Книга Деньги, банковский кредит и экономические циклы, страница 63 – Хесус Уэрта де Сото

Авторы: А Б В Г Д Е Ж З И Й К Л М Н О П Р С Т У Ф Х Ч Ш Ы Э Ю Я
Книги: А Б В Г Д Е Ж З И Й К Л М Н О П Р С Т У Ф Х Ц Ч Ш Щ Ы Э Ю Я
Бесплатная онлайн библиотека LoveRead.in

Онлайн книга «Деньги, банковский кредит и экономические циклы»

📃 Cтраница 63

Иными словами, в нормальных условиях депозиты, возникающие в связи с выдачей кредитов, – это просто вторичный результат того богатства, которое банки непрерывно накапливают и присваивают, результат, отраженный в бухгалтерских записях. К этой теме мы вернемся ниже при обсуждении проблемы банкнот, а также в последней главе этой книги, где будут представлены наши предложения по банковской реформе.

Вымывание денежного предложения из банковской системы

Другая сложность связана с тем, что всякий раз, когда выдается кредит и создается (и затем снимается со счета) депозит, определенная доля денежного предложения вымывается из системы и оседает у людей, которые не желают класть их на банковский депозит. Чем больше процент, который физически вымывается в карманы людей на каждой стадии и остается вне банковской системы, тем меньше способность банка генерировать новые кредиты.

Рассмотрим систему мелких банков (у которых k = 0) с коэффициентом резервирования 10 % (c = 0,1), обозначив через f долю денежного предложения, которая вымывается из банковской системы. Пусть f = 0,15. Когда банк А предоставляет кредит в размере 900 000 д.е., денежное предложение, которое должно вернуться в банковскую систему, будет равно:

(1 – f) 900 000 = (1–0,15) 900 000 = 765 000 д.е.

Поэтому, рассматривая систему мелких банков и приняв, что k = 0, c = 0,1, а f = 0,15, можно использовать следующие формулы:

если DN – общая сумма чистых депозитов, которая состоит из брутто-депозитов DG минус общая сумма денег, вымытых из системы, F, тогда:

[29] DN= DGF.

Общая сумма денег, вымытых из системы, будет равна общей сумме брутто-депозитов DG, умноженной на f, где f – процент денег, вымывающихся из системы. Таким образом,

[30] F= f·DG.

В свою очередь, объем первоначально депонированных денег равен сумме чистых депозитов, умноженной на соответствующий коэффициент резервирования плюс общая сумма денег, вымытых из системы:

[31] d = DN · c + F.

Подставив в это уравнение значение DN из формулы [29] и значение F из формулы [30], получим:

[32] d= (DGF) · c+ f· DG.

Заменив в уравнении F на f · DG, получим:

[33] d= (DGf· DG) c+ f· DG.

Теперь вынесем за скобки DG:

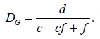
[34] d= DG(c– cf+ f),

следовательно,

[35]

Иллюстрация к книге — Деньги, банковский кредит и экономические циклы [i_078.jpg]

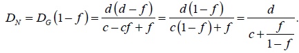
Так как DN = DG (1 – f), то

[36]

Иллюстрация к книге — Деньги, банковский кредит и экономические циклы [i_079.jpg]

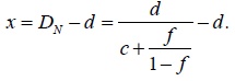
Это и есть формула чистых депозитов, созданных банковской системой. Кредитная экспансия, вызванная банковской системой, из которой вымываются деньги, будет равна:

[37]

Иллюстрация к книге — Деньги, банковский кредит и экономические циклы [i_080.jpg]

Приравняв в предыдущих формулах f к нулю, получим те же уравнения, что использовались до сих пор для определения общего объема депозитов и общего объема кредитной экспансии:

[38]

Иллюстрация к книге — Деньги, банковский кредит и экономические циклы [i_081.jpg]

и

[39]

Иллюстрация к книге — Деньги, банковский кредит и экономические циклы [i_082.jpg]

Теперь посмотрим, насколько уменьшится кредитная экспансия, если, как и ранее, d = 1 000 000 д.е., а c = 0,1, притом что 15 % денежной массы вымывается из банковской системы, т. е. (f = 0,15).

[40]

Иллюстрация к книге — Деньги, банковский кредит и экономические циклы [i_083.jpg]

Следовательно, в банковской системе, где 15 % денежной массы вымывается за ее пределы, общая сумма депозитов составит 3 617 021 д.е., а не 10 000 000 д.е., как получается при f = 0.

Чистая кредитная экспансия будет равна

x = 3 617 021 – 1 000 000 = 2 617 021,

а не 9 000 000 д.е., создаваемых при условии, что деньги не вымываются из системы. Поэтому, когда доля утечки денег больше нуля, способность банковской системы производить кредиты и создавать депозиты из ничего существенно снижается [286].

Поддержание резервов, превышающих минимальные требования

Другое осложнение, вызывающее последствия, аналогичные рассмотренным в предыдущем разделе, возникает, когда банки поддерживают денежные запасы, превышающие минимальные требования. Эта тенденция проявляется на определенных стадиях экономического цикла, когда банки начинают вести себя осмотрительнее, или вынуждены увеличивать резервы ввиду нехватки достаточно кредитоспособных заемщиков, желающих получить кредит, или по обеим причинам. Так происходит, например, в фазах экономического спада, которые следуют за кредитной экспансией. Как бы то ни было, поддержание резервов наличности, превышающих необходимый уровень, снижает способность системы к кредитной экспансии точно так же как f, т. е. процент денег, вымывающихся из банковской системы [287].

Вход
Поиск по сайту
Ищем:
Календарь