Онлайн книга «Увлекательно о космосе. Межпланетные путешествия»
|
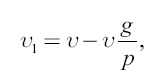
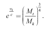
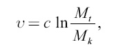
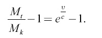
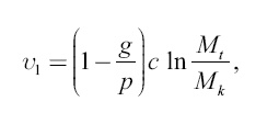
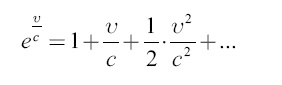
Значит, ![]() то есть окончательная скорость ракеты в среде тяжести меньше, чем в среде без тяжести, на такую же долю, какую ускорение (g) тяжести составляет от собственного ускорения (р) ракеты. Далее, зная из предыдущего, что в среде без тяжести ![]() получаем, что окончательная скорость ракеты в условиях тяжести ![]() или ![]() Формула (2) позволяет вычислить окончательную скорость, приобретаемую ракетой в поле тяготения, если известно отношение
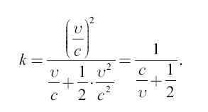
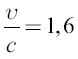
![]() Формулы эти не принимают, конечно, в расчет сопротивление воздуха. Полезное действие свободной ракеты и ракетного экипажа Подсчитаем, какую долю энергии потребляемого горючего ракета переводит в полезную механическую работу. Обозначим, как прежде, массу свободной ракеты до взрывания через Мt, после взрывания – через Мk; масса израсходованного горючего выразится тогда через Mt—Мk, скорость вытекания газа – с. Живая сила вытекающих газов, то есть кинетическая энергия, равна ![]() Отношение второй величины к первой и есть коэффициент к полезного действия свободной ракеты: ![]() или ![]() Из формулы (2) имеем, что ![]() Значит, в среде без тяжести полезное действие ракеты: ![]() Оно достигает наибольшей величины при
Если
![]() Тогда ![]() В среде тяжести выражение для к сложнее; для случая вертикального подъема его нетрудно вывести, подставив в формулу (3) соответствующее значение
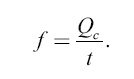
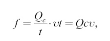
Иначе выразится коэффициент к полезного действия ракетного экипажа (вообще несвободной ракеты), где существенную роль играют такие помехи движению, как трение и сопротивление воздуха. Рассмотрим случай равномерного движения авторакеты, то есть случай, когда работа ракеты равна работе сопротивлений. Так как импульс силы равен количеству движения, то, обозначая через / силу, выбрасывающую продукты взрыва (она равна силе, увлекающей автомобиль), а через t — продолжительность движения, имеем ft = (Mt—Mk) c, где Мt — масса автомобиля до взрывания; Мк — его масса после взрывания; с — скорость вытекания газа. Для удобства обозначим Мt – Мк, то есть запас горючего, через Q, тогда ![]() Полезная же работа автомобиля равна: ![]() так как путь s = υt, где υ – скорость автомобиля. Энергия, затраченная при этом, составляется из двух частей: 1) из той, которая была израсходована на приведение горючего в равномерное движение со скоростью υ; эта часть равна
|
![Иллюстрация к книге — Увлекательно о космосе. Межпланетные путешествия [i_133.jpg] Иллюстрация к книге — Увлекательно о космосе. Межпланетные путешествия [i_133.jpg]](img/book_covers/077/77820/i_133.jpg)
![Иллюстрация к книге — Увлекательно о космосе. Межпланетные путешествия [i_134.jpg] Иллюстрация к книге — Увлекательно о космосе. Межпланетные путешествия [i_134.jpg]](img/book_covers/077/77820/i_134.jpg)
![Иллюстрация к книге — Увлекательно о космосе. Межпланетные путешествия [i_135.jpg] Иллюстрация к книге — Увлекательно о космосе. Межпланетные путешествия [i_135.jpg]](img/book_covers/077/77820/i_135.jpg)
