Книга Электроника для начинающих, страница 6 – Паоло Аливерти

Авторы: А Б В Г Д Е Ж З И Й К Л М Н О П Р С Т У Ф Х Ч Ш Ы Э Ю Я
Книги: А Б В Г Д Е Ж З И Й К Л М Н О П Р С Т У Ф Х Ц Ч Ш Щ Ы Э Ю Я
Бесплатная онлайн библиотека LoveRead.in

Онлайн книга «Электроника для начинающих»

📃 Cтраница 6
Иллюстрация к книге — Электроника для начинающих [i_020.jpg]

Рис. 1.17. Источники питания в лабораториях могут регулировать напряжение и ток

Мощность

Чтобы переместить любую вещь, нужно потратить энергию. Это справедливо даже для перемещения таких крошечных частиц, как электроны. Перемещение может происходить за разный промежуток времени: за одну секунду, за один час или один год. Чем быстрее движение, тем больше мощность. На одной пожелтевшей странице моей старой книги по физике показана формула, утверждающая, что мощность равна количеству энергии, поделенной на время: действие будет более мощным, если произойдет быстрее. Электрическая мощность измеряется в ваттах (Вт), в честь Джеймса Уатта, жившего в начале XIX века и исследовавшего паровые машины и тягловую силу, измеряя затраченное время и энергию. Электрическая мощность для электрических цепей может быть рассчитана путем умножения измеренного напряжения между выводами диполя на ток, проходящий через него.


P = U · I


Если у нас есть цепь, питающаяся от 9 В батарейки, и ток, в цепи 0,1 А, то потребляемая мощность будет равна:


P = 9 · 0,1 = 0,9 (Вт)


Эта формула позволяет точно рассчитать мощность для цепи постоянного тока. Для переменного тока формула расчета мощности другая – она сложнее, и мы не будем ее рассматривать.

Даже если результат будет приблизительным, мы могли бы использовать эту формулу мощности для определения тока, потребляемого каким-нибудь бытовым прибором. Если в инструкции или на корпусе фена для волос указана мощность 1000 Вт, а напряжение источника питания сети 220 В, можем рассчитать потребление тока:


Иллюстрация к книге — Электроника для начинающих [i_021.jpg]
Время и частота

Еще один важный параметр, с которым мы будем иметь дело в электронных схемах – это время. Как правило, при расчетах мы не используем время, как линейную величину, но используем термин частота, то есть число событий или циклов, которые происходят в течение одной секунды. Единица измерения частоты называется герц (Гц), в честь немецкого ученого-физика XIX века Генриха Рудольфа Герца.

Например, если мы будем ударять в барабан четыре раза в секунду, мы произведем звук частотой 4 Гц. Таким образом, удары разделены друг от друга временем:


Иллюстрация к книге — Электроника для начинающих [i_022.jpg]

Формула, по которой рассчитывается частота:


Иллюстрация к книге — Электроника для начинающих [i_023.jpg]

Буква Т указывает период, то есть общую продолжительность повторяющегося события. Для переменного тока период – это время, необходимое, чтобы ток совершил один полный цикл, начиная с 0, достигая максимума, затем спускаясь до минимального значения и возвращаясь к 0.

Иллюстрация к книге — Электроника для начинающих [i_024.jpg]

Рис. 1.18. Период – это время, необходимое для прохождения полного цикла


При расчетах числа с большим количеством нулей или запятых не очень удобны, поэтому мы предпочитаем говорить о герцах, а не о событиях происходящих каждые 0,00000012 с!

Постоянные токи имеют частоту 0 Гц, так как никогда не меняются.

Узлы, ветви и контуры

Давайте рассмотрим особенности электрических цепей, которые будут очень полезны для понимания работы электронных схем. Соединим между собой выводы (также называемые клеммами) нескольких диполей. Выводы объединены в узел, который является особым электрическим элементом. Используем нашу обычную аналогию: гидравлическое соединение образовано несколькими трубами, которые соединены в одной точке. В этом случае, если вода поступает из одной трубы, она выйдет также и из других труб. Если вода входит из нескольких труб, она сбалансируется, распределяясь и равномерно выходя из других доступных труб. Единственная ситуация, которая не может произойти, это когда вода выходит из всех труб. Откуда она поступала бы? Вода не может материализоваться из воздуха! Даже обратная ситуация, при которой из всех доступных труб поступает вода, была бы проблематичной.

Иллюстрация к книге — Электроника для начинающих [i_025.jpg]

Рис. 1.19. Сумма токов в одном узле всегда равна нулю


Мы можем наблюдать такое же поведение токов: в один узел могут войти или выйти несколько токов, важно заметить, что если в узел входит определенное количество тока, то же самое количество должно и выйти. В один узел приходят четыре провода, в которых текут токи I1, I2, I3, I4. Введем правило: ток, поступающий в узел, имеет положительный знак, в то время как выходящий из узла ток имеет отрицательный знак. Сумма всех токов в узле всегда должна равняться нулю.


i1 + i2 + i3 + i4 = 0


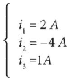
Эта формула называется первым правилом Кирхгофа для электрической цепи. Если токи на рис. 1.19 равны:


Иллюстрация к книге — Электроника для начинающих [i_026.jpg]

тогда I4 будет равен:


2 − 4 + 1 + i4 = 0

3 − 4 + i4 = 0

−1 + i4 = 0

i4 = 0


Ток I4 имеет положительный знак, поэтому, в соответствии с правилом, которое мы установили, он будет поступать в узел.

Иллюстрация к книге — Электроника для начинающих [i_027.jpg]

Рис. 1.20. Цепь содержит три контура


Электрическая цепь состоит из узлов, ветвей и контуров. Ветвью называют участок цепи с одним и тем же током. Контур – это замкнутый путь, проходящий через несколько ветвей и узлов электрической цепи. Термин замкнутый путь означает, что, начав с некоторого узла цепи и однократно пройдя по нескольким ветвям и узлам, можно вернуться в исходный узел. Электрическая цепь может содержать ветви и узлы, принадлежащие одновременно нескольким контурам.

Иллюстрация к книге — Электроника для начинающих [i_028.jpg]

Рис. 1.21. В цепи на рисунке мы сначала нарисовали стрелки синим цветом, а затем делали расчеты. Они показали, что напряжение на третьем диполе отрицательное. На втором рисунке мы повернули стрелку на третьем диполе, чтобы она имела правильное направление

Вход
Поиск по сайту
Ищем:
Календарь