Книга Психодиагностика. Конспект лекций, страница 20 – Алексей Лучинин

Авторы: А Б В Г Д Е Ж З И Й К Л М Н О П Р С Т У Ф Х Ч Ш Ы Э Ю Я
Книги: А Б В Г Д Е Ж З И Й К Л М Н О П Р С Т У Ф Х Ц Ч Ш Щ Ы Э Ю Я
Бесплатная онлайн библиотека LoveRead.in

Онлайн книга «Психодиагностика. Конспект лекций»

📃 Cтраница 20
Иллюстрация к книге — Психодиагностика. Конспект лекций [i_011.jpg]

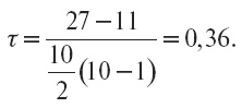
При сопоставлении приведенных коэффициентов оказывается, что коэффициент τ более информативен, чем rs, и рассчитывается проще. Поэтому на практике при расчете рановой корреляции отдают предпочтение коэффициенту τ (табл. 3).

Таблица 3

Распределение IQ-оценок и показателей теста зрительной памяти

Иллюстрация к книге — Психодиагностика. Конспект лекций [i_012.jpg]
ЛЕКЦИЯ № 15. Измерительные шкалы

Измерительные шкалы (от лат. scala – «лестница») – форма фиксации совокупности признаков изучаемого объекта с упорядочиванием их в определенную числовую систему. Измерительные шкалы представляют собой метрические системы, моделирующие исследуемый феномен путем замены прямых обозначений изучаемых объектов числовыми значениями и отображение пропорций континуального состава элементов объекта в соответствующих числах. Каждому элементу совокупности проявлений свойств изучаемого объекта соответствует определенный балл или шкальный индекс, количественно устанавливающий положение наблюдаемой единицы на шкале, которая охватывает всю совокупность или ее часть, существенную с точки зрения задач исследования. Операция упорядочивания исходных эмпирических данных в шкальные носит название шкалирования. Измерительные шкалы являются главным средством сбора и анализа статистического материала как в прикладных, так и в теоретических исследованиях. Они различаются в зависимости от характера функции, лежащей в основе их построения. В качестве такой функции могут служить: сравнение по признаку убывания или возрастания, ранжирование, оценка интенсивности признака или оценка пропорциональных отношений между признаками. Наиболее общая классификация измерительных шкал предложена С. Стивенсон. В ее основу положен признак метрической детерминированности. Согласно этому признаку шкалы делятся на метрические (интервальные и шкалы отношений) и неметрические (номинативные, шкалы порядка).

1. Номинативные шкалы

Номинативные шкалы (шкалы наименований) устанавливают соответствие признака тому или иному классу. Объекты объединяют в классы на основании какого-либо общего свойства (классы эквивалентности) либо символа (обозначения). Необязательно, чтобы между выявленными классами существовала внутренняя взаимосвязь. Само название «шкала наименований» указывает на то, что значения по шкале играют роль лишь названий классов. Одним из распространенных видов номинативной шкалы является классификация объектов на две группы по принципу «А – не-А» (альтернативные признаки в дихотомической шкале наименований). Конкретными примерами применения такой шкалы являются оценивание ответа испытуемого на пункт опросника в виде утверждения или отрицания, соответствие или несоответствие полученного вида ответа ключу (коду) измеряемого свойства (см. личностные опросники).

Примером оценивания в номинативной шкале могут служить классификация решений тестовой задачи или пункт опросника с задачей закрытого типа.

Из названных городов северней расположен город…

1) Псков;

2) Нижний Новгород;

3) Волгоград;

4) Новосибирск;

5) Красноярск.

Противоположностью значения «великодушный» является…

1) расточительный;

2) упрямый;

3) малодушный;

4) скупой;

5) щедрый.

Другой простейшей разновидностью номинативной шкалы является перечень или набор каких-либо признаков, группируемых при сборе информации или ее обработке.

Вы предпочитаете проводить досуг…

1) с товарищами и приятелями;

2) на лоне природы;

3) в занятиях спортом;

4) в кругу семьи и т. д.

Распределение признаков в классах шкалы наименований можно охарактеризовать путем определения абсолютных и относительных частот встречаемости, возможно также определение модальных и центральных значений в классах. Оценка статистической связи между группами признаков возможна с помощью анализа корреляции (см. корреляция качественных признаков).

Если один из рядов переменных представлен в дихотомической шкале наименований, а другой – в любой иной (интернальной, отношений или порядковой), то применяются коэффициенты корреляции бисериальной. Переменные в дихотомической шкале могут распределяться по нормальному закону или иначе в зависимости от этого выбирают способ расчета коэффициентов корреляции.

В строгом смысле номинативная шкала не является шкалой измерения. Она допускает лишь операцию равенства и неравенства и более или менее дифференцированную классификацию признаков. Вместе с тем в психологических исследованиях и психологической диагностике этот вид измерительных шкал имеет достаточно большое значение, особенно при фиксации качественной информации (например, данных проективных методик при сборе психологического анамнеза и т. д.).

2. Порядковые шкалы

Порядковые шкалы (ординальные) предназначены для расчленения совокупности признаков на элементы, связанные отношением «больше – меньше», и допускают отнесение переменных к группам, упорядоченным (ранжированным) друг относительно друга и представляющим некое системное единство. Порядковые шкалы дают возможность оценить степень выраженности признака. Они содержат не менее трех классов с установленной последовательностью, не допускающей перестановки. Так, между двумя показателями объектов А и В, обладающих признаком X, возможны три вида отношений: ХА = ХB; ХА ‹ ХB; ХА › ХB. Если имеются три объекта A, В, С и между ними установлены отношения ХА ‹ ХB, ХB ‹ ХC, из этого следует, что ХА ‹ ХC. При этом значения разностей между признаками не устанавливаются (шкала неметрическая, единицы измерения отсутствуют). Упорядочивание признаков в ординальной шкале может быть униполярным (при определении классов исходят из степени выраженности измеряемого свойства) и биполярным (в основе разделения лежит ранг степени приближения к одному из противоположных полюсов свойства).

В качестве примера униполярного упорядочивания может быть приведена шкала оценивания качеств внимания: «весьма устойчивое /устойчивое / лабильное / рассеянное». Примером оценивания по биполярному принципу может служить идентификация выраженности свойств между полярными антонимическими характеристиками свойств личностных проявлений:

1) уравновешенный… нестабильный;

2) общительный… замкнутый;

3) подвижный… медлительный.

Порядковые шкалы относятся к числу распространенных в психологической диагностике. В качестве одного из практических приемов оценивания результатов испытуемого по порядковой шкале можно привести модификацию теста «Прогрессивные матрицы Равена», в котором каждый ответ включает три варианта, последовательно приближающихся к правильному. Вариантом применения порядковой шкалы может быть закрытый дифференцированный ответ на пункт опросника:

Вход
Поиск по сайту
Ищем:
Календарь