Книга Пуговицы Наполеона. Семнадцать молекул, которые изменили мир, страница 15 – Пенни Лекутер, Джей Берресон

Авторы: А Б В Г Д Е Ж З И Й К Л М Н О П Р С Т У Ф Х Ч Ш Ы Э Ю Я
Книги: А Б В Г Д Е Ж З И Й К Л М Н О П Р С Т У Ф Х Ц Ч Ш Щ Ы Э Ю Я
Бесплатная онлайн библиотека LoveRead.in

Онлайн книга «Пуговицы Наполеона. Семнадцать молекул, которые изменили мир»

📃 Cтраница 15

Путь из Африки в Вест-Индию был второй стороной “золотого (черного) треугольника”. Европейские купцы отправлялись морем в Африку (в основном к западному берегу Гвинеи), где меняли промышленные товары на рабов, а после посещения Нового Света, где оставляли невольников, они возвращались в Европу с грузом какой-либо руды или колониальными товарами (в основном сахаром, хлопком, табаком или ромом). Каждая сторона “треугольника” приносила огромную прибыль. Эта торговля была выгодна в особенности Британии: к концу XVIII века ее доходы от операций в Вест-Индии превосходили прибыль от торговли со всем остальным миром. Сахар и продукты его переработки стали источником огромного капитала и быстрого экономического развития, стимулировавшего в конце XVIII и начале XIX века Промышленную революцию в Англии, а затем во Франции.

Сладкая химия

Глюкоза — самый распространенный из простых сахаров — моносахаридов (от лат. saccharum — сахар). Приставка “моно” означает, что молекула данного вещества состоит из одного структурного звена, в отличие от дисахаридов (состоящих из двух структурных звеньев) или полисахаридов (состоящих из многих звеньев). Структуру глюкозы можно изобразить в виде прямой цепочки:

Иллюстрация к книге — Пуговицы Наполеона. Семнадцать молекул, которые изменили мир [i_043.jpg]

Глюкоза


Эту формулу можно слегка упростить, убрав все атомы углерода, стоящие на месте пересечения вертикальных и горизонтальных линий. Существуют договоренности, в соответствии с которыми всем атомам углерода в подобных структурах присваиваются номера, причем атом № 1 всегда изображают сверху. Это так называемая проекционная формула Фишера, названная по имени немецкого химика Эмиля Фишера (в 1891 году он определил структуру глюкозы и некоторых родственных сахаров). Хотя научный инструментарий и техника в те времена были еще достаточно примитивными, полученные Фишером результаты до сих пор являются одним из самых элегантных примеров применения химической логики. За свою работу в области химии сахаров Фишер в 1902 году был удостоен Нобелевской премии.

Иллюстрация к книге — Пуговицы Наполеона. Семнадцать молекул, которые изменили мир [i_044.jpg]

Проекционная формула Фишера для глюкозы. Показана нумерация атомов углерода.


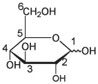
Иногда такие сахара, как глюкоза, по-прежнему изображают в линейном виде, однако теперь известно, что на самом деле глюкоза существует в другой форме: в виде циклической структуры. Циклические изображения называют формулами Хоуорса — в честь англичанина Нормана Хоуорса, получившего в 1937 году Нобелевскую премию по химии за определение структуры витамина С и некоторых углеводов (см. главу 2). Шестичленное кольцо молекулы глюкозы состоит из пяти атомов углерода и одного атома кислорода. Нумерация в формуле Хоуорса показывает, как атомы в кольцевой структуре соответствуют атомам в проекционной формуле Фишера.

Иллюстрация к книге — Пуговицы Наполеона. Семнадцать молекул, которые изменили мир [i_045.jpg]

Формула Хоуорса для глюкозы. Показаны все атомы водорода.

Иллюстрация к книге — Пуговицы Наполеона. Семнадцать молекул, которые изменили мир [i_046.jpg]

Формула Хоуорса для глюкозы. Атомы водорода в кольце не показаны, но показана нумерация атомов углерода.


В циклическом виде могут существовать две формы глюкозы, в зависимости от того, располагается ли группа OH у атома углерода C1 над плоскостью кольца или под ней. Может показаться, что это очень незначительное различие, однако это не так: это чрезвычайно важно для структуры более сложных молекул, в состав которых входят звенья глюкозы. Если группа OH у атома углерода 1 располагается под плоскостью кольца, то такую молекулу называют α-глюкозой, а если над плоскостью кольца, то β-глюкозой.

Иллюстрация к книге — Пуговицы Наполеона. Семнадцать молекул, которые изменили мир [i_047.jpg]

α-глюкоза

Иллюстрация к книге — Пуговицы Наполеона. Семнадцать молекул, которые изменили мир [i_048.jpg]

β-глюкоза


То, что мы привыкли в быту называть сахаром, представляет собой сахарозу. Сахароза — это дисахарид, построенный из двух простых моносахаридных звеньев: одного звена глюкозы и одного звена фруктозы. Фруктоза, или фруктовый сахар, имеет ту же формулу, что и глюкоза (C6H12O6), и, соответственно, содержит точно такое же количество атомов углерода, кислорода и водорода, что и глюкоза. Однако структура молекул этих двух веществ заметно различается. Атомы в их молекулах расположены по-разному. Химики называют такие соединения изомерами. Это вещества, которые имеют одинаковую химическую формулу (то есть одинаковое количество атомов каждого конкретного вида), однако различаются расположением атомов.

Иллюстрация к книге — Пуговицы Наполеона. Семнадцать молекул, которые изменили мир [i_049.jpg]

Проекционные формулы Фишера для изомеров глюкозы и фруктозы, показывающие разное расположение атомов водорода и кислорода у атомов углерода С1 и С2. В молекуле фруктозы атомы водорода у С2 отсутствуют.


Фруктоза существует главным образом в циклической форме, однако ее структура несколько отличается от циклической структуры глюкозы: фруктоза образует пятичленное кольцо, а не шестичленное, как глюкоза. Фруктоза, как и глюкоза, может существовать в виде α— или β-формы. Однако с кислородом в кольце соединен углерод С2, поэтому α— и β-формы фруктозы различаются положением OH-группы именно у этого атома углерода. В α-форме OH-группа располагается под кольцом, в β-форме — над кольцом.

Иллюстрация к книге — Пуговицы Наполеона. Семнадцать молекул, которые изменили мир [i_050.jpg]

Формула Хоуорса для β-глюкозы

Иллюстрация к книге — Пуговицы Наполеона. Семнадцать молекул, которые изменили мир [i_051.jpg]

Формула Хоуорса для β-фруктозы


Сахароза содержит равные количества глюкозы и фруктозы, но это не комбинация двух молекул. В молекуле сахарозы одно звено глюкозы и одно звено фруктозы связаны через OH-группу у атома С1 из молекулы α-глюкозы и OH-группу у атома С2 из молекулы β-фруктозы. При образовании этой связи происходит удаление молекулы воды.

Вход
Поиск по сайту
Ищем:
Календарь