Книга Пуговицы Наполеона. Семнадцать молекул, которые изменили мир, страница 16 – Пенни Лекутер, Джей Берресон

Авторы: А Б В Г Д Е Ж З И Й К Л М Н О П Р С Т У Ф Х Ч Ш Ы Э Ю Я
Книги: А Б В Г Д Е Ж З И Й К Л М Н О П Р С Т У Ф Х Ц Ч Ш Щ Ы Э Ю Я
Бесплатная онлайн библиотека LoveRead.in

Онлайн книга «Пуговицы Наполеона. Семнадцать молекул, которые изменили мир»

📃 Cтраница 16
Иллюстрация к книге — Пуговицы Наполеона. Семнадцать молекул, которые изменили мир [i_052.jpg]

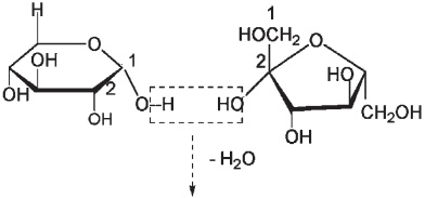
Удаление молекулы воды при образовании сахарозы из глюкозы и фруктозы. На данном рисунке молекула фруктозы повернута на 180° и перевернута.

Иллюстрация к книге — Пуговицы Наполеона. Семнадцать молекул, которые изменили мир [i_053.jpg]

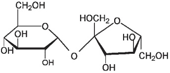
Структура молекулы сахарозы


Фруктоза содержится во фруктах, а также в меде, который на 38 % состоит из фруктозы, на 31 % из глюкозы, на 10 % — из разных сахаров, включая сахарозу (остальное — вода). Фруктоза слаще глюкозы и сахарозы, так что именно благодаря высокому содержанию фруктозы мед слаще сахара. Кленовый сироп содержит примерно 62 % сахарозы и по 1 % фруктозы и глюкозы.

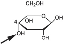
Молочный сахар, или лактоза, представляет собой дисахарид, образованный из одного звена глюкозы и одного звена другого моносахарида — галактозы. Галактоза также является изомером глюкозы. Единственным различием между этими веществами является то, что в молекуле галактозы OH-группа у атома С4 расположена над кольцом, а не под ним, как в молекуле глюкозы.

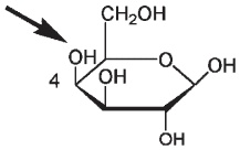
Иллюстрация к книге — Пуговицы Наполеона. Семнадцать молекул, которые изменили мир [i_054.jpg]

β-галактоза

Иллюстрация к книге — Пуговицы Наполеона. Семнадцать молекул, которые изменили мир [i_055.jpg]

β-глюкоза


Стрелки указывают положение OH-групп у атома С4 в молекулах β-галактозы (над поверхностью кольца) и β-глюкозы (под поверхностью кольца). Эти молекулы соединяются, образуя молекулу лактозы.

Иллюстрация к книге — Пуговицы Наполеона. Семнадцать молекул, которые изменили мир [i_056.jpg]

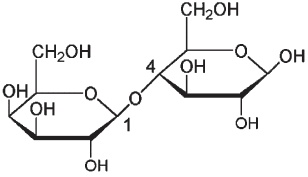
Структура молекулы лактозы

Звено галактозы (слева) через атом С1 соединено с атомом С4 звена глюкозы (справа)


Может показаться, что расположение OH-группы над или под кольцом не способно сильно влиять на свойства молекулы, однако люди с врожденной непереносимостью лактозы хорошо чувствуют различие. Для расщепления лактозы и других дисахаридов или полисахаридов людям нужны специфические ферменты, которые расщепляют эти молекулы на простые моносахариды. Фермент, расщепляющий лактозу, называется лактазой. В небольшом количестве он присутствует в организме некоторых взрослых людей. У детей лактаза обычно вырабатывается в большем количестве. Недостаточность лактазы затрудняет расщепление молока и молочных продуктов и является причиной симптомов непереносимости лактозы — вздутия живота, судорог и диареи. Непереносимость лактозы — наследственное состояние, которое легко контролировать путем приема ферментных препаратов. В организме взрослых и даже детей из некоторых этнических групп, в частности, некоторых африканских народов, лактазы нет вообще. Для этих людей порошковое молоко и другие молочные продукты, которые часто поставляют в Африку в рамках гуманитарной помощи, могут оказаться даже опасными.

