Онлайн книга «Увлекательно о космосе. Межпланетные путешествия»
|
Произведение Р × t называется импульсом силы Р за время t. Произведение т × υ называется количеством движения массы m, движущейся со скоростью υ. Импульс силы равен количеству движения массы, приведенной в движение этой силой. Если действует сила переменная, то, строго говоря, этот закон можно прилагать лишь к малым промежуткам времени t, в течение которых силу можно считать неизменяющейся. Тогда предыдущее равенство принимает вид: ![]() Рис. 57. Баллистический маятник Понятия импульса и количества движения постоянно применяются в случаях, когда проявляются действие и противодействие. Примером практического применения этих понятий может служить баллистический маятник, употребляемый для измерения скорости снаряда. Он состоит из большой, но податливой массы М (например, ящика с песком), которая подвешена на стержне, могущем вращаться около некоторой оси (рис. 57). В маятник стреляют снарядом, имеющим массу т, снаряд входит в песок и сообщает общей массе М + m некоторую скорость. Маятник отклоняется, и высоту его подъема Н измеряют. По высоте подъема вычисляют начальную скорость маятника
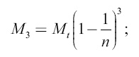
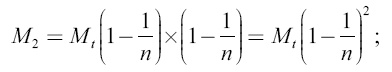
mυ – mυ1, или m (υ – υ1). Итак, Mυ1 = т (υ – υ1), или mυ = (М+ m) υ1. Отсюда можно вычислить υ. В левой части последнего уравнения (mυ) стоит количество движения всей системы (маятник и снаряд) до выстрела, в правой части – количество движения системы после выстрела. Таким образом, количество движения системы не изменяется, если только в эту систему включены все взаимодействующие тела. Такая система называется замкнутой. Итак, в замкнутой системе количество движения остается неизменным, какие бы процессы внутри ее ни происходили. Это закон сохранения количества движения. Другой пример представляет изображенный на рис. 58 двусторонний пистолет. На штативе горизонтально лежит медная трубка, на один конец которой навинчен массивный металлический цилиндр. Другой такой же цилиндр имеет насадку, плотно входящую в трубочку [47]. В трубке сделано отверстие для поджигания с полочкой для пороха. Насыпав на полочку и в трубку немного пороха, вставляют снаряд и кладут пистолет на штатив. Затем при помощи раскаленной проволоки поджигают порох, насыпанный на полочку; порох в трубке взрывается – оба цилиндра с насадками получают ускорения в противоположные стороны и упадут на стол в одинаковых расстояниях от штатива. Действие взрыва одинаково в обе стороны и сообщает обоим цилиндрам одинаковые скорости. Повторяют опыт с различными массами. Пусть цилиндр, скрепленный с трубочкой, весит 50 г, а вставляющийся в нее – 100 г. После взрыва первый отлетает вдвое дальше второго, хотя давление взрывных газов в обе стороны одинаково. В каком бы отношении ни находились снаряды, всегда начальные скорости снарядов обратно пропорциональны их массам и, значит, произведения масс снарядов на начальные скорости одинаковы. ![]() Рис. 58. Двусторонний пистолет Движение снарядов можно определить таким правилом: если до взрыва весь пистолет был в равновесии относительно некоторой оси вращения, то это равновесие сохраняется в каждый момент после взрыва, причем путь обоих снарядов рассматривается как соединяющая их невесомая проволока, а вся система – как рычаг. В самом деле, горизонтальные расстояния обоих снарядов от оси вращения в каждый момент движения обратно пропорциональны соответствующим массам, а это отвечает условию равновесия рычага. Воображаемая ось всегда проходит поэтому через центр тяжести обеих частей пистолета, так что положение центра тяжести остается неизменным (закон сохранения центра тяжести). Закон этот справедлив и для того случая, когда пистолет перед взрывом не был в покое, а двигался с постоянной скоростью. В этом случае после взрыва его части движутся так, что их общий центр тяжести продолжает свое прежнее движение с той же скоростью (сохранение движения центра тяжести). То же самое будет, конечно, при распаде на несколько частей – например, при движении осколков разорвавшейся гранаты или обломков распавшихся космических тел». Движение ракеты Рассмотрим теперь движение ракеты – сначала в среде, свободной от тяжести, а затем в условиях тяжести. а) Движение ракеты в среде без тяжести. Ввиду фундаментального значения уравнения ракеты для всей теории звездоплавания приводим далее два ее вывода: один – элементарный, для незнакомых с высшей математикой, и другой – более строгий, с применением интегрального исчисления. Пусть первоначальная масса покоящейся ракеты равна Мt. Заменим непрерывное вытекание газа из трубы рядом последовательных толчков; с каждым толчком вытекает
![]() после второго толчка остающаяся масса ракеты равна ![]() после третьего толчка ![]() а после k-го — |
![Иллюстрация к книге — Увлекательно о космосе. Межпланетные путешествия [i_105.jpg] Иллюстрация к книге — Увлекательно о космосе. Межпланетные путешествия [i_105.jpg]](img/book_covers/077/77820/i_105.jpg)
![Иллюстрация к книге — Увлекательно о космосе. Межпланетные путешествия [i_106.jpg] Иллюстрация к книге — Увлекательно о космосе. Межпланетные путешествия [i_106.jpg]](img/book_covers/077/77820/i_106.jpg)
![Иллюстрация к книге — Увлекательно о космосе. Межпланетные путешествия [i_107.jpg] Иллюстрация к книге — Увлекательно о космосе. Межпланетные путешествия [i_107.jpg]](img/book_covers/077/77820/i_107.jpg)
![Иллюстрация к книге — Увлекательно о космосе. Межпланетные путешествия [i_108.jpg] Иллюстрация к книге — Увлекательно о космосе. Межпланетные путешествия [i_108.jpg]](img/book_covers/077/77820/i_108.jpg)
![Иллюстрация к книге — Увлекательно о космосе. Межпланетные путешествия [i_109.jpg] Иллюстрация к книге — Увлекательно о космосе. Межпланетные путешествия [i_109.jpg]](img/book_covers/077/77820/i_109.jpg)
![Иллюстрация к книге — Увлекательно о космосе. Межпланетные путешествия [i_110.jpg] Иллюстрация к книге — Увлекательно о космосе. Межпланетные путешествия [i_110.jpg]](img/book_covers/077/77820/i_110.jpg)
![Иллюстрация к книге — Увлекательно о космосе. Межпланетные путешествия [i_111.jpg] Иллюстрация к книге — Увлекательно о космосе. Межпланетные путешествия [i_111.jpg]](img/book_covers/077/77820/i_111.jpg)