Книга Карнавал молекул, страница 7 – Михаил Левицкий

Авторы: А Б В Г Д Е Ж З И Й К Л М Н О П Р С Т У Ф Х Ч Ш Ы Э Ю Я
Книги: А Б В Г Д Е Ж З И Й К Л М Н О П Р С Т У Ф Х Ц Ч Ш Щ Ы Э Ю Я
Бесплатная онлайн библиотека LoveRead.in

Онлайн книга «Карнавал молекул»

📃 Cтраница 7

Среди продуктов расщепления крахмала наиболее интересны циклодекстрины: это крупные циклы, собранные из 6–8 молекул глюкозы. Изображать молекулы можно различными способами: в виде структурной формулы, шаростержневой модели или же структуры с ван-дер-ваальсовыми радиусами (они показывают реальный объем, занимаемый молекулой в пространстве, разумеется, в масштабе). Последний вариант ясно демонстрирует, что циклодекстрин – это усеченный конус с цилиндрическим каналом внутри (рис. 1.46).

Самая важная особенность такой молекулы состоит в том, что все гидроксильные группы -ОН расположены на внешней поверхности конуса, а во внутреннем канале они отсутствуют. В результате такое соединение растворимо в воде (за счет внешних гидрофильных групп – ОН), но, если в систему добавить гидрофобное (водоотталкивающее) соединение, например углеводород, оно «втянется» во внутренний гидрофобный канал конуса. Если ранее химики проявляли большую изобретательность, чтобы «продернуть» линейную молекулу внутрь цикла, то циклодекстрины «делают это сами». Образующиеся соединения называют в научной литературе «хозяин-гость», или соединениями включения. Благодаря этому становится возможным перевести в водный раствор некоторые жирорастворимые препараты, например витамины А и D.

Помимо этого, циклодекстрины открыли принципиально иной способ создавать ротаксаны. Напомним, что ротаксаны – это соединения, где две молекулы (как в катенанах) соединены без участия химических связей, конструкция представляет собой осевую молекулу, пронизывающую кольцевую молекулу, на концах осевой молекулы находятся объемные «заглушки», которые не позволяют кольцевой молекуле соскользнуть с оси.

Иллюстрация к книге — Карнавал молекул [i_042.jpg]

Общая схема такова: молекула углеводорода, содержащая на концах заранее предусмотренные реакционные группы, втягивается внутрь цилиндрического канала, затем торчащие наружу реакционные группы заменяют объемными заглушками (рис. 1.47).

Если молекула, входящая внутрь полого конуса, достаточно длинна, то на нее навешивается несколько конусов и получается конструкция, напоминающая ожерелье. Затем конусы (циклодестрины) соединяют мостиками, а полимер, играющий роль нитки, удаляют. Получается полимерная молекула, представляющая собой полую трубку. На данный момент удалось соединить таким образом 15 молекул циклодекстрина, молекулярная масса полимера 20 000 (рис. 1.48). Такие структуры могут быть использованы для разделения различных веществ.

Иллюстрация к книге — Карнавал молекул [i_043.jpg]
Иллюстрация к книге — Карнавал молекул [i_044.jpg]
Кольчуги, решетки, сетки

Сплетенные кольца, помимо их использования в различных эмблемах и для изготовления разнообразных украшений, издавна применяли для создания изделий особого типа. Речь идет о кольчугах, фактически представляющих собой ткань из металлических колец. Кольчуги защищали в прежние времена воинов от рубящего и колющего оружия. Существует несколько способов плетения кольчуг, и некоторые современные мастера-энтузиасты, увлеченные историческими деталями древних сражений, прекрасно владеют этим искусством.

В наши дни кольчуги, изготовленные из сверхпрочной тонкой металлической проволоки, используют для предохранения рук у работников мясоперерабатывающих заводов, защиты аквалангистов от нападения акул и в некоторых травмоопасных профессиях (рис. 1.49).

Естественно, химиков давно привлекала идея создавать подобные молекулы, однако для ее реализации потребовалось пересмотреть некоторые устоявшиеся взгляды.

До сих пор ученые рассматривали катионы металла в синтезе катенанов как строительные леса, которые после окончания работы следует убрать, чтобы полюбоваться полученным изделием. Постепенно многие стали приходить к мысли, что катионы металла заслуживают «более уважительного отношения». Они могут на равных правах с органическими молекулами присутствовать в готовом соединении.

Иллюстрация к книге — Карнавал молекул [i_045.jpg]

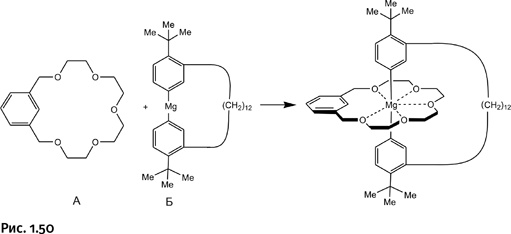
Прежде всего, ион металла обладает важной способностью самостоятельно «втягиваться» в цикл, если этот цикл представляет собой краун-эфир – кольцевую молекулу, напоминающую формой корону (от англ. crown – корона). В такой молекуле чередуются атомы О и мостики – СН2–СН2–. Атомы О таких циклов легко образуют координационные связи с ионами металлов и прочно удерживают их внутри цикла. Для взаимодействия были взяты один из краун-эфиров (соединение А) и соединение Б, в котором Mg связан с двумя бензольными ядрами, объединенными в кольцо с помощью цепочки из 12 групп СН2 (рис. 1.50).

Краун-эфир начинает энергично втягивать ион магния внутрь своего цикла, но этому препятствуют объемистые фенильные группы. В результате такого «противоборства» связь Mg – C разрывается и после того, как магний найдет свое положение внутри краун-эфира, восстанавливается. Образуется катенан, причем все проходит в одну стадию!

Этот пример вселял надежду, что можно получить более сложные конструкции, если в структуру молекулы вводить не один, а несколько ионов металла. Металлы полностью оправдали возлагаемые на них надежды, но, для того чтобы они могли проявить свои «творческие способности», потребовалось несколько изменить строение лигандов.

Иллюстрация к книге — Карнавал молекул [i_046.jpg]

В рассмотренных ранее фенантролине и бипиридиле атомы азота расположены рядом, в результате катион металла координирует одновременно два атома N в каждой молекуле. Задумаемся, что произойдет, если атомы N отодвинуть друг от друга? Такие молекулы существуют: например, диазапирен (рис. 1.51).

Иллюстрация к книге — Карнавал молекул [i_047.jpg]

Тем самым мы создадим определенные затруднения для катиона металла, поскольку ему необходимы четыре атома N для заполнения координационной сферы. Вполне естественно, что он присоединит четыре молекулы лиганда, а оставшиеся на противоположных концах незанятые атомы N будут заполнять координационную сферу других таких же катионов. Упростим схему, обозначив молекулы диазапирена стрежнями, а катионы металла – шариками (рис. 1.52).

Иллюстрация к книге — Карнавал молекул [i_048.jpg]

Напомним, что полученная конструкция не плоская, поскольку связи от катиона Cu+ направлены к вершинам мысленного тетраэдра. Итак, мы получили разветвленную заготовку, но в свободном виде она не существует. В процессе синтеза такие заготовки сразу соединяются через ионы Cu, образуя каркасы, которые, что особенно интересно, взаимно пересекаются как катенаны (рис. 1.53), в итоге получается многослойная кольчугоподобная конструкция.

Вход
Поиск по сайту
Ищем:
Календарь