Онлайн книга «Деньги, банковский кредит и экономические циклы»
|
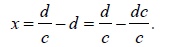
Чтобы вычислить чистый объем расширения кредитов, которые банк производит из ничего, – иными словами, депозитов или фидуциарных средств обращения, произведенных из ничего (для того, чтобы сделать возможной кредитную экспансию), – можно использовать следующую формулу: [15]
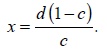
Теперь вынесем за скобки общий множитель: [16]
Эта формула совпадает с формулой [6]. При d = 1 000 000 д.е. и c = 0,1 для нашего случая банка-монополиста чистая кредитная экспансия будет равна: [17]
Поэтому баланс банка А, банка-монополиста, в конце концов будет выглядеть следующим образом: ![]() Располагая в своих хранилищах первичными депозитами в размере всего 1 000 000 д.е., банк А, занимающий монопольное положение, расширил кредит путем предоставления кредитов на сумму 9 000 000 д.е., в покрытие которых создав из ничего новых депозитов, или фидуциарных средств обращения, на сумму 9 000 000 д.е. [279] 5 Кредитная экспансия и создание новых депозитов в банковской системе в целом
Мы рассмотрели огромные возможности изолированных банков в создании фидуциарных кредитов и депозитов. Самостоятельно они обычно могут удваивать предложение денег. Сейчас мы увидим, как банковская система с частичным резервированием, взятая как единое целое, создает из ничего значительно больший объем депозитов и вызывает куда более обширную кредитную экспансию. Действительно, в этом отношении система с частичным резервированием приводит к тем же последствиям, что и банк-монополист. Наш пример будет основан на более общем случае банковской системы, включающей группу обычных банков, каждый из которых поддерживает 10 %-ные денежные резервы c. Кроме того, каждый клиент в среднем не использует 20 % предоставленных кредитов (либо 20 % фидуциарных средств обращения возвращается в банк благодаря тому, что значительное число их конечных получателей также клиенты этого банка). Следовательно, k = 20 %. Предположим, что г-н Х кладет в банк А на депозит 1 000 000 д.е. В этом случае банк делает следующую бухгалтерскую проводку: ![]() Теперь банк А сможет создать и предоставить кредит клиенту Z на сумму, определяемую формулой [3], результатом чего станет такая запись: ![]() И, так как k = 0,2, т. е. использовано 80 % выданных кредитов, будет сделана запись: ![]() После этих записей баланс банка А будет выглядеть следующим образом: ![]() Предположим, что когда Z изымает свой депозит, от платит Y, клиенту банка В, который открывает депозит в этом банке. Последуют три проводки, параллельно трем вышеприведенным. Для определения объемов снова используется формула [3]. ![]() После этих действий баланс банка В будет выглядеть так: ![]() Представим, что V выплачивает долг U, который, в свою очередь, кладет полученные деньги на депозит в банке С, клиентом которого он является. Будут сделаны следующие проводки: ![]() Последнюю запись банк С сделал, когда R изъял 80 % (k = 0,2) своего кредита, полученного от банка С, чтобы заплатить, например, кредитору Т. Как только эти операции будут выполнены, баланс банка С приобретет следующий вид. ![]() И если кредитор Т по получении денег кладет их в банк D, клиентом которого он является, последуют записи: ![]() Последнюю запись банк сделает в своих регистрах, когда S заплатит своим кредиторам. В этот момент баланс банка D будет выглядеть так: ![]() По мере продолжения этого процесса цепочка депозитов и кредитов расширяется на все банки системы. Когда полностью исчезнет воздействие первичного депозита в 1 000 000 д.е., общая сумма депозитов, созданных банковской системой, будет равна сумме последовательности: |
![Иллюстрация к книге — Деньги, банковский кредит и экономические циклы [i_039.jpg] Иллюстрация к книге — Деньги, банковский кредит и экономические циклы [i_039.jpg]](img/book_covers/066/66318/i_039.jpg)
![Иллюстрация к книге — Деньги, банковский кредит и экономические циклы [i_040.jpg] Иллюстрация к книге — Деньги, банковский кредит и экономические циклы [i_040.jpg]](img/book_covers/066/66318/i_040.jpg)
![Иллюстрация к книге — Деньги, банковский кредит и экономические циклы [i_041.jpg] Иллюстрация к книге — Деньги, банковский кредит и экономические циклы [i_041.jpg]](img/book_covers/066/66318/i_041.jpg)
![Иллюстрация к книге — Деньги, банковский кредит и экономические циклы [i_042.jpg] Иллюстрация к книге — Деньги, банковский кредит и экономические циклы [i_042.jpg]](img/book_covers/066/66318/i_042.jpg)
![Иллюстрация к книге — Деньги, банковский кредит и экономические циклы [i_043.jpg] Иллюстрация к книге — Деньги, банковский кредит и экономические циклы [i_043.jpg]](img/book_covers/066/66318/i_043.jpg)
![Иллюстрация к книге — Деньги, банковский кредит и экономические циклы [i_044.jpg] Иллюстрация к книге — Деньги, банковский кредит и экономические циклы [i_044.jpg]](img/book_covers/066/66318/i_044.jpg)
![Иллюстрация к книге — Деньги, банковский кредит и экономические циклы [i_045.jpg] Иллюстрация к книге — Деньги, банковский кредит и экономические циклы [i_045.jpg]](img/book_covers/066/66318/i_045.jpg)
![Иллюстрация к книге — Деньги, банковский кредит и экономические циклы [i_046.jpg] Иллюстрация к книге — Деньги, банковский кредит и экономические циклы [i_046.jpg]](img/book_covers/066/66318/i_046.jpg)
![Иллюстрация к книге — Деньги, банковский кредит и экономические циклы [i_047.jpg] Иллюстрация к книге — Деньги, банковский кредит и экономические циклы [i_047.jpg]](img/book_covers/066/66318/i_047.jpg)
![Иллюстрация к книге — Деньги, банковский кредит и экономические циклы [i_048.jpg] Иллюстрация к книге — Деньги, банковский кредит и экономические циклы [i_048.jpg]](img/book_covers/066/66318/i_048.jpg)
![Иллюстрация к книге — Деньги, банковский кредит и экономические циклы [i_049.jpg] Иллюстрация к книге — Деньги, банковский кредит и экономические циклы [i_049.jpg]](img/book_covers/066/66318/i_049.jpg)
![Иллюстрация к книге — Деньги, банковский кредит и экономические циклы [i_050.jpg] Иллюстрация к книге — Деньги, банковский кредит и экономические циклы [i_050.jpg]](img/book_covers/066/66318/i_050.jpg)
![Иллюстрация к книге — Деньги, банковский кредит и экономические циклы [i_051.jpg] Иллюстрация к книге — Деньги, банковский кредит и экономические циклы [i_051.jpg]](img/book_covers/066/66318/i_051.jpg)
![Иллюстрация к книге — Деньги, банковский кредит и экономические циклы [i_052.jpg] Иллюстрация к книге — Деньги, банковский кредит и экономические циклы [i_052.jpg]](img/book_covers/066/66318/i_052.jpg)