Книга Объясняя мир. Истоки современной науки, страница 92 – Стивен Вайнберг

Авторы: А Б В Г Д Е Ж З И Й К Л М Н О П Р С Т У Ф Х Ч Ш Ы Э Ю Я
Книги: А Б В Г Д Е Ж З И Й К Л М Н О П Р С Т У Ф Х Ц Ч Ш Щ Ы Э Ю Я
Бесплатная онлайн библиотека LoveRead.in

Онлайн книга «Объясняя мир. Истоки современной науки»

📃 Cтраница 92

Чтобы понять, какое отношение хорды имеют к тригонометрии, вернемся к геометрическому определению хорды угла θ и проведем перпендикуляр (штриховая линия на рис. 9) к хорде из центра окружности, который делит хорду точно пополам. Мы получим два прямоугольных треугольника, у каждого из которых угол, прилегающий к центру окружности, равен θ/2, а противолежащий ему катет в два раза короче хорды. Гипотенузы обоих треугольников равны радиусу окружности, который мы принимаем равным 1, поэтому синус угла θ/2 – в математической записи sin θ/2 – есть половина хорды угла θ, или:

chordθ = 2 sin(θ/2).

Поэтому любое вычисление с использованием синусов можно выполнить и при помощи хорд, хотя и с несколько меньшим удобством.

16. Горизонт

Как правило, посмотреть вдаль нам мешают стоящие недалеко от нас деревья, дома или другие предметы. Стоя на вершине холма в ясный день, мы можем видеть намного дальше, но пределом видимости все равно будет линия горизонта, предметы позади которой мы не видим, потому что их от нас закрывает сама Земля. Арабский астроном аль-Бируни описал хитроумный метод, как, используя это хорошо знакомое всем явление, вычислить радиус Земли, измерив лишь одну линейную величину – высоту горы.

Пусть наблюдатель в точке O вершины горы может видеть самую дальнюю точку H на поверхности Земли, в которой луч его зрения касается земного шара (см. рис. 10).

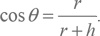
Этот луч зрения расположен под прямым углом к радиусу, соединяющему точку H с центром Земли C, поэтому треугольник OCH является прямоугольным. Луч зрения пролегает ниже горизонтальной плоскости на некоторый угол θ, который мал за счет того, что Земля большая и линия горизонта находится далеко от наблюдателя. Угол между тем же лучом зрения и вертикальным направлением вниз в точке расположения наблюдателя равен 90° – θ, а значит, поскольку сумма углов любого треугольника равна 180°, острый угол треугольника, прилежащий к центру Земли, равняется 180° − 90° − (90° − θ) = θ. Прилежащий ему катет CH имеет длину, равную радиусу Земли r, а длина гипотенузы треугольника CO есть сумма радиуса Земли r и высоты горы h. По определению, косинус угла прямоугольного треугольника есть отношение длины прилежащего катета к длине гипотенузы, поэтому здесь

Иллюстрация к книге — Объясняя мир. Истоки современной науки [i_054.jpg]
Иллюстрация к книге — Объясняя мир. Истоки современной науки [i_055.jpg]

Рис. 10. Примененный аль-Бируни метод определения радиуса Земли путем измерения горизонта. O – наблюдатель на вершине возвышенности высотой h. H – линия горизонта с его точки зрения. Отрезок OH является касательной к поверхности Земли в точке h и, значит, образует прямой угол с радиусом, проведенным из центра Земли C в точку H.


