Онлайн книга «Деньги, банковский кредит и экономические циклы»
|
[21] 1 219 512 + 1 219 512 · 0,878 + 1 219 512 · 0,8782 + … = = a + ar + ar2 +… =
где: a = 1 219 512 д.е., а общий коэффициент
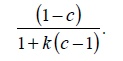
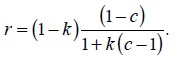
Так происходит оттого, что в нашем примере r будет равно 80 %, т. е. (1–k), от доли депозитов, вновь созданных каждым банком на каждой стадии. Эта доля, рассчитанная по формуле [3], равняется ![]() Отсюда [22]
И, поскольку |r| < 1, можно применить формулы [11] и [12]: [23]
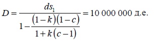
Таким образом D, сумма депозитов в банковской системе, будет равна: [24]
В этой формуле ds1 обозначает вторичные депозиты банка А и равна 1 219 512 д.е. Чистая кредитная экспансия x в банковской системе в целом будет равна: [25] x = D – d = 10 000 000 – 1 000 000 = 9 000 000 д.е. Общий итог сведен в табл. 4–1 и на рис. 4–1. Подробности даны для каждого банка – члена банковской системы. Таблица 4-1 Система банков «обычного» размера (k = 0,2; c = 0,1) ![]() Примечание: последние три цифры округлены. Создание кредита в системе мелких банков Теперь предположим, что система состоит только из очень мелких банков, для которых k = 0, а с = 0,1. Бухгалтерские проводки для такой банковской системы будут выглядеть следующим образом. Когда в банк А сделан депозит до востребования в размере 1 000 000 д.е.: ![]() ![]() Рис. 4–1. кредитная экспансия в банковской системе * Примечание: ввиду недостатка места области R и P не соответствуют их реальной величине. * На основе рисунка из: C.A. Philips in Bank Credit, op. cit., p.61. Когда Z снимает с депозита 900 000 д.е., чтобы заплатить Y, баланс банка А приобретает такой вид: ![]() Если Y, в свою очередь, хранит полученные деньги в другом мелком банке В, у которого c = 0,1 и k = 0, то последуют проводки: ![]() А баланс банка В будет выглядеть так: ![]() Теперь если V снимает с депозита в своем банке полученный кредит, чтобы уплатить U, а U хранит деньги уже в другом банке – банке С, столь же мелком, т. е. у которого k = 0, а c = 0,1, то в регистрах банка С будут отражены проводки: ![]() А баланс банка С приобретет следующий вид: ![]() Когда Т заплатит своему кредитору S, при том что S хранит свои деньги в мелком банке D (у которого точно так же c = 0,1, а k = 0), будут сделаны бухгалтерские записи: ![]() А баланс банка D станет выглядеть следующим образом: ![]() Общая сумма депозитов в системе очень малых банков равна сумме последовательности, отраженной в формуле [8], которая относится к банку-монополисту: [26] 1 000 000 + 1 000 000 · 0,9 + 1 000 000 · 0,92 +1 000 000 · 0,93 + … =
где: a = 1 000 000; r = 0,9. Как показано в прим. 27, эта сумма, в свою очередь, равна: ![]() А поскольку a = d = 1 000 000 д.е., вложенных первоначально, то общую сумму депозитов можно рассчитать по формуле [27]
Эта формула идентична мультипликатору депозитов для случая банковской системы, состоящей из единственного банка-монополиста [14]. |
![Иллюстрация к книге — Деньги, банковский кредит и экономические циклы [i_053.jpg] Иллюстрация к книге — Деньги, банковский кредит и экономические циклы [i_053.jpg]](img/book_covers/066/66318/i_053.jpg)
![Иллюстрация к книге — Деньги, банковский кредит и экономические циклы [i_054.jpg] Иллюстрация к книге — Деньги, банковский кредит и экономические циклы [i_054.jpg]](img/book_covers/066/66318/i_054.jpg)
