Книга Карнавал молекул, страница 9 – Михаил Левицкий

Авторы: А Б В Г Д Е Ж З И Й К Л М Н О П Р С Т У Ф Х Ч Ш Ы Э Ю Я
Книги: А Б В Г Д Е Ж З И Й К Л М Н О П Р С Т У Ф Х Ц Ч Ш Щ Ы Э Ю Я
Бесплатная онлайн библиотека LoveRead.in

Онлайн книга «Карнавал молекул»

📃 Cтраница 9
Иллюстрация к книге — Карнавал молекул [i_055.jpg]

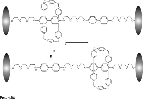
Далее сквозь кольцевую молекулу Б «продернули» линейный полиэфир А и на концах поместили объемистые заглушки из нескольких фенильных групп, чтобы кольцо не соскользнуло с оси (серые эллипсы на рис. 1.60).

Иллюстрация к книге — Карнавал молекул [i_056.jpg]

Поскольку кольцо имеет положительный заряд, то оно выбирает на оси то место, где находится наиболее сильный донор электронов, – это фрагмент – NH – С6Н4–С6Н4–NH– (доноры электронов – атомы азота). Ситуация меняется, если систему подкислить, т. е. добавить ионы водорода Н+. Эти ионы водорода присоединяются к аминогруппам NH в молекуле А, превращая их в NH2+. В результате этот фрагмент перестает быть донором. Кольцевая молекула в поисках другого донора перемещается к фрагменту – О – С6Н4–С6Н4–О–, донорная способность которого ниже, чем у – NH – С6Н4–С6Н4–NH–, потому-то цикл вначале его «не замечал» и только после подкисления системы «нашел». Если систему вновь сделать нейтральной, цикл вернется на прежнее место. Перемена знака заряда на аминогруппах во фрагменте – NH – С6Н4–С6Н4–NH– возможна не только при изменении кислотности среды. То же самое происходит при воздействии на систему внешнего электрического потенциала, изменяемого с + на –.

Таким образом, получился молекулярный челнок, который занимает два крайних положения (обозначено сдвоенными стрелками на рис. 1.60), в зависимости от внешнего воздействия. По существу, это молекулярный переключатель, фиксирующий два логических положения – 0 или 1, – лежащих в основе всех электронно-вычислительных схем.

Чтобы всю эту систему сделать более технологичной и доступной для производства, Ф. Стоддарт немного изменил состав линейной молекулы, введя определенные группы, помогающие создать на основе полученного соединения ориентированные пленки. Результаты он опубликовал, как можно было ожидать, в журнале Nature. Уже появились сообщения, что на основе этой идеи удалось изготовить первый опытный образец работающего блока памяти, который может хранить 20 кбайт информации на площади в 100 раз меньшей, чем срез человеческого волоса. Можно полагать, что это этап нового века молекулярной электроники. В 2016 г. Ф. Стоддарт (совместно с упомянутым ранее Ж. Саважем) получил Нобелевскую премию.

Соединения типа печати Соломона, по мнению ее создателей, могут быть использованы при изготовлении материалов для бронежилетов, а также как препараты для очистки воды от примесей и загрязнений.

Молекулы-узлы и кольчугоподобные структуры считаются перспективными для создания на их основе «транспортных» оболочек для лекарств длительного действия, а также использования в качестве молекулярных проводников нового типа для микроэлектроники.

Катенаны и ротаксаны перспективны для создания различных подвижных молекулярных устройств – микромоторов, микротележек, что удалось показать в своих работах третьему лауреату Нобелевской премии по химии 2016 г. – химику из Голландии Бернарду Лукасу Феринге. Такие конструкции могут быть использованы при создании компьютеров нового типа.

И все же нельзя не упомянуть об эстетическом удовольствии, которое получает химик, когда удается спланировать и реализовать получение таких молекул.

Наилегчайшие вещества

Наилегчайший путь к самоуважению –

это научиться распознавать

мельчайшие недостатки других.

ЮРИЙ ТАТАРКИН

Речь далее пойдет не о газах, которые легче воздуха (например, водород, гелий, метан и др.), а о соединениях, которые содержат крупные блоки органических соединений и к тому же атомы различных металлов. Поскольку далее мы будем говорить об объемах, попробуем решить несложную задачу.


Вода – помощник в измерениях

Имеется бутылка с плоским дном и сужающимся горлом, она примерно наполовину заполнена водой (рис. 1.61). С помощью линейки (с нанесенной сантиметровой шкалой) необходимо определить объем бутылки. Доливать воду или выливать нельзя. Вычислить площадь донышка бутылки не составит труда, следует измерить диаметр донышка и провести расчет по известной формуле

Иллюстрация к книге — Карнавал молекул [i_057.jpg]
Если бы это был стеклянный цилиндр, то осталось бы умножить площадь дна на измеренную высоту цилиндра. Трудность состоит в том, что у бутылки сужающееся горлышко. Если помещенный выше заголовок не является подсказкой и не навел вас на мысль, то рассмотрим далее решение.

Измеряем высоту жидкости в бутылке (А) и, умножив эту величину на площадь дна, определяем объем жидкости. Затем переворачиваем бутылку вверх дном (предварительно заткнув пробкой ☺) и измеряем высоту пустой части бутылки от уровня жидкости до дна (Б). Умножив эту высоту на площадь донышка, узнаем объем пустой части бутылки. Сложив полученные величины, узнаем объем всей бутылки.

Иллюстрация к книге — Карнавал молекул [i_058.jpg]

Кипящие камни

Химики часто используют подсказки природы, но только решают те же самые задачи разнообразнее и масштабнее. В 1756 г. шведский химик Аксель Фредрик Кронштедт, исследуя свойства алюмосиликатного минерала стильбита, обнаружил, что при нагревании он вспенивается и выделяет воду. Позже были найдены другие подобные минералы – их назвали «цеолиты», что в переводе с греческого означает «кипящие камни». Это алюмосиликаты переменного состава, содержащие кристаллизационную воду, их состав описывают общей формулой (МО)x(Al2O3)(SiO2)y(H2O)y, где М – щелочные или щелочно-земельные металлы. Чтобы сделать их пригодными для дальнейшего использования, т. е. активировать, эти вещества нагревают в течение 4–5 часов при температуре 350–450 °С, удаляя из них кристаллизационную воду. В результате образуется структура (рис. 1.62), в которой огромное количество сквозных внутренних каналов диаметром около 4 ангстрем (1 ангстрем = 10–10 м).

Иллюстрация к книге — Карнавал молекул [i_059.jpg]

Благодаря присутствию катионов щелочных металлов природные цеолиты способны обменивать ионы кальция, содержащиеся в воде, на натрий, поэтому их использовали для уменьшения жесткости воды. Со временем были созданы синтетические аналоги природных цеолитов, на сегодня получены уже сотни различных типов, и их возможности заметно расширились.

Изменяя условия синтеза, химики получили соединения с различными ионами металлов и разнообразными пространственными решетками. В некоторых структурах есть не только каналы, но и полости различного размера – в итоге пустой внутренний объем таких соединений становится очень большим. Синтетические цеолиты оказались эффективными поглотителями различных веществ (адсорбентами): с их помощью, например, проводят глубокую осушку жидкостей и газов. Существующие методы позволяют получать цеолиты с порами определенного размера, которые поглощают только определенные молекулы, – эти системы часто называют молекулярными ситами.

Вход
Поиск по сайту
Ищем:
Календарь