Книга Вся фигня - от мозга?! Простая психосоматика для сложных граждан, страница 52 – Василий Чибисов

Авторы: А Б В Г Д Е Ж З И Й К Л М Н О П Р С Т У Ф Х Ч Ш Ы Э Ю Я
Книги: А Б В Г Д Е Ж З И Й К Л М Н О П Р С Т У Ф Х Ц Ч Ш Щ Ы Э Ю Я
Бесплатная онлайн библиотека LoveRead.in

Онлайн книга «Вся фигня - от мозга?! Простая психосоматика для сложных граждан»

📃 Cтраница 52

Поэтому чем быстрее либидо летит в цель, тем больше его будет растрачено на внешнюю деятельность. С точки зрения психики — это потеря энергии. С точки зрения тела — полезная работа, возможность размять мускулы. Так мы возвращаемся к ситуации, о которой начали говорить в четвертой главе. Не так важно доставить либидо адресату. Важно, что психика может регулировать скорость этой передачи, влияя на интенсивность соматических реакций. Быстрая разрядка с диссипацией либидо порождает внешнюю агрессию, плавная разрядка без диссипации — внутреннюю.

Получается, что и здесь первый опыт агрессии играет важную роль — учит контролировать импульсы либидо, то есть аффекты, то есть эмоции. Нарушение механизма агрессии неминуемо ведет к нарушению выражения любых эмоций, к бесконтрольному застою либидо на отдельных представлениях и, как следствие, к алекситимии и психосоматическим проблемам.

Мы только что более строго (психоаналитически) обосновали высказанное в четвертой главе предположение, что за психосоматикой стоит именно вытесненная агрессия. Еще один круг рассуждений замкнулся. Модель прошла небольшую проверку на непротиворечивость.

Меж тем в процессе социализации мы учимся искать баланс между агрессией внутренней и внешней. Мы учимся (и нас учат) подбирать оптимальную скорость разрядки либидо для разных ситуаций. Параллельно с этим ширится сеть наших представлений, быстро растет число связей между представлениями.

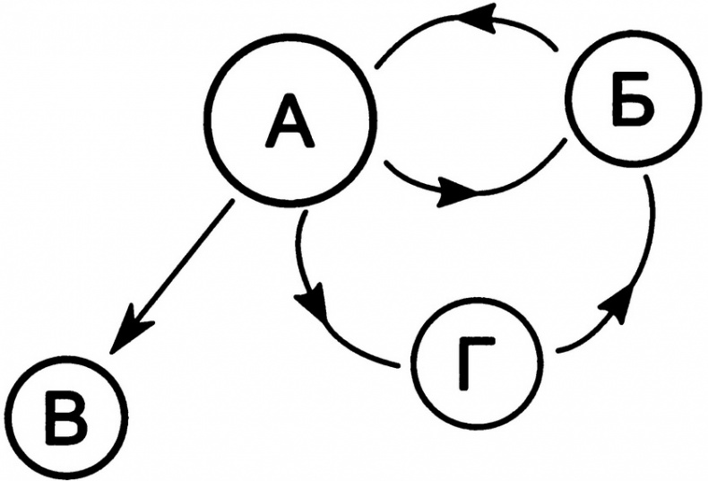
Теперь у либидо появляется своя «карта метро», так что психика может выбирать разные маршруты для разрядки либидо. Не получилась разрядка от объекта А в цель Б? Не беда, попробуем путь из объекта А в цель В. Оказывается, один объект может иметь много разных целей. Каждая цель может получать либидо от различных объектов. Каждое представление может быть целью для одного влечения и объектом — для другого. Внутри одного влечения могут возникать цепочки последовательных целей и более сложные маршруты. Ничего из второй и третьей глав не напоминает? Опять сети (рис. 9.2).

Иллюстрация к книге — Вся фигня - от мозга?! Простая психосоматика для сложных граждан [i_034.jpg]

Рис. 9.2. Пример сети влечений. Представление А не может разрядить либидо в цель Б, поэтом выбирает представления В и Г в качестве целей. Представление Г является одновременно и объектом (относительно Б), и целью (относительно А)


Сложная сетевая структура позволяет создавать внутри одного влечения множественные цели. У объекта — тот же запас либидо, который надо разрядить. Но либидо теперь летит не в одно несчастное представление, а равномерно распределяется между несколькими целями. Сколько всего целей — во столько раз меньше либидо получит каждая цель, чем в обычном случае (один объект — одна цель). Объект получает свое законное удовольствие, а цели не чувствуют себя такими уж жертвами агрессии.

