Книга Увлекательно о космосе. Межпланетные путешествия, страница 39 – Яков Перельман

Авторы: А Б В Г Д Е Ж З И Й К Л М Н О П Р С Т У Ф Х Ч Ш Ы Э Ю Я
Книги: А Б В Г Д Е Ж З И Й К Л М Н О П Р С Т У Ф Х Ц Ч Ш Щ Ы Э Ю Я
Бесплатная онлайн библиотека LoveRead.in

Онлайн книга «Увлекательно о космосе. Межпланетные путешествия»

📃 Cтраница 39

Вспомним, однако, что Солнце почти с одинаковою силою притягивает и ракету, и Землю, и Луну, сообщая каждому телу равные ускорения: оно перемещает всю систему из трех тел, почти не влияя на их взаимное расположение. Поэтому ракета, направленная на Луну, должна лететь на нее так, будто притяжение Солнца не существует.

ВЫСАДКА НА ЛУНЕ

О том, как можно безопасно снизиться на Луну, не разбившись о ее твердую поверхность, мы уже беседовали раньше (см. главу 15). Но как смогут звездоплаватели покинуть свой ракетный корабль, если на Луне нет воздуха? Путешественников ждет здесь, казалось бы, неминуемая гибель…

Наши эпроновцы [44], однако, отлично работают как раз в такой среде, где человеку невозможно дышать. Они опускаются под воду в особых костюмах – скафандрах, куда им подается нужный для дыхания воздух. Лунные путешественники ступят на почву нашего негостеприимного спутника также в особых костюмах, имея запас кислорода в баллоне у себя за спиной или на груди. Опасаться того, что подобный костюм будет разорван изнутри давлением распирающего его воздуха при полном отсутствии напора снаружи, нет оснований: костюму нетрудно придать прочность, достаточную, чтобы противостоять давлению в 1 атм. Отпадает и другое опасение, высказанное недавно одним ленинградским физиком, – что невозможно сконструировать скафандр, который, будучи раздуваем изнутри, позволял бы путешественнику свободно перемещать руки и ноги. Сомнение это опровергнуто самой жизнью: скафандр для полетов в разреженных слоях атмосферы, изготовленный и испытанный американским летчиком Постом во время его стратосферного подъема в открытой кабине аэроплана (декабрь 1934 г.), ничем существенным не отличается от костюма для будущей экскурсии на Луну [45].

Само собой разумеется, что выход из ракетного корабля на лунную поверхность должен быть непродолжителен – примерно таков же, как пребывание водолаза на дне моря.

В связи с этим можно поставить вопрос о том, в каком месте лунной поверхности следует производить высадки. Дело в том, что температура лунной почвы не всюду благоприятна для пребывания на ней человека. В том месте Луны, где в данный момент полдень или послеполуденные часы, температура почвы достигает 100 °C и больше; на ночной же половине нашего спутника господствует страшный мороз в 200 °C и ниже. Будущему лунному путешественнику придется, очевидно, избирать для высадки ту зону лунного шара, где в момент снижения утро и почва успела уже нагреться солнечными лучами, однако еще не накалилась. К этому надо прибавить, что так как лунные сутки длятся целый земной месяц, то утро на Луне продолжается несколько земных суток. Зона, пригодная для высадки, довольно широка, особенно близ лунного экватора, и, значит, время пребывания на Луне может быть достаточно продолжительно.

ЗВЕЗДОПЛАВАНИЕ И ТЕОРИЯ ОТНОСИТЕЛЬНОСТИ

В числе опасений, высказываемых насчет межпланетных путешествий, есть и такие, которые черпают свои доводы из теории относительности. Один из рецензентов этой книги высказал мне на страницах авиационного журнала упрек в том, что я «ничего не сказал об относительности понятия одновременности для астронавта, летящего в мировом пространстве с космической скоростью и имеющего собственное поле тяготения».

Сколько требуется «фактического» времени для полета на какую-нибудь планету? – пишет рецензент. – С нашей, земной точки зрения это подсчитать нетрудно, но астронавт, вылетевший в космос с этими расчетами и земными часами, окажется жертвой теории относительности и будет проклинать «астрономическую» точность расписания полета, которая не сойдется с его собственным, так сказать, «внутриракетным» временем.

Далее возникает второй тяжелый вопрос: куда лететь? Путешественник «без масштаба и часов» не знает ни собственной скорости, ни своего положения в пространстве. Единственным якорем спасения является метод непосредственной визуальной проверки, но здесь, кажется, имеет силу поговорка «Не верь своим глазам», так как условия работы на ракете (не говоря уже об искажениях согласно теории Эйнштейна), конечно, не те, которые имеет астроном (подверженный обыденному ускорению 9,8 м/с2) в своей обсерватории.

…Мы считаем, что на всем этом нужно было обязательно остановиться.

Приходится остановиться, раз подобные соображения высказываются даже на страницах специального журнала. Если бы рецензент произвел необходимые выкладки, он, впрочем, сам убедился бы, что при тех скоростях звездолета, о которых говорится в моей книге (несколько десятков километров в секунду), следствия теории Эйнштейна могут сказаться только з а 7-м десятичным знаком. Другими словами, они едва уловимы для точнейших приборов, и опасаться каких-либо неувязок на этой почве нет оснований.

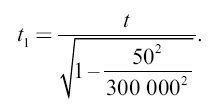
В самом деле, зависимость между продолжительностью какого-либо явления на Земле и продолжительностью того же процесса для наблюдателя в звездолете, который движется относительно Земли со скоростью, например, 50 км/ с, такова:

Иллюстрация к книге — Увлекательно о космосе. Межпланетные путешествия [i_089.jpg]

Выполняя вычисление, получаем

Иллюстрация к книге — Увлекательно о космосе. Межпланетные путешествия [i_090.jpg]

Продолжительность явления должна действительно возрасти, но, как видим, всего на Это значит, что космическое путешествие, длящееся для земного наблюдателя целый год, будет для ракетного пилота длиться на треть секунды больше. Такая прибавка не может иметь для астронавигации ровно никакого значения.

Примерно того же ничтожного порядка и влияние различия полей тяготения Земли и звездолета.

Другое дело, если бы звездолет несся со скоростью десятков тысяч километров в секунду, – эффекты теории относительности сказались бы тогда ощутительно. Но я в моей книге в подобные фантазии не вдаюсь. О них уместно будет завести речь лишь в том случае, если шансы на овладение внутриатомной энергией сделаются технически реальными.

Заключение

Мы видели, что проблема звездоплавания – если не в полном объеме, то в существенной своей части – может считаться разрешенной уже в наши дни. Разрешенной не в техническом, конечно, смысле, а в механическом и физическом: найдены в инвентаре современной науки те физико-механические принципы, на которых может быть построен звездолет будущего. Таким принципом является закон противодействия, и прообразом звездолета является ракета. Сам Ньютон, провозгласивший закон противодействия, пророчески сказал, что если удастся когда-нибудь людям летать в пустом пространстве, то сделано это будет только с помощью аппаратов, основанных на этом начале. Теперь уже нет сомнения, что человечеству суждено вступить когда-нибудь в прямое сообщение с другими планетами, начать новый, «вселенский» период своей истории и осуществится этот шаг при помощи исполинских ракет – единственного средства, разрешающего проблему межпланетных путешествий.

Вход
Поиск по сайту
Ищем:
Календарь