Онлайн книга «Увлекательно о космосе. Межпланетные путешествия»
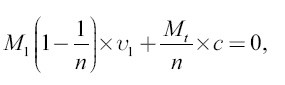
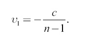
![]() Скорость υ1, приобретаемую ракетой после первого толчка, легко вычислить, исходя из того, что общее количество движения всех частей ракеты до и после разъединения одинаково, то есть равно нулю: ![]() откуда ![]() Скорость υ2 после второго толчка можно считать равной 2υ1, то есть
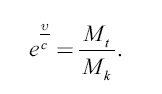
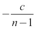
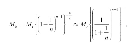
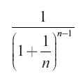
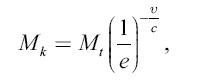
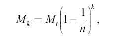
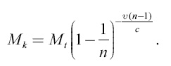
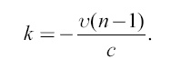
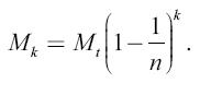
![]() Подставив это выражение для k в формулу ![]() получаем ![]() Преобразуем последнее выражение: ![]() потому что ![]() Выражение ![]() при бесконечно большом n (то есть при переходе от толчков к непрерывному вытеканию газа) равно, как известно,
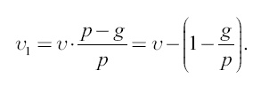
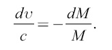
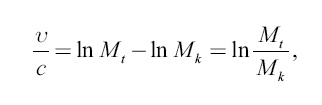
![]() откуда получаем уравнение ракеты: ![]() Укажем теперь более строгий вывод того же основного уравнения. Обозначим массу ракеты в некоторый момент через М и предположим, что до горения ракета была неподвижна. Вследствие горения ракета отбрасывает бес конечно малую часть dM своей массы с постоянною скоростью с (по отношению к ракете). При этом остальная часть массы ракеты (M— dM) получает некоторую бесконечно малую прибавку скорости dυ. Сумма количества движения обеих частей ракеты должна быть, по законам механики (см. выше), та же, что и до горения, то есть равняться нулю: cdM + (M – dM) dυ = 0, или, по раскрытии скобок, cdM + Mdυ – dMdυ = 0. Отбросив член dMdυ как бесконечно малую второго порядка (произведение двух бесконечно малых величин), имеем уравнение: cdM + Mdυ = 0, которое представляем в виде ![]() Интегрируя это дифференциальное уравнение, получаем: ![]() или ![]() Мы пришли к уравнению ракеты, или ко второй теореме Циолковского, которую он формулирует так: «В среде без тяжести окончательная скорость (υ) ракеты не зависит от силы и порядка взрывания, а только от количества взрывчатого материала (по отношению к массе ракеты) и от устройства взрывной трубы». При всех этих вычислениях не учитывалось земное притяжение, влияние которого мы сейчас вкратце рассмотрим. б) Движение ракеты в условиях тяжести. Ускорение а, приобретаемое ракетой при отвесном подъеме с Земли, равно, очевидно, разности между собственным ускорением ракеты р и ускорением земной тяжести g: a = p – g. Так как приобретаемая при этом ракетой окончательная скорость υ1 = at1, то продолжительность горения равна
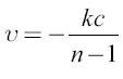
![]() Из этого равенства и из соотношения υ = pt мы выводим, что при одинаковой продолжительности горения (t = t1): ![]() откуда ![]() |
![Иллюстрация к книге — Увлекательно о космосе. Межпланетные путешествия [i_112.jpg] Иллюстрация к книге — Увлекательно о космосе. Межпланетные путешествия [i_112.jpg]](img/book_covers/077/77820/i_112.jpg)
![Иллюстрация к книге — Увлекательно о космосе. Межпланетные путешествия [i_113.jpg] Иллюстрация к книге — Увлекательно о космосе. Межпланетные путешествия [i_113.jpg]](img/book_covers/077/77820/i_113.jpg)
![Иллюстрация к книге — Увлекательно о космосе. Межпланетные путешествия [i_114.jpg] Иллюстрация к книге — Увлекательно о космосе. Межпланетные путешествия [i_114.jpg]](img/book_covers/077/77820/i_114.jpg)
