Книга Вся фигня - от мозга?! Простая психосоматика для сложных граждан, страница 51 – Василий Чибисов

Авторы: А Б В Г Д Е Ж З И Й К Л М Н О П Р С Т У Ф Х Ч Ш Ы Э Ю Я
Книги: А Б В Г Д Е Ж З И Й К Л М Н О П Р С Т У Ф Х Ц Ч Ш Щ Ы Э Ю Я
Бесплатная онлайн библиотека LoveRead.in

Онлайн книга «Вся фигня - от мозга?! Простая психосоматика для сложных граждан»

📃 Cтраница 51

В нашей модели получается, что агрессия возникает сразу же как простая концентрация либидо вокруг объекта влечения. Это не противоречит принципу удовольствия — наоборот — чем дольше представление переполнено либидо, тем неприятнее этому представлению. Если бы все потребности удовлетворялись мгновенно, не было бы никакой задержки либидо и никакой агрессии. Но этот сценарий мы уже рассматривали в пятой главе.

Таким образом, идея Фройда о первичном мазохизме оказалась гораздое жизнеспособней и перспективней, чем думал ее создатель. Первичность состоит в том, что первые же наши влечения, еще не сформировавшись, уже завязаны на агрессии, на необходимости мириться с неудовольствием. Но это все еще не мазохизм, потому что последний предполагает получение от страданий хоть какого-то удовольствия.

Смотрим дальше. У влечения есть второй компонент — цель. Это представление о состоянии объекта после того, как влечение удовлетворено. Или, что то же самое, цель — это представление успешного опыта по удовлетворению влечения. Изначально это представление имеет весьма размытые очертания. Психика еще не знает, как именно удовлетворить влечение. Поэтому цель обладает гораздо меньшим запасом либидо по сравнению с объектом. Не заслужила еще.

Между объектом и целью возникает существенный перепад либидо, который психика выровняет при первой возможности, но не с первой попытки. Сначала в ход пойдет самая примитивная моторная активность: бегство, поглощение и прочая физиология. Если не срабатывает, психика пробует новые варианты, усложняя представление о цели влечения. Наконец наступает разрядка, и либидо переходит от объекта к цели.

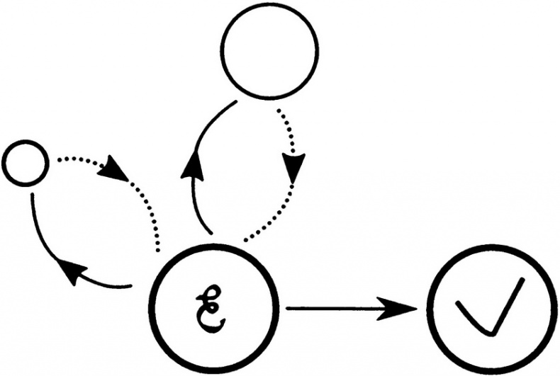
Если точнее, то либидо объекта разряжается «куда придется». И уже постфактум те представления, на которые удалось скинуть груз либидо, отмечаются психикой как цель влечения (рис. 9.1). В следующий раз, когда влечение будет вновь актуально (то есть когда либидо нахлынет на объект), психика воспользуется уже известной схемой удовлетворения. Поэтому мы говорим, что объект и цель образуют устойчивую пару, то есть пару, прошедшую проверку на реальность. Впоследствии пары «объект — цель» могут быть созданы на основе самых разных представлений. Психика строит для себя искусственные американские горки, чтобы получать удовольствие от накопления либидо и его быстрой разрядки. Уже без всяких проверок.

Наконец-то мы подходим к мазохизму! Не то чтобы эта тема нас так радовала, но нужно же продвигать вперед психоаналитическую теорию. Мазохизм здесь в том, что разрядка и удовольствие одного представления неминуемо влечет агрессию в адрес другого представления. Особенно поначалу, когда психика еще не научилась контролировать свои аффектные импульсы. Все либидо, скопившееся у объекта влечения, в едином порыве обрушивается на цель влечения. И этот выброс либидо сопровождается реальной моторной активностью субъекта. Агрессия чистой воды, притом в адрес своих собственных представлений. Представление-цель страдает, испытывая шок от либидозного цунами. Представление-объект испытывает удовольствие. Но и цель, и объект живут под одной крышей. Вот и получается сочетание страдания и удовольствия — первичный мазохизм.

