Онлайн книга «Пуговицы Наполеона. Семнадцать молекул, которые изменили мир»
![]() Модель восприятия сладкого вкуса A-H,B Кроме сахара, существует множество других сладких веществ, но не все они пригодны для еды. Например, этиленгликоль является основным компонентом автомобильного антифриза. Сладкий вкус этиленгликоля объясняется растворимостью и гибкостью его молекулы, а также тем, что расстояние между атомами кислорода в этой молекуле близко к расстоянию между атомами кислорода в сахарах. Однако это вещество ядовито: всего столовой ложки достаточно, чтобы убить человека или домашнее животное. Интересно, что ядовит не сам этиленгликоль, а то вещество, в которое он превращается в организме. Окисление этиленгликоля под действием ферментов организма приводит к образованию щавелевой кислоты. ![]() Щавелевая кислота содержится во многих растениях, в том числе в таких съедобных растениях, как шпинат и ревень. Мы редко едим эти продукты в большом количестве, так что наши почки справляются с выведением следовых количеств щавелевой кислоты. Но если выпить этиленгликоль, внезапное появление в организме большого количества щавелевой кислоты может вызвать почечную недостаточность и смерть. Если за обедом вы съедите шпинат и пирог с ревенем, вы не умрете. В худшем случае это может способствовать образованию почечных камней. Камни в почках в значительной степени состоят из оксалата кальция — нерастворимой соли щавелевой кислоты. Людям со склонностью к образованию почечных камней не советуют употреблять в пищу продукты, содержащие много оксалатов. Для остальных лучший совет — умеренность во всем. Другое близкое к этиленгликолю по структуре вещество — глицерин, тоже со сладким вкусом. В умеренных количествах глицерин безопасен для здоровья. Из-за вязкости и хорошей растворимости в воде его добавляют во многие пищевые продукты. Термин “пищевые добавки” в последнее время пользуется дурной славой из-за того, что они нередко имеют неорганическую природу и синтетическое происхождение. Глицерин — органическое вещество, он нетоксичен и содержится во многих природных продуктах, например в вине. ![]() Глицерин Если взболтать вино в бокале, на стекле образуются “ножки”, которые как раз и связаны с присутствием в вине глицерина, повышающего вязкость и бархатистость хорошего вина. Заменители сахара
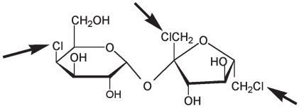
Существует множество других сладких веществ, не являющихся сахарами, и некоторые из них могут служить заменителями сахара. Доходы от производства этой продукции составляют около миллиарда долларов. К таким веществам предъявляют следующие требования: их химическая структура должна некоторым образом имитировать структуру сахаров, что позволяет им связываться с рецепторами сладкого вкуса, они должны растворяться в воде, быть нетоксичными и желательно не подвергаться расщеплению в организме. Эти вещества обычно в сотни раз слаще сахара. Первым искусственным заменителем сахара был сахарин. Это мелкий порошок, настолько сладкий, что даже очень малая доза вызывает реакцию организма: если при работе с этим веществом поднести руку к губам, немедленно ощущается сладкий вкус. Наверное, именно это произошло в 1879 году в Университете Джонса Хопкинса в Балтиморе. Студент-химик [7] почувствовал необычно сладкий вкус хлеба, который ел. Он вернулся к рабочему столу и, принявшись систематически пробовать все вещества, с которыми в тот день работал (рискованная, но достаточно распространенная в те времена практика), обнаружил вещество, имеющее сильно выраженный сладкий вкус. Сахарин не обладает калорийностью, и это сочетание сладости с отсутствием калорийности быстро обеспечило ему коммерческий успех (сахарин стали применять