Онлайн книга «Деньги, банковский кредит и экономические циклы»
|
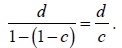
Для наглядности мы составили следующую таблицу различных сочетаний c (коэффициента резервирования) и k (процента неиспользованных кредитов или клиентов одного и того же банка), которые позволяют изолированному банку в одиночку удваивать свою денежную массу (подставляя эти значения в формулу [3], получаем x = d). ![]() Кредитная экспансия и создание депозитов из ничего единственным банком-монополистом Теперь предположим, что k = 1. Мы рассматриваем либо единственный банк-монополист, заемщики которого, за неимением других банков, вынуждены держать на депозитах все взятые ими кредиты, либо ситуацию, когда все конечные получатели платежей, сделанных заемщиками банка, тоже являются клиентами этого банка. (Эта «идеальная» цель была бы достигнута при слиянии всех остающихся мегабанков.) Подставив значение k = 1 в формулу [3], получим: [6]
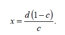
Возвращаясь к нашему примеру, в котором d = 1 000 000 д.е., а c = 0,1, подставим эти значения в полученную формулу: [7]
В этом случае банк самостоятельно может из ничего создать кредиты и депозиты, т. е фидуциарные средства обращения, на сумму 9 000 000 д.е., что означает следующее: он может увеличить предложение денег в 10 раз (первоначальный депозит 1 000 000 д.е. плюс 9 000 000 д.е. в форме фидуциарных средств обращения, или депозитов, созданных из ничего для обеспечения предоставленных банком кредитов). Предположив вслед за Брешиани-Туррони [276], что все платежи выполняются между клиентами одного банка (либо занимающего монопольное положение, либо ввиду особых обстоятельств, определяющих такую ситуацию), рассмотрим бухгалтерские записи, которые покажут процесс продвижения к такому результату. Мы будем следовать традиционной континентальной системе (противоположной англосаксонской), в которой все платежи отражаются на счете денежных средств. Нижеследующий пример представляет журнал на моменты времени t1, t2, t3… t9 и т. д. и отражает практику банка в каждой итерации предоставлять своим клиентам кредиты на сумму, равную 90 % получаемых банком денежных средств. Клиенты используют полученные кредиты полностью, но ввиду отсутствия у них счетов в других банках (или попросту из-за того, что другого банка в этом обществе нет), в конечном счете полученные ими деньги возвращаются в тот же банк. Это, в свою очередь, позволяет банку предоставлять новые кредиты и генерировать новые депозиты, причем процесс повторяется вновь и вновь: ![]() Предположим, что U полностью использует полученный кредит и платит своему кредитору А. Являясь клиентом того же банка, что и U, А размещает полученные 900 000 д.е. на депозите в этом банке. В результате получаются следующие записи: ![]() Предположим, что заемщик V снимает деньги со своего счета и платит кредитору В, который тоже клиент этого банка и тоже хранит в нем деньги. Этот повторяющийся процесс продолжается, отражаясь в следующих записях: ![]() Так происходит снова и снова, пока в конце года общий объем банковских депозитов не достигает суммы: [8] 1 000 000 + 1 000 000 ×0,9 + 1 000 000 ×0,92 + + 1 000 000 ×0,93 + 1 000 000 ×0,94 +… = = 1 000 000 (1 + 0,9 + 0,92 + 0,93 + 0,94 +…) Это выражение представляет собой сумму членов геометрической прогрессии. Она является возрастающей с коэффициентом 0,9 [277]. В нашем примере r = 0,9; а = 1 000 000 д.е. и, следовательно, сумма членов прогрессии будет равна: [13]
Если мы вспомним, что d представляет собой 1 000 000 д.е., первоначально внесенных на депозит, и что r = 1 – c, то есть r = 1–0,1 = 0,9, то ясно, что сумма всех банковских депозитов (первичных и производных) будет равна [14]
Таким образом общий объем депозитов в банке-монополисте (или в банке, где все те, кто получает деньги от заемщиков банка, также имеют в нем счет) будет равен сумме первичных депозитов d, деленной на коэффициент резервирования c. Формула [14] – простейшая версия так называемого банковского мультипликатора, и тождественна формуле [27], которая приводит к тому же результату для банковской системы из множества мелких банков. Эта формула впервые выведена, по-видимому, Альфредом Маршаллом в 1887 г. [278] |
![Иллюстрация к книге — Деньги, банковский кредит и экономические циклы [i_031.jpg] Иллюстрация к книге — Деньги, банковский кредит и экономические циклы [i_031.jpg]](img/book_covers/066/66318/i_031.jpg)
![Иллюстрация к книге — Деньги, банковский кредит и экономические циклы [i_032.jpg] Иллюстрация к книге — Деньги, банковский кредит и экономические циклы [i_032.jpg]](img/book_covers/066/66318/i_032.jpg)
![Иллюстрация к книге — Деньги, банковский кредит и экономические циклы [i_033.jpg] Иллюстрация к книге — Деньги, банковский кредит и экономические циклы [i_033.jpg]](img/book_covers/066/66318/i_033.jpg)
![Иллюстрация к книге — Деньги, банковский кредит и экономические циклы [i_034.jpg] Иллюстрация к книге — Деньги, банковский кредит и экономические циклы [i_034.jpg]](img/book_covers/066/66318/i_034.jpg)
![Иллюстрация к книге — Деньги, банковский кредит и экономические циклы [i_035.jpg] Иллюстрация к книге — Деньги, банковский кредит и экономические циклы [i_035.jpg]](img/book_covers/066/66318/i_035.jpg)
![Иллюстрация к книге — Деньги, банковский кредит и экономические циклы [i_036.jpg] Иллюстрация к книге — Деньги, банковский кредит и экономические циклы [i_036.jpg]](img/book_covers/066/66318/i_036.jpg)
![Иллюстрация к книге — Деньги, банковский кредит и экономические циклы [i_037.jpg] Иллюстрация к книге — Деньги, банковский кредит и экономические циклы [i_037.jpg]](img/book_covers/066/66318/i_037.jpg)
![Иллюстрация к книге — Деньги, банковский кредит и экономические циклы [i_038.jpg] Иллюстрация к книге — Деньги, банковский кредит и экономические циклы [i_038.jpg]](img/book_covers/066/66318/i_038.jpg)