Книга Объясняя мир. Истоки современной науки, страница 97 – Стивен Вайнберг

Авторы: А Б В Г Д Е Ж З И Й К Л М Н О П Р С Т У Ф Х Ч Ш Ы Э Ю Я
Книги: А Б В Г Д Е Ж З И Й К Л М Н О П Р С Т У Ф Х Ц Ч Ш Щ Ы Э Ю Я
Бесплатная онлайн библиотека LoveRead.in

Онлайн книга «Объясняя мир. Истоки современной науки»

📃 Cтраница 97

α = θ/n,

где n > 1 – постоянная величина, называемая коэффициентом преломления, которая зависит от свойств стекла и окружающей среды – чаще всего это воздух (Ферма показал, что n равно скорости света в воздухе, деленной на скорость света в стекле, но нам это знать необязательно). В таком случае угол β между лучом света в толще стекла и осью линзы равняется:

β = θ − α = (1 − 1/n)θ.

Иллюстрация к книге — Объясняя мир. Истоки современной науки [i_093.jpg]

Рис. 16. Фокусное расстояние линзы: а) определение фокусного расстояния. Горизонтальная штриховая прямая – оптическая ось линзы. Линии со стрелками обозначают направление лучей света, падающих на линзу параллельно ее оси. Мы рассматриваем один луч, который падает на линзу в точке P, в которой он образует малый угол θ, с перпендикулярной поверхности прямой, проходящей через точку P и центр кривизны C поверхности линзы. Этот луч преломляется линзой, выходя из нее идет под углом φ к оси линзы и пересекает ее в точке F, находящейся на расстоянии f от линзы. Это расстояние и называется фокусным. Поскольку θ пропорционален φ, все горизонтальные лучи собираются линзой в этой точке; б) вычисление фокусного расстояния. Здесь показан маленький фрагмент линзы, где наклонная сплошная линия со штриховкой слева обозначает небольшой сегмент передней выпуклой поверхности линзы. Сплошная линия со стрелкой отмечает путь луча, преломляемого линзой, который входит в ее толщу в точке P под небольшим углом θ к перпендикуляру к поверхности в этой точке. Этот перпендикуляр показан на чертеже как наклонная пунктирная линия – часть прямой, проходящей через точку P и центр C кривизны поверхности линзы, который не показан, потому что находится за границей этого чертежа. Входя внутрь линзы, луч преломляется и образует угол α с этим перпендикуляром, а покидая ее, преломляется снова, образуя угол φ с перпендикуляром к плоской задней поверхности линзы. Этот второй перпендикуляр показан на чертеже как пунктирная прямая, параллельная оптической оси линзы.


Это угол между лучом света и перпендикуляром к плоской задней поверхности линзы, под которым луч достигает этой поверхности. Однако, когда луч выходит сквозь заднюю поверхность, он образует другой угол – φ по отношению к перпендикуляру к этой поверхности. Соотношение между углами φ и β такое же, как в случае, если бы свет шел в противоположную сторону: тогда φ был бы углом падения, а β – углом преломления, то есть β = φ/n, и, следовательно:

φ = nβ = (n − 1)θ.

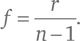
Отсюда мы видим, что угол φ прямо пропорционален θ, и значит, используя нашу ранее полученную формулу для отношения f/r, получаем:

Иллюстрация к книге — Объясняя мир. Истоки современной науки [i_094.jpg]

Это равенство не зависит от θ, так что, как я и обещал, все лучи света, падающие на линзу горизонтально, собираются ею в одну и ту же точку на ее оси симметрии.

Если радиус кривизны r очень большой, кривизна у передней поверхности линзы маленькая, и поэтому линза ведет себя почти как плоский кусок стекла – преломление света на входе в линзу почти компенсируется преломлением на выходе. Также, если коэффициент преломления n близок к 1, линза очень слабо преломляет свет, какой бы формы она ни была. И в том, и в другом случае фокусное расстояние будет очень большим, и тогда мы говорим, что такая линза слабая. Сильная же линза – это линза со средним радиусом кривизны и коэффициентом преломления, существенно отличающимся от 1. Например, для стеклянной линзы n ≈ 1,5.

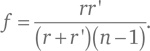
Похожий результат получается и в том случае, если задняя поверхность линзы не плоская, а представляет собой сегмент сферы радиусом r’. В этом случае фокусное расстояние рассчитывается как:

Иллюстрация к книге — Объясняя мир. Истоки современной науки [i_095.jpg]

Результат получается таким же, как раньше, в том случае, если r’ значительно больше r, – тогда задняя поверхность получается практически плоской.

Понятие о фокусном расстоянии можно распространять и на вогнутые линзы, как, например, такую линзу, которую Галилео Галилей использовал в качестве окуляра своего телескопа. Вогнутая линза может превратить сходящийся пучок лучей света в параллельный или даже в расходящийся. Можно определить фокусное расстояние линзы, рассматривая такой сходящийся пучок лучей, который она выпрямляет: тогда фокусным расстоянием будет расстояние от линзы до той точки, где исходные лучи сошлись бы, если бы линзы на их пути не было. И хотя у него иной смысл, фокусное расстояние вогнутой линзы рассчитывается по формуле, аналогичной той, которую мы вывели для выпуклой линзы.

23. Телескоп

Как мы видели в техническом замечании 22, тонкая выпуклая линза будет фокусировать лучи света, которые падают параллельно ее центральной оси, в точке F на этой оси, на расстоянии за линзой, которое называется фокусным расстоянием f для этой линзы. Параллельные лучи света, которые падают под небольшим углом γ к центральной оси, также будут фокусироваться этой линзой, но в точке, которая немного смещена от центральной оси. Чтобы увидеть, как далеко она сместится, мы можем мысленно повернуть путь луча на рис. 16а вокруг линзы на угол γ. Расстояние d от фокуса до центральной оси линзы составит тогда ту же долю длины окружности радиусом f, что и угол γ от 360°:

Иллюстрация к книге — Объясняя мир. Истоки современной науки [i_096.jpg]

Следовательно,

Иллюстрация к книге — Объясняя мир. Истоки современной науки [i_097.jpg]

Это работает только для тонких линз; иначе d также зависит от угла θ, упомянутого в техническом замечании 22. Если лучи света от какого-либо далекого объекта падают на линзу под углами, попадающими в промежуток Δγ (дельта гамма), то они будут фокусироваться на вертикальном отрезке длиной Δd, значение которого можно выразить как:

Иллюстрация к книге — Объясняя мир. Истоки современной науки [i_098.jpg]

Как обычно, эта формула становится проще, если измерять Δγ в радианах, равных 360°/2π, а не в градусах. В таком случае она читается просто как Δd = f Δγ. Этот участок, где фокусируется свет, называется мнимым изображением (см. рис 17а).

Вход
Поиск по сайту
Ищем:
Календарь