В норме головной мозг здоровых млекопитающих использует в качестве источника энергии только глюкозу. Клетки мозга зависят от постоянной поставки глюкозы с током крови, поскольку в самом мозге нет запасов глюкозы. Если уровень глюкозы в крови падает ниже 50 % нормального уровня, появляются некоторые симптомы нарушения мозговой деятельности. При падении уровня глюкозы в крови ниже 25 % нормы, например, в результате передозировки инсулина (гормона, поддерживающего необходимый уровень глюкозы в крови), может наступить кома.

Сладкий вкус

Все перечисленные выше сахара имеют сладкий вкус, а люди любят сладкое. Сладкий — это один из четырех основных вкусов, различаемых человеком (три других — кислый, горький и соленый). Появление способности распознавать вкус было важным эволюционным приобретением. Сладкий вкус обычно говорит о том, что данный продукт съедобен. Спелый фрукт чаще всего сладкий. Если он кислый, то, возможно, он еще не созрел и в нем много кислот, а они могут вызвать боли в желудке. Горький вкус растений обычно указывает на присутствие в них веществ, называемых алкалоидами. Нередко они ядовиты (некоторые даже в очень малых дозах), так что способность распознавать следы алкалоидов является очевидным эволюционным преимуществом. Согласно одной из гипотез (впрочем, не являющейся общепринятой), исчезновение динозавров могло быть связано с их неспособностью распознавать токсичные алкалоиды, присутствующие в некоторых цветковых растениях, появившихся в конце мелового периода, то есть именно тогда, когда исчезли динозавры.

У людей нет врожденного пристрастия к горечи, скорее наоборот: нас привлекает сладкое. Горький вкус вызывает в организме ответ, сопряженный с выделением избыточного количества слюны. Это полезная реакция на попадание в рот ядовитого вещества, поскольку слюна помогает его расщеплять. Однако с возрастом многие люди привыкают к горькому вкусу и даже начинают его ценить. Вспомните о кофеине в чае и кофе, а также хинине в тонике (хотя многие все-таки предпочитают добавлять в эти напитки сахар). Удовольствие с каплей горечи — горько-сладкий вкус — вот что объясняет наше двойственное отношение к горечи.

Ощущение вкуса формируется во вкусовых сосочках — специализированных группах клеток, расположенных в основном на языке. Не все части языка воспринимают одинаковый вкус в одинаковой степени. Кончик наиболее чувствителен к сладкому, а кислота сильнее ощущается боковыми поверхностями ближе к корню. Вы сами можете в этом убедиться, попробовав дотронуться до сладкого раствора кончиком и боковой стороной языка. Кончик языка обычно чувствует сладость сильнее. Но если вы проведете тот же эксперимент с лимонным соком, результат будет еще нагляднее: кончик языка не воспринимает лимонный сок очень-очень кислым, но положите только что срезанный ломтик лимона на боковую поверхность языка, и вы сразу поймете, где расположены рецепторы, ответственные за восприятие кислоты. Можете продолжить эксперимент: горечь лучше всего ощущается в средней части языка ближе к корню, а соленый вкус сильнее всего ощущается с двух сторон от кончика.

Сладкий вкус, безусловно, изучен лучше остальных. Связано это с тем, что, как и во времена работорговли, сахар остается важным источником дохода. Связь между химической структурой и сладостью достаточно сложна. Простая модель, известная как модель A-H,B, предполагает, что сладкий вкус определяется расположением групп атомов в молекуле. Эти атомы (A и B на схеме) имеют определенную геометрию, благодаря которой атом B притягивает атом водорода, соединенный с атомом A. В результате происходит кратковременное связывание сладкой молекулы с белковой молекулой рецептора вкуса, что приводит к выработке сигнала, передающегося по нервам в головной мозг: “Это — сладкое”. Обычно атомы A и B — атомы кислорода или азота, но иногда одним из них может быть атом серы.

Вход
Поиск по сайту
Ищем:
Календарь