![Иллюстрация к книге — Увлекательно о космосе. Межпланетные путешествия [i_136.jpg] Иллюстрация к книге — Увлекательно о космосе. Межпланетные путешествия [i_136.jpg]](img/book_covers/077/77820/i_136.jpg)
![Иллюстрация к книге — Увлекательно о космосе. Межпланетные путешествия [i_137.jpg] Иллюстрация к книге — Увлекательно о космосе. Межпланетные путешествия [i_137.jpg]](img/book_covers/077/77820/i_137.jpg)
![Иллюстрация к книге — Увлекательно о космосе. Межпланетные путешествия [i_138.jpg] Иллюстрация к книге — Увлекательно о космосе. Межпланетные путешествия [i_138.jpg]](img/book_covers/077/77820/i_138.jpg)
![Иллюстрация к книге — Увлекательно о космосе. Межпланетные путешествия [i_139.jpg] Иллюстрация к книге — Увлекательно о космосе. Межпланетные путешествия [i_139.jpg]](img/book_covers/077/77820/i_139.jpg)
![Иллюстрация к книге — Увлекательно о космосе. Межпланетные путешествия [i_140.jpg] Иллюстрация к книге — Увлекательно о космосе. Межпланетные путешествия [i_140.jpg]](img/book_covers/077/77820/i_140.jpg)
![Иллюстрация к книге — Увлекательно о космосе. Межпланетные путешествия [i_141.jpg] Иллюстрация к книге — Увлекательно о космосе. Межпланетные путешествия [i_141.jpg]](img/book_covers/077/77820/i_141.jpg)
![Иллюстрация к книге — Увлекательно о космосе. Межпланетные путешествия [i_142.jpg] Иллюстрация к книге — Увлекательно о космосе. Межпланетные путешествия [i_142.jpg]](img/book_covers/077/77820/i_142.jpg)
![Иллюстрация к книге — Увлекательно о космосе. Межпланетные путешествия [i_143.jpg] Иллюстрация к книге — Увлекательно о космосе. Межпланетные путешествия [i_143.jpg]](img/book_covers/077/77820/i_143.jpg)
![Иллюстрация к книге — Увлекательно о космосе. Межпланетные путешествия [i_144.jpg] Иллюстрация к книге — Увлекательно о космосе. Межпланетные путешествия [i_144.jpg]](img/book_covers/077/77820/i_144.jpg)
![Иллюстрация к книге — Увлекательно о космосе. Межпланетные путешествия [i_145.jpg] Иллюстрация к книге — Увлекательно о космосе. Межпланетные путешествия [i_145.jpg]](img/book_covers/077/77820/i_145.jpg)
![Иллюстрация к книге — Увлекательно о космосе. Межпланетные путешествия [i_146.jpg] Иллюстрация к книге — Увлекательно о космосе. Межпланетные путешествия [i_146.jpg]](img/book_covers/077/77820/i_146.jpg)
![Иллюстрация к книге — Увлекательно о космосе. Межпланетные путешествия [i_147.jpg] Иллюстрация к книге — Увлекательно о космосе. Межпланетные путешествия [i_147.jpg]](img/book_covers/077/77820/i_147.jpg)
![Иллюстрация к книге — Увлекательно о космосе. Межпланетные путешествия [i_148.jpg] Иллюстрация к книге — Увлекательно о космосе. Межпланетные путешествия [i_148.jpg]](img/book_covers/077/77820/i_148.jpg)
![Иллюстрация к книге — Увлекательно о космосе. Межпланетные путешествия [i_149.jpg] Иллюстрация к книге — Увлекательно о космосе. Межпланетные путешествия [i_149.jpg]](img/book_covers/077/77820/i_149.jpg)
![Иллюстрация к книге — Увлекательно о космосе. Межпланетные путешествия [i_150.jpg] Иллюстрация к книге — Увлекательно о космосе. Межпланетные путешествия [i_150.jpg]](img/book_covers/077/77820/i_150.jpg)
![Иллюстрация к книге — Увлекательно о космосе. Межпланетные путешествия [i_151.jpg] Иллюстрация к книге — Увлекательно о космосе. Межпланетные путешествия [i_151.jpg]](img/book_covers/077/77820/i_151.jpg)
![Иллюстрация к книге — Увлекательно о космосе. Межпланетные путешествия [i_152.jpg] Иллюстрация к книге — Увлекательно о космосе. Межпланетные путешествия [i_152.jpg]](img/book_covers/077/77820/i_152.jpg)