Книга Психодиагностика. Конспект лекций, страница 18 – Алексей Лучинин

Авторы: А Б В Г Д Е Ж З И Й К Л М Н О П Р С Т У Ф Х Ч Ш Ы Э Ю Я
Книги: А Б В Г Д Е Ж З И Й К Л М Н О П Р С Т У Ф Х Ц Ч Ш Щ Ы Э Ю Я
Бесплатная онлайн библиотека LoveRead.in

Онлайн книга «Психодиагностика. Конспект лекций»

📃 Cтраница 18

Представления испытуемых и пользователей психодиагностической информацией об очевидной валидности в немалой степени определяются названием методики, поскольку эта часть сведений о тесте наиболее доступна неспециалистам. Для предупреждения неадекватных мнений о методике следует избегать помещения на бланках, опросных листах, тестовых тетрадях туманных, необоснованно общих названий, которые могут быть неправильно истолкованы (например, «Тест личности», «Тест умственных способностей», «Комплексная батарея оценки достижений» и т. д.). Адекватность очевидной валидности повышается путем введения в инструкцию краткой характеристики целей исследования.

Очевидная валидность существенно улучшает применение понятных формулировок и терминов, а также заданий, по содержанию являющихся наиболее естественными с учетом возрастной, половой, профессиональной специфики испытуемых. Очевидная валидность иногда носит название внешней (face validity) или доверительной (faith validity) валидности.

ЛЕКЦИЯ № 13. Критерий валидности
1. Определение. Основное психометрическое неравенство

Соответствие теста измеряемому психическому свойству называется валидностью теста. Валидность является важнейшим психометрическим свойством теста. Если высокая надежность говорит о том, что тест действительно что-то измеряет, то высокая валидность указывает на то, что тест измеряет именно то, что мы хотим измерить. Конечно, на валидность теста также негативно влияют случайные факторы. Поэтому в психометрике принято следующее основное психометрическое неравенство:


Валидность ≤ Надежность,


что означает, что валидность не может превышать надежность теста.

Но в отличие от надежности, помимо случайных факторов, на валидность теста влияют систематические факторы. Они привносят систематические искажения в результаты. Эти факторы есть другие психические свойства, которые мешают проявиться в результатах теста тому свойству, на измерение которого направлен тест.

Например, мы хотим измерить потенциал обучаемости (важнейший компонент общих интеллектуальных способностей человека). Если мы даем испытуемому тест с жестким ограничением времени исполнения и отсутствием возможности вернуться и исправить допущенную ошибку, то очевидно, что искомое психическое свойство оказывается смешанным в тесте с ложным психическим свойством – стрессоустойчивостью: испытуемые с высокими показателями стрессоустойчивости будут лучше выполнять тест. В этом проявится эффект систематического искажения.

В современной психометрике разработаны десятки разнообразных теоретических и экспериментальных методов проверки валидности тестов. Основным элементом практически всех этих методов является так называемый критерий. Критерий валидности – это не зависимый от теста, внешний по отношению к тесту источник информации об измеряемом свойстве. Мы не можем судить о валидности теста до тех пор, пока не сравним его результаты с источником истинной (или заведомо более валидной) информации об измеряемом свойстве – с критерием.

2. Типы критериев валидности

В научных исследованиях преобладают специальные лабораторные критерии. Например, конструируется компактный тест-опросник на тревожность. А в качестве критерия валидности для него используется специальный трудоемкий объективный лабораторный эксперимент, в котором воспроизводится реальная ситуация тревожности (испытуемым-добровольцам угрожают за ошибочные действия ударами тока и т. п.).

На практике очень часто в качестве критерия валидности используются прагматические критерии – показатели эффективности той деятельности, ради прогнозирования которой предпринимается тестирование.

Очень часто в качестве критерия валидности используется экспертная оценка. Например, мы хотим убедиться, что короткий тест на измерение уровня дисциплинированности валиден. Для этого проводится опрос учителей об уровне дисциплинированности хорошо известных им учеников. После этого сравниваются результаты теста и экспертный рейтинг учеников по дисциплинированности.

Остановимся подробнее на этом последнем примере. Здесь мы имеем один из самых простых и популярных методов эмпирического (статистического) измерения валидности. Это метод известных групп. К участию в психометрическом эксперименте по проверке валидности теста приглашаются испытуемые, про которых известно, к какой группе по критерию они относятся. В случае с тестом дисциплинированности подбираются ученики, заведомо дисциплинированные по данным экспертной оценки учителей (высокая группа по критерию) и заведомо недисциплинированные (низкая группа по критерию). Ученики со средними показателями по критерию в тестировании не участвуют.

После проведения теста производится расчет, например, простейшей корреляции между тестом и критерием (табл. 1).

Таблица 1

Расчет простейшей корреляции между тестом и критерием

Иллюстрация к книге — Психодиагностика. Конспект лекций [i_002.jpg]

Элемент «a» в этой таблице – это число испытуемых, попавших в высокую группу по тесту и по критерию, элемент «b» – число испытуемых, попавших в высокую группу по тесту, но в низкую группу по критерию и т. д.

Очевидно, что при полной валидности теста элементы «b» и «с» таблицы должны быть равны нулю, т. е. тест не должен давать ошибок (говорить о том, что ученик низкодисциплинированный, когда учителя говорят о том, что ученик высокодисциплинированный – случай «с»).

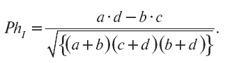
3. Математическое выражение критерия валидности (коэффициент Гилфорда)

Меру совпадения (корреляции) между крайними группами по тесту и по критерию оценивают с помощью самого простого Фи-коэффициента Гилфорда:

Иллюстрация к книге — Психодиагностика. Конспект лекций [i_003.jpg]

При численности протестированной группы в 30 человек (это минимальная выборка для проверки валидности) статистически значимую связь теста с критерием мы можем констатировать – Ph1 ≥ 0,36. Хотя это и очень невысокая валидность, но все же тест в данном случае дает значимо лучшие результаты, чем случайное гадание.

Однако метод известных групп обладает серьезным недостатком. Он не всегда позволяет использовать тест для прогноза. Дело в том, что при формировании известных групп оценивается поведение, которое происходило в прошлом, а мы хотим сделать тест для прогноза поведения, которое будет происходить в будущем. Многие тесты, используемые в образовательной психодиагностике, обладают указанным недостатком. Они проходят в лучшем случае проверку по методике известных групп и не обладают прогностической валидностью (или эта валидность строго экспериментально не доказана).

4. Основные схемы валидизации психодиагностических методик

Решение проблемы прогностической валидности под силу только крупным научно-методическим центрам. Ведь к психометрическому исследованию по проверке прогностической валидности надо привлекать на порядок больше испытуемых – не 30, а, как минимум, 300, так как неизвестно, кто из этих 300 попадет в крайние группы.

Вход
Поиск по сайту
Ищем:
Календарь