Книга Электроника для начинающих, страница 11 – Паоло Аливерти

Авторы: А Б В Г Д Е Ж З И Й К Л М Н О П Р С Т У Ф Х Ч Ш Ы Э Ю Я
Книги: А Б В Г Д Е Ж З И Й К Л М Н О П Р С Т У Ф Х Ц Ч Ш Щ Ы Э Ю Я
Бесплатная онлайн библиотека LoveRead.in

Онлайн книга «Электроника для начинающих»

📃 Cтраница 11

Рядом с символом может быть указано значение сопротивления и наименование элемента, например R1. В случае, если указано только наименование, электрическая схема сопровождается перечнем элементов, в котором рядом с каждым наименованием указаны характеристики элемента.

Традиционные резисторы имеют форму колбаски. Резисторы этого типа изготовлены с использованием графита или других резистивных материалов. Также существуют резисторы других форм и типов.

При прохождении тока резистор нагревается. Если проходящий ток обладает высокими значениями, резистор может сильно нагреться и даже повредиться. Потребляемая мощность должна быть всегда меньше, чем предельная рассеиваемая мощность элемента. Наиболее распространенными являются резисторы на 1/4 Вт. Также можно найти резисторы мощностью 1/8 Вт, 1/16 Вт или с большими значениями мощности в 1/2, 1 или 2 Вт.

Иллюстрация к книге — Электроника для начинающих [i_051.jpg]

Рис. 2.8. Резисторы могут выдерживать разные мощности


Существуют покрытые керамическим корпусом резисторы, способные выдерживать мощность 5, 10 и даже до 20 Вт.

Иллюстрация к книге — Электроника для начинающих [i_052.jpg]

Рис. 2.9. Резистор, покрытый керамическим корпусом, может рассеивать большие мощности


Если потребляемая мощность значительна, могут использоваться резисторы с охлаждающими ребрами. Иногда встречаются резисторы нестандартных форм, это элементы с особыми физическими или электрическими характеристиками и, следовательно, не могут быть изготовлены с помощью обычных производственных процессов. Такие элементы имеют особую форму и отличаются от традиционных резисторов.

Современная электроника миниатюрна. Компоненты, используемые в промышленном производстве, изготавливаются по технологии монтажа на поверхность (SMD, Surface Mount Device). Такие компоненты очень малы, обладают низкой стоимостью, точны и быстры в сборке. Резисторы такого типа похожи на небольшие черные кирпичики с указанным сверху значением. На этих элементах можно увидеть надпись: 103 для сопротивления 10 000 Ом. Третья цифра обозначает количество нулей.

Иллюстрация к книге — Электроника для начинающих [i_053.jpg]

Рис. 2.10. Резистор SMD (по технологии монтажа на поверхность)

Последовательные и параллельные резисторы

Соединив два резистора друг с другом, мы получаем то, что называется «последовательное соединение». Ток, который входит в первый резистор, проходит через него и поступает во второй резистор. На следующем рисунке мы видим, как можно распознать этот тип соединения в электрической схеме и как реализовать его на практике.

Иллюстрация к книге — Электроника для начинающих [i_054.jpg]

Рис. 2.11. Последовательное соединение двух резисторов: в электрической цепи и реализация на практике


Два соединенные последовательно резистора ведут себя как единый резистор, имеющий значение, равное сумме двух сопротивлений. Мы можем объяснить это явление с помощью гидравлических терминов, представляя резистор в виде трубы с узким горлом, которое уменьшает поток проходящей воды. Два узких горла, одно за другим, равнозначны более узкому проходу, так как эти эффекты суммируются.


Rобщ = R1 + R2

Иллюстрация к книге — Электроника для начинающих [i_055.jpg]

Рис. 2.12. Два резистора ведут себя подобно трубе с двумя узкими проходами, один за другим


Если R1 равно 100 Ом, a R2 равно 50 Ом, общее сопротивление двух последовательных резисторов будет равно 150 Ом. То есть два резистора действуют как один с сопротивлением 150 Ом. Очевидно, что мы можем подключить с помощью последовательного соединения более двух резисторов.

Иллюстрация к книге — Электроника для начинающих [i_056.jpg]

Рис. 2.13. Параллельное соединение двух резисторов: в электрической цепи и реализация на практике


Сейчас мы попытаемся соединить два резистора параллельно, то есть таким образом, чтобы соединялись их выводы. В этом случае ток попадет на перепутье и разделится. Если сопротивление резисторов имеет одинаковое значение, ток будет разделен на равные части, в противном случае через резистор с меньшим сопротивлением будет проходить больший ток.

Заменим резисторы трубами, у нас есть два узких прохода, в которых поток воды распределяется равномерно. У нас есть два узких прохода, но конечный отсек, которого достигает вода, имеет большие размеры, так как равен сумме двух узких проходов.

Иллюстрация к книге — Электроника для начинающих [i_057.jpg]

Рис. 2.14. Два параллельных резистора сравнимы с двумя параллельными трубами: общий доступный для потока воды отсек равен сумме потоков двух узких проходов


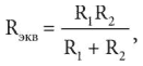
Два параллельно соединенных резистора ведут себя как единый компонент, значение которого рассчитывается по формуле. Наиболее простой случай, в котором два резистора имеют одинаковое сопротивление: два параллельно соединенных резистора сопротивлением 150 Ом эквивалентны одному резистору с сопротивлением 75 Ом. Общее значение уменьшается в два раза! Формула для двух резисторов с разными значениями сопротивлений:


Иллюстрация к книге — Электроника для начинающих [i_058.jpg]

что вытекает из общей формулы, которая действительна для любого числа параллельных резисторов (и не очень проста в использовании):


Иллюстрация к книге — Электроника для начинающих [i_059.jpg]

Как мы видели, резисторы в продаже имеют установленные значения. Комбинации последовательного и параллельного соединения помогают нам получить всевозможные значения сопротивления. Если нам необходимо сопротивление 101 кОм, мы должны просто подключить последовательно сопротивление 100 кОм с сопротивлением 1 кОм.

Давайте попробуем вычислить равноценное сопротивление для схемы на рис. 2.15. Расчет равноценного сопротивления представляет собой математический процесс, с помощью которого мы определяем общее значение сопротивления, образованного соединением группы резисторов.

Следует действовать шаг за шагом, упрощая группы резисторов.

Вход
Поиск по сайту
Ищем:
Календарь