Книга Электроника для начинающих, страница 4 – Паоло Аливерти

Авторы: А Б В Г Д Е Ж З И Й К Л М Н О П Р С Т У Ф Х Ч Ш Ы Э Ю Я
Книги: А Б В Г Д Е Ж З И Й К Л М Н О П Р С Т У Ф Х Ц Ч Ш Щ Ы Э Ю Я
Бесплатная онлайн библиотека LoveRead.in

Онлайн книга «Электроника для начинающих»

📃 Cтраница 4
Иллюстрация к книге — Электроника для начинающих [i_007.jpg]

Рис. 1.7. Ток измеряется подсчетом количества зарядов, проходящих через сечение провода в секунду


Единицей измерения электрического тока, или силы тока, является ампер (А), в честь первооткрывателя электрического тока – великого французского физика Андре-Мари Ампера, жившего на рубеже XVIII–XIX веков. Символом ампера является «А». Как правило, в формулах сила тока обозначается буквой «I». Токи небольшой величины могут быть выражены в миллиамперах [мА]. Очень малые токи, например перехватываемый радио, он может быть выражен в микроамперах [мкА]. Один миллиампер равен 0,001 А, а один микроампер равен 0,000001 А.

Иллюстрация к книге — Электроника для начинающих [i_008.jpg]

Рис. 1.8. Андре-Мари Ампер (1775–1836)


Полноводные реки, такие как Волга, Тобол или Нил, можно сравнить с линиями электропередач – большими электрическими кабелями, которые проходят от электростанций до городов. Реки поменьше можно сравнить с кабелем, в котором проходит ток, необходимый для перемещения трамвая. Пожарный шланг может быть приравнен к кабелю для обеспечения работы больших станков, таких как пресс или промышленный токарный станок; домашний кран можно сравнить с кабелем, который тянется от розетки до чайника или тостера.


Таблица 1.1. Сколько тока требуется?

Иллюстрация к книге — Электроника для начинающих [i_009.jpg]

Электрический ток измеряется с помощью амперметра. В отличие от того, что мы видели, он не измеряет число электронов, проходящих через провод, но использует другую, не менее эффективную систему. Классический амперметр – это электромеханический инструмент, оснащенный стрелкой и градуированной шкалой. Такой амперметр со стрелкой вы можете увидеть в промышленных электрических щитах. Для наших измерений мы используем мультиметр или тестер, инструмент, который может выполнять различные типы электрических измерений, в том числе и измерять силу тока.

Иллюстрация к книге — Электроника для начинающих [i_010.jpg]

Рис. 1.9. Амперметр со стрелкой

Переменный и постоянный ток

В наших схемах мы будем использовать постоянный ток: его значение остается неизменным во времени. Это ток, который может обеспечить аккумулятор или батарейка. В текстах и схемах его часто обозначают аббревиатурой DC (от английского Direct Current – постоянный ток). Переменный ток – это ток, который периодически изменяется во времени: течет какое-то время в одном направлении, а затем в противоположном. Снова прибегая к аналогии с водой, представим, что мы имеем поршневой насос, который, двигаясь, сначала гонит воду по трубе в одном направлении, а потом в обратном.

Иллюстрация к книге — Электроника для начинающих [i_011.jpg]

Рис. 1.10. Гидравлическая аналогия для переменного тока: поршневой насос периодически закачивает воду в одном направлении, а затем в другом


Именно переменный ток приходит от электростанций в наши дома. В начале XIX века, на заре развития электричества, было принято решение использовать этот тип тока, поскольку он проще в распределении и менее опасен, чем постоянный ток, хотя и имеет более высокое напряжение. Переменный ток в домашних розетках имеет значение, которое циклически изменяется с течением времени, переходя от отрицательных значений к положительным. Переменный ток обозначается аббревиатурой АС (от английского Alternating Current – переменный ток). В Европе он выполняет 50 циклов в секунду (таким образом, его частота 50 Гц), в то время как в странах Северной и Южной Америки частота тока 60 Гц, поскольку он изменяется шестьдесят циклов в секунду. В отличие от постоянного тока, переменный ток не может быть накоплен, а также может привести к ряду «вторичных» явлений, которые делают его сложным в использовании. Для рассмотрения этой темы необходимы некоторые математические знания и больше опыта. В этой книге мы не будем говорить о переменном токе. Если вы желаете узнать о работе с переменным током, я рекомендую вам приобрести пособия по электротехнике.

Величины и множители: числа инженеров

В электронике используются числа, которые сильно различаются между собой. В одной и той же формуле громадные величины могут соседствовать с микроскопическими. В наших расчетах нам часто придется использовать числа с большим количеством нулей. Чтобы избежать написания каждый раз всех этих цифр, следует использовать экспоненциальное обозначение с основанием десять: так записывают числа ученые и инженеры. Не всем легко это воспринять. Например, число 100 будет записано в виде 10 · 10, или в виде 102 (десять во второй степени). 1000 будет 10 · 10 · 10, которое также будет писаться как в 103 (десять в третьей степени). 200 становится 2 · 102. Числа с запятой могут быть записаны таким образом:


0,1 = 10−1

0,01 = 10−2

0,003 = 3 · 10−3


Этот способ записи чисел может показаться немного странным, но он очень помогает в расчетах, потому что мы не должны записывать множество нулей, а также потому, что степени имеют интересные свойства, например когда два числа имеют одну и ту же основу (десять) и умножаются в одном и том же уравнении, их степени могут быть сложены. Например:


0,002 · 470000 = (2 · 10−3) · (4,7 · 105) = 9,4 · 10(−3+5) = 9,4 · 102 = 9,4 · 100 = 940


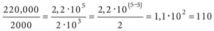
В уравнениях с делением степени чисел с одинаковой основой могут вычитаться:


Иллюстрация к книге — Электроника для начинающих [i_012.jpg]

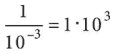
Из предыдущего примера мы можем увидеть, что, если число со степенью стоит в знаменателе дроби, оно может переместиться в числитель путем изменения знака степени на противоположный:


Иллюстрация к книге — Электроника для начинающих [i_013.jpg]

Чтобы записывать числа еще быстрее, ученые решили исключить степени и использовать сокращенные записи. В учебниках и пособиях по электронике мы найдем такие аббревиатуры, как:


1m (для России 1 м) = 0,001 = 1 · 10−3 = один милли

1μ (для России 1 мк) = 0,000 001 = 1 · 10−6 = один микро

Вход
Поиск по сайту
Ищем:
Календарь