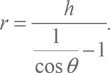
Чтобы вывести из этого уравнения r, обратим внимание, что, если перевернуть обе части, получается равенство 1 + h/r = 1/cos θ. Если теперь вычесть из левой и правой части единицу и снова их перевернуть, то мы получим:

Иллюстрация к книге — Объясняя мир. Истоки современной науки [i_056.jpg]

К примеру, наблюдая горизонт на горе в Индии, аль-Бируни нашел, что θ = 34’. Косинус этого угла cos θ = 0,999951092, а 1/cos θ – 1 = 0,0000489. Значит,

Иллюстрация к книге — Объясняя мир. Истоки современной науки [i_057.jpg]

Согласно аль-Бируни, высота этой горы составляла 652,055 локтя (это число дано с точностью, намного превышающей доступную ему точность измерений), что дает результат r = 13,3 млн локтей, хотя он сам приводит число 12,8 млн локтей. В чем именно аль-Бируни ошибся, мне неизвестно.

17. Геометрическое доказательство теоремы о средней скорости

Построим график изменения скорости в зависимости от времени для движения с постоянным ускорением, отложив скорость вдоль вертикальной оси, а время – вдоль горизонтальной. График будет представлять собой прямую линию от нуля до конечной скорости в конечный момент времени. В каждый достаточно малый отрезок времени пройденное расстояние равняется произведению скорости, которое имело тело в этот момент (примем, что изменение скорости пренебрежимо мало в этот промежуток времени, если он сам мал), на длину временно́го отрезка.

Таким образом, пройденное расстояние равно площади узкого прямоугольника, высота которого равна высоте графика скорости в этот момент времени, а ширина отмечает достаточно малый отрезок времени (см. рис. 11а). Такими прямоугольниками можно заполнить всю область под графиком от начального до конечного момента времени, и полное пройденное расстояние в этом случае будет равняться сумме их площадей, то есть площади области под графиком (см. рис. 11б).

Конечно, какими бы узкими мы ни делали эти прямоугольники, можно лишь приближенно говорить, что площадь области под графиком равна сумме их площадей. Но если мы будем делать их все более и более узкими, мы будем получать все более и более близкий к истинному результат. Представляя себе бесконечное количество бесконечно тонких прямоугольников разбиения, мы можем заключить, что пройденное телом расстояние численно равно площади, заключенной под графиком.

Иллюстрация к книге — Объясняя мир. Истоки современной науки [i_058.jpg]

Рис. 11. Геометрическое доказательство теоремы о средней скорости. Наклонная линия – это график скорости в зависимости от времени для равномерно ускоряющегося тела, первоначально находившегося в состоянии покоя: а) ширина узкого прямоугольника соответствует малому отрезку времени. Его площадь примерно равна расстоянию, пройденному за этот промежуток времени; б) весь период времени равноускоренного движения разбивается на малые промежутки. По мере увеличения количества промежутков сумма площадей построенных на них прямоугольников все точнее приближается к площади области под наклонным графиком; в) площадь под наклонным графиком скорости равна половине произведения конечной скорости на полное время ускоренного движения.


Суть рассуждения не изменится и в том случае, если ускорение не будет постоянным и график скорости не будет прямолинейным. Оказывается, мы только что вывели основополагающий принцип интегрального исчисления: если взять график изменения во времени некоторой величины, то ее суммарное изменение в пределах какого-то промежутка времени будет равно площади, заключенной под графиком этой кривой, в пределах того же промежутка. Но в случае равномерного изменения величины, как для нашего постоянного ускорения, эту площадь можно найти простейшим геометрическим расчетом по следующей теореме: площадь прямоугольного треугольника равна половине произведения длин его катетов, то есть двух его сторон, не являющихся гипотенузой. Это очевидно из того факта, что, сложив два одинаковых прямоугольных треугольника вместе, мы получим прямоугольник, площадь которого равна произведению длин двух его сторон (см. рис. 11в). В нашем случае катетами являются конечная скорость и полное время ускоренного движения. Пройденное расстояние равно площади прямоугольного треугольника таких размеров, то есть половине произведения конечной скорости на полное время. Но, поскольку скорость возрастает от нуля в постоянном темпе, ее среднее значение равно половине его конечного значения, поэтому пройденное телом расстояние равно произведению средней скорости на полное время. Это и есть теорема о средней скорости.

Вход
Поиск по сайту
Ищем:
Календарь