Множественность целей позволяет выстраивать с объектом влечения сложные многогранные отношения, свободные от «первобытной» агрессии. Обратный процесс можно наблюдать при постепенном разрушении отношений. Цели в отношении объекта гаснут одна за другой (секс, общие увлечения, воспитание детей, разговор по душам — это все цели). Ответов на целеполагающий вопрос «Зачем мы вместе?» — все меньше. И параллельно нарастает раздражение вашим «ценным объектом», появляются вспышки агрессии. В итоге вы даже видеть друг друга не можете.

Занятно, что в этом ракурсе интенсивные негативные чувства к «бывшим» говорят о том, что бурное примирение возможно в любой момент. Достаточно найти новые общие цели — и либидо, накопленное у любимого представления, радостно устремится по предложенным каналам отвода.

Если же отношения, тихо и мирно распавшись, сразу переходят в дружбу или хотя бы нейтральное взаимоуважение, то либидо уже отведено от объекта влечения и больше туда не заглядывает. Влечения как такового уже нет. Возможно, что отток либидо произошел гораздо раньше «официального» разрыва. Или изначально эти отношения строились на рациональном фундаменте без вовлечения значительных потоков психосексуальной энергии.

Еще одна гипотеза на этой почве. Человек бессознательно оценивает состав целей в любой коммуникации. Не только своих собственных целей, но и целевых установок собеседника. И чем меньше целей связано с нами, тем более мы склонны воспринимать коммуникацию как агрессию. Пример: какой-то малознакомый человек требует от нас какую-то мелочь. Подпись поставить. Или взять его в соавторы статьи. Просит с завидным упорством на протяжении продолжительного времени. Вы почувствуете, что коммуникация строится несколько агрессивно? Скорее всего. Но если тот же человек еще активно интересуется нашими музыкальными вкусами и активно агитирует сходить на концерт — число целей в коммуникации растет. А уровень агрессии снижается. Чем больше целей преследуется в коммуникации, тем меньше ее агрессивный фон. Это всего лишь обобщающая гипотеза, но она представляется нам любопытной.

Это справедливо, только если речь о множественной цели внутри одного влечения. Другой вопрос, когда объект участвует сразу во многих влечениях. Через такой объект проходит интенсивный поток либидо. Никакого равномерного распределения либидо между целями уже нет. Наоборот: объект может не справиться с «регулировкой» и отправить в цель двойную норму либидо. В самом деле, «влечение можно разложить на отдельные... всплески, которые ведут себя по отношению друг к другу подобно последовательным извержениям лавы». Всплески разных влечений обычно не зависят друг от друга, поэтому могут пересечься во времени и слипнуться в один большой всплеск. А общий объект влечений не знает, как разделить такую посылку, и отправляет в случайную цель. Так среди представлений начинают ходить слухи о неадекватном объекте-агрессоре, который во всех энергией швыряется.

Подобное явление обычно возникает в ситуациях сильной фрустрации или слишком сильного удовольствия. Если ситуация держится слишком долго, то психика для экономии ресурсов просто фиксирует за одним представлением роль объекта сразу для нескольких влечений. Так представление превращается в точку фиксации. Теперь любая попытка сменить объект у фиксированных (на нем) влечений вызывает сильные эмоциональные переживания. В предельном случае — агрессию. Источником агрессии является, очевидно, точка фиксации. Ее и так распирает от либидо — а тут еще хотят пересмотреть карту влечений и перекрыть канал разрядки!

Агрессия точек фиксации, направленная против психических изменений, называется сопротивлением« Это то, с чем аналитик сталкивается на каждом сеансе. Или не на каждом? Нет, потому что у психосоматических клиентов агрессия точек фиксации направлена не против аналитика, а против внешних источников запрета. Это мы уже рассматривали в пятой главе, только под другим углом (с точки зрения Сверх-Я). Здесь проявляется принцип полидетерминизма, который очень любил Фройд: каждый психоаналитический феномен является следствием целого ряда причин. И для полного понимания феномена необходимо рассматривать его несколько раз, с позиции каждой причины.

Вход
Поиск по сайту
Ищем:
Календарь