Иллюстрация к книге — Вся фигня - от мозга?! Простая психосоматика для сложных граждан [i_033.jpg]

Рис. 9.1. Объект, переполненный либидо (эпсилон прописная), находит и запоминает цель для разрядки (поставлена галочка). Разрядка на других представлениях не была успешной (либидо вернулось к объекту)


В этом вопросе Фромм, безумно далекий от настоящего психоанализа, оказался более последователен, чем Фройд . Теперь мы ясно видим, что агрессия — это неотъемлемый компонент любого влечения. То, что является разрядкой и удовольствием для одного представления, для другого может оказаться актом агрессии. Когда же всякая разрядка ограничена, застой либидо воспринимается психикой как тотальный акт агрессии со стороны общества. Поэтому репрессивная мораль неминуемо воспитывает не святых, а потомственных жертв агрессии с выученной беспомощностью.

Здесь еще очень важен фактор времени. Представление-объект осуществило выброс либидо и радуется. Ему невдомек, что совсем скоро это либидо прилетит в представление-цель и доставит тому массу неудовольствия. Потом цель еще должна «сообщить» психике, что на нее совершено нападение. Еще какое-то время и опыт уйдет у психики, чтобы сопоставить два события...

Все это ведет к важному обстоятельству. Мы впервые сталкиваемся с агрессией в рамках внутрипсихического опыта, сталкиваемся как жертва, как цель агрессии. Сталкиваемся не мы как личность, а мы в масштабах отдельно взятого представления. Но это представление потом раструбит «благую весть» по всей психике. Как следствие, психика на каком-то этапе решит, что разрядку либидо нужно осуществлять только во внешний мир. Особенной популярностью эта стратегия пользуется во время господства анальной фазы. И в любое время у личностей с анальными фиксациями, особенно если они достигли высоких социальных постов.

Внешняя агрессия является двойной противоположностью внутреннему опыту. Здесь мы сразу стараемся играть роль агрессора, а не жертвы. И не на уровне отдельных представлений — зачем мелочиться? Мы поглощены агрессией тотально. Каждый крик, воинственный жест, взгляд — все подчинено агрессивному импульсу. И нам понятно, почему: чем больше представлений включаются в эту игру, тем больше либидо сфокусируется на объекте, тем больше суммарная разрядка либидо, тем больше удовольствия мы получим.

Агрессивный опыт необходим для психической целостности. Поэтому не надо особо радоваться, если у вас «тихий добрый ребенок». За нулевой агрессивностью нередко прячется фатальная психическая патология. Поэтому лучше не полениться и сводить лишний раз «юного пацифиста» к невропатологу (для начала), к врачу-психотерапевту или знакомому частному психиатру (ни в коем случае не в муниципальный психдиспансер — эти господа застряли в прошлом веке). Доброта не имеет ничего общего с неспособностью к агрессии. Как раз самые драчливые и шумные дети оказываются на поверку добры к близким и, что более показательно, к домашним животным. Вот со слишком тихим ребенком мы бы никогда собаку наедине не оставили... Да мы бы вообще не оставляли животных наедине с детьми.

9.2. Разрядка по утрам

Возникает резонный вопрос — как передача либидо от одного представления к другому ведет к снижению общего количества либидо в психике? Ответ не так очевиден, как кажется. Если бы либидо «перетекало» между представлениями бесконечно медленно, то никаких потерь бы не было. Чем более бурно и резко передается либидо, тем больше внешних психофизиологических проявлений мы увидим. Предельный случай — весь запас либидо передается «мгновенно», в едином импульсе — это то, что мы называем аффектом. Психика боится резких перепадов либидо, поэтому оперативно «заземляет» слишком быстрые порции либидо, конвертируя их в более «безобидные» виды энергии.

Здесь напрашивается аналогия с электронагревателем. Там электрический ток проходит через участок цепи с большим сопротивлением. Электроны часто ударяются о кристаллическую решетку проводника, выделяется много тепла. Если мы увеличим силу тока, то скорость электронов увеличится и при столкновениях будет выделяться больше тепловой энергии. Этот процесс называется диссипацией.

Вход
Поиск по сайту
Ищем:
Календарь