Книга Вся фигня - от мозга?! Простая психосоматика для сложных граждан, страница 53 – Василий Чибисов

Авторы: А Б В Г Д Е Ж З И Й К Л М Н О П Р С Т У Ф Х Ч Ш Ы Э Ю Я
Книги: А Б В Г Д Е Ж З И Й К Л М Н О П Р С Т У Ф Х Ц Ч Ш Щ Ы Э Ю Я
Бесплатная онлайн библиотека LoveRead.in

Онлайн книга «Вся фигня - от мозга?! Простая психосоматика для сложных граждан»

📃 Cтраница 53
9.3. Танцы на чипсах

Каково представлению, которое стало целью одновременно для нескольких влечений, в которое летит либидо от множества объектов? Агрессивнее ситуации не придумаешь — с точки зрения цели. Но что такое точка зрения одного представления по сравнению с удовольствием от разрядки целой плеяды других представлений?

Психика, как вы уже прекрасно знаете, склонна экспериментировать со структурой связей: будь то нейронные связи, потоки либидо между представлениями, социальные отношения. Локальные неудобства допустимы, когда речь идет о глобальной оптимизации всей сети. Поэтому некоторые представления в добровольно-принудительном порядке подставляются под либидо от разных влечений. Эту вывернутую картину, когда представление стремится к накоплению либидо, а не к разрядке, можно назвать пассивно-агрессивным влечением.

Тот факт, что далеко не каждый демонстрирует пассивную агрессию, наводит на мысль о существовании спектра промежуточных и альтернативных психических конфигураций. Психика должна прибегать к агрессивным перегибам на местах только в особых случаях, иначе психические ресурсы быстро истощатся (да и побить могут).

Это на самом деле так. Психика защищается от резких скачков энергии, от застоя либидо, от избытка аффектов, от осуждения Сверх-Я. Все свободное от обучения и общения время психика защищается. А во время обучения и общения психика защищается особо тщательно. Психическая защита — это любая трансформация влечений из-за невозможности удовлетворения и в целях оптимизации потоков либидо. Ровно то же самое, что на нейронном уровне мы описывали как сетевую адаптацию. Судьба любого влечения — пережить множество трансформаций. Иначе об удовлетворении можно забыть.

В этом параграфе мы разберем цепочку психических защит, которая ведет по пути ослабления агрессии. Начинается эта цепочка, как и любая другая, с вытеснения.

А. Неудачное вытеснение

Об этой психической защите вы уже знаете почти все. Если влечение кажется психике слишком затратным, проблематичным, противоречивым или «аморальным», психика попросту делает вид, что никакого влечения нет. Объект и цель являются представлениями. Значит, их можно выкинуть в бессознательное (по отдельности или вместе). Однако вытесненное состояние нестабильно, требует затрат. Плюс еще с цепочками дериватов бороться надо (параграф 4.1). Поэтому более зрелая психика поступает хитрее.

Б. Неустойчивая сублимация

Все компоненты остаются в сознании, но один объект заменяется на сеть объектов; цель — на множественные цели. Таким образом либидо свободно перемещается по этой разветвленной сети, порождая новые образы, формы и идеи. Удовольствие при этом не такое острое, как при прямой сексуальной разрядке, но гораздо масштабнее, потому что охватывает значительную часть Я и Сверх-Я. Недостаток сублимационной сети в том, что от субъекта требуется высокий уровень психической зрелости и «социальной ответственности». Большинство субъектов (около 70%) вообще не способны к полноценной сублимации. И даже те, кто успешно сублимирует, нуждается в периодах регрессии (расслабона) после душевного напряжения и трудов праведных. Поэтому сублимационная сеть раскалывается на отдельные подсистемы, в каждой из которых работают уже другие психические защиты.

В. Амбивалентная петля

Иногда влечение упорно не желает создавать множественные цели или принимать множественные объекты. Так бывает, когда объект представляет ценную фигуру (родитель, наставник). Конечно, всегда есть вариант с параноидным расщеплением ценной фигуры на идеальный объект и на объект преследующий. Но это уже психотический регистр, который мы в этой книге не рассматриваем. Поэтому диада «сингулярный объект — сингулярная цель» подвергается замыканию. Либидо просто циркулирует между объектом и целью, не беспокоя соседние представления (рис. 9.3). Психика просто добавила новое влечение, в котором объект и цель поменялись местами. Благодаря таким петлям психика умеет справляться с амбивалентными, то есть противоречивыми, отношениями.

Иллюстрация к книге — Вся фигня - от мозга?! Простая психосоматика для сложных граждан [i_035.jpg]

Рис. 9.3. Амбивалентная петля, эквивалентная двум противоположным влечениям. Перевернутой галочкой отмечен объект, превращенный в цель нового (встречного) влечения

Г. Реактивное образование

При неврозах и стрессовых ситуациях психика не желает разбираться со слишком сложными амбивалентными отношениями. Половина петли уходит в бессознательное. Или перекрывается один из потоков либидо. В итоге другой поток (другая половина петли) получается непропорционально сильным (рис. 9.4). Со стороны мы наблюдаем, как субъект слишком почтительно общается с родителями (вплоть до того, что им самим некомфортно). Или как мать не ругает, а заискивающе нахваливает капризного ребенка.

Иллюстрация к книге — Вся фигня - от мозга?! Простая психосоматика для сложных граждан [i_036.jpg]

Рис. 9.4. Реактивное образование. Справа показано, как цель уходит в бессознательное. Либидо не может течь из сознания в бессознательное, поэтому отражается от «заслона» и возвращается к объекту. Течение из бессознательного в сознание разрешено, поэтому цель без проблем продолжает разряжать либидо в объект


На сознательном уровне субъект действует абсолютно искреннее, часто даже в ущерб себе. Но бессознательно это лишь способ убедить самого себя, будто ты не испытываешь никаких негативных эмоций по отношению к другим. Сторонний наблюдатель чувствует в таких заботе и любви нотки агрессии. Отсюда пошло выражение «задушить любовью». И здесь же мы передаем привет многим защитникам окружающей среды, чья ванильная забота о всем живом является реактивной маскировкой их эпилептоидного садизма. Согласитесь, нужно быть конченым садистом, чтобы из-за сфабрикованных климатических теорий лишить рабочих мест несколько миллионов граждан.

Д. Аутоагрессия Я

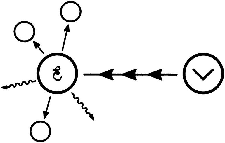
За бегство от амбивалентности приходится платить. Если объект «боится» повредить цель своим натиском либидо, то куда девать либидо? А тут еще в реактивном образовании либидо не уходит в цель, а приходит от целевого представления! В какой-то момент перегруженное представление «протекает»: либидо льется на головы всем соседним представлениям (рис. 9.5).

Иллюстрация к книге — Вся фигня - от мозга?! Простая психосоматика для сложных граждан [i_037.jpg]

Рис. 9.5. Объект, перегруженный либидо, пытается сбросить нагрузку, «стреляя» энергией во все стороны. Волнистые линии — сверхбыстрые импульсы либидо, которые ведут к диссипации энергии и внешним аффектным проявлениям

Вход
Поиск по сайту
Ищем:
Календарь