![Иллюстрация к книге — Деньги, банковский кредит и экономические циклы [i_055.jpg] Иллюстрация к книге — Деньги, банковский кредит и экономические циклы [i_055.jpg]](img/book_covers/066/66318/i_055.jpg)
![Иллюстрация к книге — Деньги, банковский кредит и экономические циклы [i_056.jpg] Иллюстрация к книге — Деньги, банковский кредит и экономические циклы [i_056.jpg]](img/book_covers/066/66318/i_056.jpg)
![Иллюстрация к книге — Деньги, банковский кредит и экономические циклы [i_057.jpg] Иллюстрация к книге — Деньги, банковский кредит и экономические циклы [i_057.jpg]](img/book_covers/066/66318/i_057.jpg)
![Иллюстрация к книге — Деньги, банковский кредит и экономические циклы [i_058.jpg] Иллюстрация к книге — Деньги, банковский кредит и экономические циклы [i_058.jpg]](img/book_covers/066/66318/i_058.jpg)
![Иллюстрация к книге — Деньги, банковский кредит и экономические циклы [i_059.jpg] Иллюстрация к книге — Деньги, банковский кредит и экономические циклы [i_059.jpg]](img/book_covers/066/66318/i_059.jpg)
![Иллюстрация к книге — Деньги, банковский кредит и экономические циклы [i_060.jpg] Иллюстрация к книге — Деньги, банковский кредит и экономические циклы [i_060.jpg]](img/book_covers/066/66318/i_060.jpg)
![Иллюстрация к книге — Деньги, банковский кредит и экономические циклы [i_061.jpg] Иллюстрация к книге — Деньги, банковский кредит и экономические циклы [i_061.jpg]](img/book_covers/066/66318/i_061.jpg)
![Иллюстрация к книге — Деньги, банковский кредит и экономические циклы [i_062.jpg] Иллюстрация к книге — Деньги, банковский кредит и экономические циклы [i_062.jpg]](img/book_covers/066/66318/i_062.jpg)
![Иллюстрация к книге — Деньги, банковский кредит и экономические циклы [i_063.jpg] Иллюстрация к книге — Деньги, банковский кредит и экономические циклы [i_063.jpg]](img/book_covers/066/66318/i_063.jpg)
![Иллюстрация к книге — Деньги, банковский кредит и экономические циклы [i_064.jpg] Иллюстрация к книге — Деньги, банковский кредит и экономические циклы [i_064.jpg]](img/book_covers/066/66318/i_064.jpg)
![Иллюстрация к книге — Деньги, банковский кредит и экономические циклы [i_065.jpg] Иллюстрация к книге — Деньги, банковский кредит и экономические циклы [i_065.jpg]](img/book_covers/066/66318/i_065.jpg)
![Иллюстрация к книге — Деньги, банковский кредит и экономические циклы [i_066.jpg] Иллюстрация к книге — Деньги, банковский кредит и экономические циклы [i_066.jpg]](img/book_covers/066/66318/i_066.jpg)
![Иллюстрация к книге — Деньги, банковский кредит и экономические циклы [i_067.jpg] Иллюстрация к книге — Деньги, банковский кредит и экономические циклы [i_067.jpg]](img/book_covers/066/66318/i_067.jpg)
![Иллюстрация к книге — Деньги, банковский кредит и экономические циклы [i_068.jpg] Иллюстрация к книге — Деньги, банковский кредит и экономические циклы [i_068.jpg]](img/book_covers/066/66318/i_068.jpg)
![Иллюстрация к книге — Деньги, банковский кредит и экономические циклы [i_069.jpg] Иллюстрация к книге — Деньги, банковский кредит и экономические циклы [i_069.jpg]](img/book_covers/066/66318/i_069.jpg)
![Иллюстрация к книге — Деньги, банковский кредит и экономические циклы [i_070.jpg] Иллюстрация к книге — Деньги, банковский кредит и экономические циклы [i_070.jpg]](img/book_covers/066/66318/i_070.jpg)
![Иллюстрация к книге — Деньги, банковский кредит и экономические циклы [i_071.jpg] Иллюстрация к книге — Деньги, банковский кредит и экономические циклы [i_071.jpg]](img/book_covers/066/66318/i_071.jpg)