уже в 1885 году). Сначала его планировали использовать в качестве заменителя сахара для диабетиков, но он быстро приобрел популярность у всего населения. Однако беспокойство по поводу возможной токсичности этого вещества, а также его металлическое послевкусие стимулировали создание других искусственных заменителей сахара, таких как цикламат и аспартам. Как видно из рисунка, структура этих трех веществ различна и сильно отличается от структуры сахаров, однако все они обладают необходимым набором атомов в специфических позициях и необходимой гибкостью, чтобы вызывать у человека ощущение сладкого вкуса. ![]() Сахарин ![]() Цикламат натрия ![]() Аспартам Ни один искусственный заменитель сахара не является идеальным. Некоторые из них разлагаются при нагревании и поэтому могут употребляться только с холодными напитками или пищей. Другие недостаточно хорошо растворяются в воде. Третьи обладают неприятным привкусом. Синтетическое вещество аспартам состоит из двух природных аминокислот. Аспартам расщепляется в организме, но поскольку он в двести раз слаще глюкозы, для получения сладкого вкуса его нужно значительно меньше. Людям с таким наследственным заболеванием, как фенилкетонурия (неспособность расщеплять аминокислоту фенилаланин, образующуюся при распаде аспартама), не рекомендовано употреблять этот заменитель сахара. В создании нового заменителя сахара, одобренного в 1998 году Управлением США по надзору за качеством пищевых продуктов и лекарственных средств, был применен другой подход. Это вещество — сукралоза — отличается от сахарозы всего по двум параметрам. Звено глюкозы (слева на рисунке) заменено галактозой — тем же сахаром, который входит в состав молочного сахара. Кроме того, три OH-группы заменены на три атома хлора (Cl): один в галактозном звене и два других во фруктозном звене (справа на рисунке). Три атома хлора не влияют на сладость этой молекулы, но они не позволяют организму ее расщеплять. Поэтому сукралоза не обладает калорийностью. ![]() Структура сукралозы. Стрелками показаны атомы хлора, введенные в молекулу вместо OH-групп. |
![Иллюстрация к книге — Пуговицы Наполеона. Семнадцать молекул, которые изменили мир [i_057.jpg] Иллюстрация к книге — Пуговицы Наполеона. Семнадцать молекул, которые изменили мир [i_057.jpg]](img/book_covers/073/73959/i_057.jpg)
![Иллюстрация к книге — Пуговицы Наполеона. Семнадцать молекул, которые изменили мир [i_058.jpg] Иллюстрация к книге — Пуговицы Наполеона. Семнадцать молекул, которые изменили мир [i_058.jpg]](img/book_covers/073/73959/i_058.jpg)
![Иллюстрация к книге — Пуговицы Наполеона. Семнадцать молекул, которые изменили мир [i_059.jpg] Иллюстрация к книге — Пуговицы Наполеона. Семнадцать молекул, которые изменили мир [i_059.jpg]](img/book_covers/073/73959/i_059.jpg)
![Иллюстрация к книге — Пуговицы Наполеона. Семнадцать молекул, которые изменили мир [i_060.jpg] Иллюстрация к книге — Пуговицы Наполеона. Семнадцать молекул, которые изменили мир [i_060.jpg]](img/book_covers/073/73959/i_060.jpg)
![Иллюстрация к книге — Пуговицы Наполеона. Семнадцать молекул, которые изменили мир [i_061.jpg] Иллюстрация к книге — Пуговицы Наполеона. Семнадцать молекул, которые изменили мир [i_061.jpg]](img/book_covers/073/73959/i_061.jpg)
![Иллюстрация к книге — Пуговицы Наполеона. Семнадцать молекул, которые изменили мир [i_062.jpg] Иллюстрация к книге — Пуговицы Наполеона. Семнадцать молекул, которые изменили мир [i_062.jpg]](img/book_covers/073/73959/i_062.jpg)
![Иллюстрация к книге — Пуговицы Наполеона. Семнадцать молекул, которые изменили мир [i_063.jpg] Иллюстрация к книге — Пуговицы Наполеона. Семнадцать молекул, которые изменили мир [i_063.jpg]](img/book_covers/073/73959/i_063.jpg)