скорее как элемент, «занимающий пространство». В этом случае «пространство» представляет собой контур цепи. Это как если бы ток рассматривал сначала «препятствия» на своем пути.

В большинстве книг по электронике первый элемент, с которым мы сталкиваемся, это атом, образованный множеством небольших сфер и используемый для объяснения того, чем являются электроны и как они дают основу для электрического тока. Даже это объяснение, в котором электроны изображаются в виде шаров, является неудачным, потому что в конце концов приводит нас к недостаткам теории с водой.

Современная физика обнаружила, что электроны не имеют форму шара! Говорится о частицах, но в действительности мы имеем поля и волны, аргументы становятся очень сложными, так как приходится сталкиваться с рядом вторичных явлений, которые в большинстве случаев незначительны, но в определенных условиях, иногда даже не столь экстремальных, должны быть учтены.

В этой книге я попытался проще объяснить теорию и избежать излишне сложных терминов и понятий. Модель воды часто подвергается критике, потому что она может сковать мышление людей, изучающих основы электроники. Но я считаю, что польза этой модели превышает вред, и главное вовремя ввести уточнение, указывая на ее ограничения и риски.

Глава 2
Электронные компоненты

В этой главе мы рассмотрим основные типы электронных компонентов, с которыми можем встретиться при реализации наших проектов. Для каждого устройства мы найдем описание принципов его работы, обозначения для его опознания и правила использования.

В электротехнике используют термин «диполь» для обозначения обобщенного электронного элемента с двумя выводами, называемыми также клеммами, соединенными с центральным телом. Компоненты делятся на пассивные и активные: первые не усиливают амплитуду напряжений и токов, вторые, как правило, подключены к электропитанию и способны усиливать ток в цепи. В последующих главах мы рассмотрим диоды, транзисторы и интегральные схемы. Мы включили диод в число активных компонентов, хотя он и не может усилить сигнал, потому что его технология заложила основу для реализации всех активных компонентов. Каждый компонент обозначается определенным символом, который используется при проектировании электрических схем. На практике электронных компонентов насчитывается сотни тысяч. Чтобы разбираться в них, нужен небольшой опыт и знание принятых производителями правил обозначения формой, цветом и кодом. Несмотря на эти отличительные черты, иногда можно найти загадочный компонент без названия и обозначений или имеющий необычную форму. Если компоненты помечены символом, мы можем сделать запрос в интернете, получив технические характеристики или технический паспорт, с описаниями, таблицами, схемами, инструкциями, размерами и примерами его использования.

Вход
Поиск по сайту
Ищем:
Календарь