![Иллюстрация к книге — Увлекательно о космосе. Межпланетные путешествия [i_115.jpg] Иллюстрация к книге — Увлекательно о космосе. Межпланетные путешествия [i_115.jpg]](img/book_covers/077/77820/i_115.jpg)
![Иллюстрация к книге — Увлекательно о космосе. Межпланетные путешествия [i_116.jpg] Иллюстрация к книге — Увлекательно о космосе. Межпланетные путешествия [i_116.jpg]](img/book_covers/077/77820/i_116.jpg)
![Иллюстрация к книге — Увлекательно о космосе. Межпланетные путешествия [i_117.jpg] Иллюстрация к книге — Увлекательно о космосе. Межпланетные путешествия [i_117.jpg]](img/book_covers/077/77820/i_117.jpg)
![Иллюстрация к книге — Увлекательно о космосе. Межпланетные путешествия [i_118.jpg] Иллюстрация к книге — Увлекательно о космосе. Межпланетные путешествия [i_118.jpg]](img/book_covers/077/77820/i_118.jpg)
![Иллюстрация к книге — Увлекательно о космосе. Межпланетные путешествия [i_119.jpg] Иллюстрация к книге — Увлекательно о космосе. Межпланетные путешествия [i_119.jpg]](img/book_covers/077/77820/i_119.jpg)
![Иллюстрация к книге — Увлекательно о космосе. Межпланетные путешествия [i_120.jpg] Иллюстрация к книге — Увлекательно о космосе. Межпланетные путешествия [i_120.jpg]](img/book_covers/077/77820/i_120.jpg)
![Иллюстрация к книге — Увлекательно о космосе. Межпланетные путешествия [i_121.jpg] Иллюстрация к книге — Увлекательно о космосе. Межпланетные путешествия [i_121.jpg]](img/book_covers/077/77820/i_121.jpg)
![Иллюстрация к книге — Увлекательно о космосе. Межпланетные путешествия [i_122.jpg] Иллюстрация к книге — Увлекательно о космосе. Межпланетные путешествия [i_122.jpg]](img/book_covers/077/77820/i_122.jpg)
![Иллюстрация к книге — Увлекательно о космосе. Межпланетные путешествия [i_123.jpg] Иллюстрация к книге — Увлекательно о космосе. Межпланетные путешествия [i_123.jpg]](img/book_covers/077/77820/i_123.jpg)
![Иллюстрация к книге — Увлекательно о космосе. Межпланетные путешествия [i_124.jpg] Иллюстрация к книге — Увлекательно о космосе. Межпланетные путешествия [i_124.jpg]](img/book_covers/077/77820/i_124.jpg)
![Иллюстрация к книге — Увлекательно о космосе. Межпланетные путешествия [i_125.jpg] Иллюстрация к книге — Увлекательно о космосе. Межпланетные путешествия [i_125.jpg]](img/book_covers/077/77820/i_125.jpg)
![Иллюстрация к книге — Увлекательно о космосе. Межпланетные путешествия [i_126.jpg] Иллюстрация к книге — Увлекательно о космосе. Межпланетные путешествия [i_126.jpg]](img/book_covers/077/77820/i_126.jpg)
![Иллюстрация к книге — Увлекательно о космосе. Межпланетные путешествия [i_127.jpg] Иллюстрация к книге — Увлекательно о космосе. Межпланетные путешествия [i_127.jpg]](img/book_covers/077/77820/i_127.jpg)
![Иллюстрация к книге — Увлекательно о космосе. Межпланетные путешествия [i_128.jpg] Иллюстрация к книге — Увлекательно о космосе. Межпланетные путешествия [i_128.jpg]](img/book_covers/077/77820/i_128.jpg)
![Иллюстрация к книге — Увлекательно о космосе. Межпланетные путешествия [i_129.jpg] Иллюстрация к книге — Увлекательно о космосе. Межпланетные путешествия [i_129.jpg]](img/book_covers/077/77820/i_129.jpg)
![Иллюстрация к книге — Увлекательно о космосе. Межпланетные путешествия [i_130.jpg] Иллюстрация к книге — Увлекательно о космосе. Межпланетные путешествия [i_130.jpg]](img/book_covers/077/77820/i_130.jpg)
![Иллюстрация к книге — Увлекательно о космосе. Межпланетные путешествия [i_131.jpg] Иллюстрация к книге — Увлекательно о космосе. Межпланетные путешествия [i_131.jpg]](img/book_covers/077/77820/i_131.jpg)
![Иллюстрация к книге — Увлекательно о космосе. Межпланетные путешествия [i_132.jpg] Иллюстрация к книге — Увлекательно о космосе. Межпланетные путешествия [i_132.jpg]](img/book_covers/077/77820/i_132.jpg)