Онлайн книга «Карнавал молекул»
|
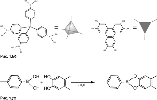
Синтетические цеолиты сегодня широко используют как катализаторы при переработке нефтепродуктов, при очистке технических и сточных вод, для нейтрализации токсичных соединений в отходящих промышленных газах и выхлопах автомобильных двигателей. Например, медьсодержащий цеолит превращает токсичный оксид азота NO выхлопных газов в азот и кислород. Поглощающие (адсорбционные) свойства цеолитов незаменимы и в быту: например, для очистки воды в аквариумах и в качестве наполнителей кошачьего туалета. Органические цеолиты В 2002 г. американский химик Омар Яги (рис. 1.63) решил создать ячеистые структуры, похожие на природные цеолиты, но без использования алюмосиликатных скелетов. ![]() Вначале рассмотрим простую реакцию – взаимодействие неорганической соли цинка с натриевой солью карбоновой кислоты (например, уксусной), которую на рисунке 1.64 условно обозначим в виде серого блока. При соотношении компонентов 1:2 образуется органическая соль цинка, при этом атомы О (из карбонильной группы С=О) окружают атом цинка, заполняя его координационную сферу (показано пунктирными линиями). ![]() Если же выбрать такое соотношение реагентов, чтобы на четыре атома цинка приходилось шесть молекул карбоновой кислоты, то ионы цинка расположатся по вершинам мысленного тетраэдра, карбоновые кислоты соединятся с ионами Zn, причем атомы О в карбонильной группе С=О, в отличие от предыдущей реакции, координируют не тот же самый, а соседний атом цинка. Образуется агрегат в форме четырехгранника – тетраэдра, в котором от каждого из шести ребер тетраэдра «торчит» наружу по одному остатку карбоновой кислоты (рис. 1.65). Соединим мысленно линиями те атомы углерода, от которых «торчат» наружу блоки – остатки карбоновой кислоты. Таких атомов шесть, в итоге получим шестивершинный многогранник, у него восемь граней, потому он называется октаэдром, а внутри его остался «цинковый «тетраэдр. Самое важное, что блоки, отходящие от шести вершин октаэдра, оказываются направленными по трем осям декартовых координат (рис. 1.66). Это центральный момент в замысле Омара Яги, который, конечно, знал об особенностях строения цинковых солей карбоновых кислот: во многих учебниках сказано, что ацетат цинка при нагревании образует именно такую структуру октаэдра. Яги понял, что с помощью ионов двухвалентного Zn можно создать реакционный узел с шестью фрагментами, расположенными по осям декартовых координат. По существу, это центр, отталкиваясь от которого можно построить пространственную решетку: достаточно заменить в исходной реакции карбоновую кислоту на дикарбоновую (с двумя карбоксильными группами), и в результате октаэдры можно будет соединить между собой в трех измерениях. ![]() Обратите внимание, Яги выбрал те из дикарбоновых кислот, молекулы которых представляют собой жесткие палочки, собранные из бензольных ядер. Основная цель – создать из них жесткие недеформирующиеся ячейки. При этом размер ячейки зависит от «длины» дикарбоновой кислоты. Таким образом, он предложил простой и удобный способ изменять размер ячейки. На рисунке 1.67 показаны только одиночные ячейки, которые в реальности соединены между собой в крупную объемную структуру. В природных цеолитах внутренние каналы изолированы друг от друга алюмосиликатными стенками, а в полученных металлорганических каркасах таких стенок нет и пространство каждой ячейки сообщается с соседними, что обеспечивает большой внутренний объем – поры в таком веществе составляют свыше 90 % объема. Понятно, что и плотность у такого материала необычайно низкая – 0,2–0,4 г/см3. Искусственные структуры заметно превзошли природные, они могут, например, поглощать и удерживать втрое больший объем метана, чем алюмосиликатные цеолиты. Чтобы метан удерживался в ячейке, необходимо сделать каркас «привлекательным» для газа. Этого можно добиться, введя в структуру исходных дикарбоновых кислот углеводородные «хвосты» в виде групп – ОС3Н7 или – ОС5Н9. Такие каркасы вообще легко модифицировать, присоединяя к бензольным ядрам в исходных дикарбоновых кислотах различные полярные группы (например, – Br, – NH2 и др.), что заметно изменяет химическую природу ячеек и, следовательно, их адсорбционные («удерживающие») свойства. Омар Яги провел по-настоящему масштабные исследования, он использовал несколько десятков различных дикарбоновых кислот, а в качестве исходных неорганических солей помимо Zn также соединения Cu и Mn. Оказалось, что такие соединения остаются долгое время стабильными в воде или органических растворителях и не разлагаются при высокой температуре, что позволяет использовать их в качестве различных поглотителей (например, в сильно нагревающихся энергетических установках). Яги предложил назвать соединения такого типа металлорганическими решетками (metal-organic frameworks, MOF). ![]() Разработанный метод позволяет создавать практически неограниченное количество решеток. Омар Яги вместо дикарбоновых кислот использовал соединение, содержащее фрагмент борной кислоты. Они тоже могут служить разветвляющими центрами наряду с цинксодержащими узлами (рис. 1.68). ![]() Такие структуры Яги назвал сверхпористыми MOF, поскольку 1 г такого вещества способен удерживать 2500 мл азота (или СО2), или 250 мл метана, или 100 мл водорода. Фантазия Омара Яги на этом не остановилась, и он создал решетку без атомов металла, собранную из легких атомов Н, В, С, О. Поскольку каркас в этом случае образован только с помощью ковалентных связей (без координационных), он предложил назвать их ковалентными органическими решетками (covalent organic frameworks, COF). Один из примеров приведен на рисунке 1.69. Исходное соединение – разветвленная молекула с четырьмя фенильными группами, наружу выступают остатки борной кислоты. Вся молекула условно обозначена тетраэдром. Второй компонент – разветвленная ароматическая молекула, содержащая группы – OH у бензольных ядер (она обозначена треугольником). Взаимодействие проходит между группами – OH бора и фенильных групп (рис. 1.70). ![]() При взаимодействии трех молекул-тетраэдров с треугольником образуется разветвляющий узел – паукообразная молекула (рис. 1.71). ![]() |
![Иллюстрация к книге — Карнавал молекул [i_060.jpg] Иллюстрация к книге — Карнавал молекул [i_060.jpg]](img/book_covers/083/83079/i_060.jpg)
![Иллюстрация к книге — Карнавал молекул [i_061.jpg] Иллюстрация к книге — Карнавал молекул [i_061.jpg]](img/book_covers/083/83079/i_061.jpg)
![Иллюстрация к книге — Карнавал молекул [i_062.jpg] Иллюстрация к книге — Карнавал молекул [i_062.jpg]](img/book_covers/083/83079/i_062.jpg)
![Иллюстрация к книге — Карнавал молекул [i_063.jpg] Иллюстрация к книге — Карнавал молекул [i_063.jpg]](img/book_covers/083/83079/i_063.jpg)
![Иллюстрация к книге — Карнавал молекул [i_064.jpg] Иллюстрация к книге — Карнавал молекул [i_064.jpg]](img/book_covers/083/83079/i_064.jpg)
![Иллюстрация к книге — Карнавал молекул [i_065.jpg] Иллюстрация к книге — Карнавал молекул [i_065.jpg]](img/book_covers/083/83079/i_065.jpg)
![Иллюстрация к книге — Карнавал молекул [i_066.jpg] Иллюстрация к книге — Карнавал молекул [i_066.jpg]](img/book_covers/083/83079/i_066.jpg)