Книга Объясняя мир. Истоки современной науки, страница 94 – Стивен Вайнберг

Авторы: А Б В Г Д Е Ж З И Й К Л М Н О П Р С Т У Ф Х Ч Ш Ы Э Ю Я
Книги: А Б В Г Д Е Ж З И Й К Л М Н О П Р С Т У Ф Х Ц Ч Ш Щ Ы Э Ю Я
Бесплатная онлайн библиотека LoveRead.in

Онлайн книга «Объясняя мир. Истоки современной науки»

📃 Cтраница 94
Иллюстрация к книге — Объясняя мир. Истоки современной науки [i_069.jpg]

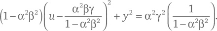
или, что то же самое,

Иллюстрация к книге — Объясняя мир. Истоки современной науки [i_070.jpg]

Можно видеть, что это определение эквивалентно равенству (1), если мы определим входящие в него величины как

Иллюстрация к книге — Объясняя мир. Истоки современной науки [i_071.jpg]

Обратите внимание, что отсюда e = αβ, и это значит, что эксцентриситет зависит от формы конуса и от наклона секущей его плоскости, но не от высоты, на которой располагается эта плоскость.

19. Элонгации и орбиты внутренних планет

Одним из выдающихся достижений Коперника было вычисление определенных значений для относительных размеров планетных орбит. Один простой пример – расчет радиусов орбит внутренних планет по величине их максимального видимого удаления от Солнца.

Иллюстрация к книге — Объясняя мир. Истоки современной науки [i_072.jpg]

Рис. 13. Расположение Земли и внутренней планеты (Меркурия или Венеры) в момент наибольшего видимого удаления этой планеты от Солнца. Орбиты планеты и Земли изображены в виде двух окружностей.


Рассмотрим орбиту одной из внутренних планет, Меркурия или Венеры, приближенно полагая, что и орбита Земли, и орбита этой планеты – окружности, центр которых совпадает с Солнцем. В момент, который принято называть максимальной элонгацией, планета видна на небе на угловом расстоянии θmax от Солнца. В это время отрезок, соединяющий Землю и планету, есть часть прямой, касательной к ее орбите, поэтому угол между этой прямой и радиусом, проведенным от Солнца к планете, является прямым. Значит, эти два отрезка вместе с отрезком, соединяющим Землю с Солнцем, образуют прямоугольный треугольник (см. рис. 13). Гипотенузой в нем является радиус земной орбиты, поэтому отношение радиуса планетной орбиты rп к расстоянию между Землей и Солнцем rз есть синус угла θmax. Ниже приведена таблица углов максимальной элонгации, их синусов и реальных значений радиусов орбит rп Меркурия и Венеры, выраженных в единицах радиуса земной орбиты rз:

Иллюстрация к книге — Объясняя мир. Истоки современной науки [i_073.jpg]

Небольшие различия между значениями синуса θmax и наблюдаемыми отношениями орбитальных радиусов rп/rз для внутренних планет к радиусу орбиты Земли объясняются отличиями в форме реальных орбит от идеальных окружностей с Солнцем в центре, а также тем фактом, что орбиты располагаются не строго в одной плоскости.

20. Суточный параллакс

Представим себе «новую звезду» или иной астрономический объект, который неподвижен относительно звезд или очень незначительно перемещается по отношению к ним в течение суток. Допустим, что он находится гораздо ближе к Земле, чем звезды. Далее можно либо принять точку зрения, что Земля делает один оборот вокруг своей оси с востока на запад, либо что звезды вместе с этим объектом вращаются вокруг неподвижной Земли раз в сутки с запада на восток. В любом случае, поскольку мы видим объект в слегка разных направлениях в различное время ночи, его видимая позиция на фоне звезд будет смещаться. Это явление называется суточным параллаксом объекта. Измерение суточного параллакса позволяет определить расстояние до объекта, а в случае, если он так мал, что его не удается измерить, определяется минимальное расстояние, ближе которого астрономический объект находиться не может.

Для расчета величины этого углового сдвига необходимо для фиксированной наблюдательной площадки на Земле определить видимое расположение объекта среди звезд два раза: первый раз – когда он лишь появляется над горизонтом и второй раз – когда он находится выше всего на небе. Для того чтобы показать примерный расчет, рассмотрим простейший в геометрическом отношении случай: обсерватория расположена на экваторе, и объект находится в одной плоскости с экватором Земли. Конечно, это было не так в том случае, когда Тихо Браге измерял параллакс сверхновой звезды, но так мы тоже можем получить величину того же порядка.

Луч зрения от наблюдателя, направленный в сторону объекта, проходит по касательной к поверхности Земли в тот момент, когда он восходит над горизонтом, поэтому угол между этим лучом и направлением от обсерватории в центр Земли – прямой. Отрезки, соединяющие наблюдателя, центр Земли и объект, таким образом, образуют прямоугольный треугольник (см. рис. 14). Синус угла θ в этом треугольнике равен отношению противолежащего катета, радиуса Земли rз, к гипотенузе, расстоянию d от центра Земли до объекта, которое мы измеряем. Как видно из чертежа, этот же угол равен видимому смещению объекта на фоне удаленных звезд между моментом его появления над горизонтом и кульминацией. Полное смещение за время от восхода объекта до его захода составит 2θ.

Иллюстрация к книге — Объясняя мир. Истоки современной науки [i_074.jpg]

Рис. 14. Использование суточного параллакса для определения расстояния d от Земли до астрономического объекта. Здесь показан вид в плане со стороны южного полюса Земли. Для простоты примера наблюдатель расположен на экваторе, а наблюдаемый объект находится в той же самой плоскости, что и экватор. Две прямые, пересекающиеся под углом θ, – это направления от наблюдателя к объекту в моменты его восхода над горизонтом и шесть часов спустя, во время его кульминации прямо в зените для наблюдателя.


Например, если мы предположим, что наблюдаемый объект находится от нас так же далеко, как Луна, то d ≈ 400 000 км, rз ≈ 6400 км, поэтому sin θ ≈ 6,4/400, и, таким образом, θ ≈ 0,9°, а полный суточный параллакс составляет 1,8°. При наблюдении объекта из иной произвольной точки на Земле, такой как остров Вен (например, сверхновой 1572 г.), ожидаемый суточный параллакс должен быть меньше, но все равно того же порядка величины – около 1°. Этого более чем достаточно, чтобы такой опытный астроном, как Браге, измерил бы его и без увеличительных инструментов. Однако Тихо Браге не удалось, наблюдая сверхновую, заметить наличие у нее какого-либо суточного параллакса, из чего он заключил, что звезда находится гораздо дальше Луны. Кроме того, надо отметить, что и параллакс самой Луны был измерен без труда, что стало способом измерения расстояния между Землей и Луной.

Вход
Поиск по сайту
Ищем:
Календарь