Онлайн книга «Объясняя мир. Истоки современной науки»
![]() Рис. 18. Способ, примененный Галилеем, чтобы определить высоту лунных гор. Сплошная горизонтальная линия со стрелкой отмечает луч солнца, который касается поверхности Луны в точке T, где проходит граница дня и ночи, а затем попадает на вершину горы M; высота горы равна h, и она находится на расстоянии d от терминатора. Галилей в «Звездном вестнике» писал, что иногда он наблюдал яркие точки на ночной стороне Луны на видимом расстоянии от терминатора, большем, чем 1/20 видимого диаметра Луны: для таких гор d/r > 1/10, и значит, по выведенной выше формуле h/r > (1/10)²/2=1/200. Галилей оценивал радиус Луны в 1000 миль [31], так что эти горы должны быть как минимум 5 миль (около 8 км) высотой. По неясным причинам Галилей написал «4 мили», но поскольку он лишь стремился дать оценку минимально возможной высоты горы, то мог просто поосторожничать. Галилео считал, что это больше, чем самые высокие горы на Земле, но теперь нам известно, что на Земле есть горы почти 9 км высотой, так что наблюдения Галилея показывают, что горы на Луне по высоте не очень отличаются от земных. 25. Ускорение под действием силы тяжести
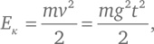
Галилей показал, что падающее дело движется равноускоренно, то есть его скорость увеличивается на одну и ту же величину за одинаковые промежутки времени. Сейчас мы эту закономерность выражаем так: тело, изначально находившееся в покое, спустя время t от момента начала падения приобретет скорость v, пропорциональную t: v = gt, где g – константа, которая характеризует поле силы тяжести на поверхности Земли. Хотя g несколько отличается в различных точках земной поверхности, она нигде не отклоняется значительно от 9,8 м/с за секунду. Согласно теореме о средней скорости расстояние, которое преодолеет такое падающее тело с момента начала падения до t, будет равняться vсредt, где vсред – среднее арифметическое между величиной gt и нулем, то есть vсред = gt/2. Следовательно, расстояние, проходимое за время падения, равно: ![]() В частности, за первую секунду падения тело пролетает g (1 секунда)²/2 = 4,9 м. Время, которое требуется падающему телу, чтобы пройти заданное расстояние, в общем случае равно: ![]() На полученный результат можно взглянуть с иной, более современной точки зрения. Полная энергия падающего тела равна сумме двух слагаемых: его кинетической и потенциальной энергии. Кинетическая энергия выражается как: ![]() где m – масса тела. Потенциальная энергия – это произведение mg на текущую высоту (измеряемую относительно любого произвольно выбранного уровня). Поэтому если тело сбрасывается с некоторой начальной высоты h0 и проходит в падении расстояние d, то его потенциальная энергия равна: ![]() Значит, учитывая, что d = gt²/2, полная энергия тела – постоянная величина: ![]() Это правило мы можем обратить и вывести соотношение между скоростью и пройденным расстоянием, беря за основу закон сохранения энергии. Если в нулевой момент времени t = 0, когда v = 0 и h = h0, мы считаем полную энергию E равной mgh0, то согласно закону сохранения энергии в любой момент времени справедливо: ![]() из чего следует, что v²/2 = gd. Поскольку v – это мера того, как увеличивается d, то, что мы получаем, – это дифференциальное уравнение, определяющее связь между d и t. Конечно, мы уже знаем решение этого уравнения: d = gt²/2, при этом v = gt. Таким образом, используя закон сохранения энергии, мы можем получить те же самые результаты, не зная заранее, что ускорение падающего тела постоянно. Мы увидели элементарный пример использования этого закона, который позволяет разнообразно применять понятие об энергии. В частности, закон сохранения энергии доказывает правильность того, что эксперименты Галилея с шариками, скатывающимися по наклонной плоскости, верно моделируют задачу о свободном падении, хотя сам Галилей не приводил его в качестве аргумента. Для шарика массой m, скатывающегося по наклонной плоскости, кинетическая энергия равна mv²/2, причем здесь v – скорость движения шарика вдоль плоскости, а потенциальная энергия равняется mgh, где h – текущая высота шарика. Дополнительным слагаемым тут служит энергия вращения шарика, которая выражается таким образом: ![]() где r – радиус шарика, ν – число полных оборотов катящегося шарика в секунду, а ζ – величина, которая зависит от распределения массы внутри самого шарика и его формы. Применительно к экспериментам Галилея, который, скорее всего, использовал сплошные твердые шары, значение ζ = 2/5 (для пустотелого шара, например, ζ = 2/3). Теперь заметим, что, когда шарик совершает один полный оборот, он проходит расстояние, равное длине его окружности 2πr, поэтому в течение времени t, за которое он совершает νt оборотов, полное пройденное расстояние составляет d = 2πrνt, и значит, его скорость равняется d/t = 2πνr. Подставляя это выражение в формулу энергии вращательного движения, получаем: |
![Иллюстрация к книге — Объясняя мир. Истоки современной науки [i_106.jpg] Иллюстрация к книге — Объясняя мир. Истоки современной науки [i_106.jpg]](img/book_covers/072/72959/i_106.jpg)
![Иллюстрация к книге — Объясняя мир. Истоки современной науки [i_107.jpg] Иллюстрация к книге — Объясняя мир. Истоки современной науки [i_107.jpg]](img/book_covers/072/72959/i_107.jpg)
![Иллюстрация к книге — Объясняя мир. Истоки современной науки [i_108.jpg] Иллюстрация к книге — Объясняя мир. Истоки современной науки [i_108.jpg]](img/book_covers/072/72959/i_108.jpg)
![Иллюстрация к книге — Объясняя мир. Истоки современной науки [i_109.jpg] Иллюстрация к книге — Объясняя мир. Истоки современной науки [i_109.jpg]](img/book_covers/072/72959/i_109.jpg)
![Иллюстрация к книге — Объясняя мир. Истоки современной науки [i_110.jpg] Иллюстрация к книге — Объясняя мир. Истоки современной науки [i_110.jpg]](img/book_covers/072/72959/i_110.jpg)
![Иллюстрация к книге — Объясняя мир. Истоки современной науки [i_111.jpg] Иллюстрация к книге — Объясняя мир. Истоки современной науки [i_111.jpg]](img/book_covers/072/72959/i_111.jpg)
![Иллюстрация к книге — Объясняя мир. Истоки современной науки [i_112.jpg] Иллюстрация к книге — Объясняя мир. Истоки современной науки [i_112.jpg]](img/book_covers/072/72959/i_112.jpg)
![Иллюстрация к книге — Объясняя мир. Истоки современной науки [i_113.jpg] Иллюстрация к книге — Объясняя мир. Истоки современной науки [i_113.jpg]](img/book_covers/072/72959/i_113.jpg)