Книга Психодиагностика. Конспект лекций, страница 19 – Алексей Лучинин

Авторы: А Б В Г Д Е Ж З И Й К Л М Н О П Р С Т У Ф Х Ч Ш Ы Э Ю Я
Книги: А Б В Г Д Е Ж З И Й К Л М Н О П Р С Т У Ф Х Ц Ч Ш Щ Ы Э Ю Я
Бесплатная онлайн библиотека LoveRead.in

Онлайн книга «Психодиагностика. Конспект лекций»

📃 Cтраница 19

Например, мы хотим использовать тест для прогноза готовности школьников для обучения в вузе. Это типичная прогностическая психодиагностическая задача. Кто-то должен взяться за нелегкую многолетнюю программу проверки прогностического потенциала этого теста. Нужно протестировать 300–500 школьников, а затем подождать, кто из них поступит в вуз и будет успешно там учиться. После двух-трехлетнего интервала можно сформировать критериальные группы и подсчитать корреляцию с прежними тестовыми показателями этих бывших школьников. Только после реализации такой схемы психометрического эксперимента можно утверждать, что тест прошел проверку на прогностическую валидность. Без этого мы исходим только из доверия к научной интуиции разработчика теста и не имеем независимых доказательств того, что тест можно использовать для прогноза.

Различение обычной дешевой схемы валидизации теста (по известным группам) и дорогой прогностической схемы валидизации теста – важнейший элемент психодиагностической грамотности не только для психологов, но и для педагогов, как, впрочем, и для любых заказчиков психодиагностической информации.

ЛЕКЦИЯ № 14. Стандартизация тестов
1. Тестовые нормы

Что, несомненно, должен знать и уметь делать каждый грамотный пользователь теста, так это понимать, что такое тестовые нормы и как ими пользоваться.

Первоначальный суммарный балл, подсчитанный с помощью ключа, не является показателем, который можно диагностически интерпретировать. Его называют в тестологии «сырым» тестовым баллом. Применение тестовых норм в профессионально организованной психодиагностике основывается на переводе тестовых баллов из «сырой» шкалы в стандартную. Эта процедура называется стандартизацией тестового балла.

Допустим, мы провели тест из 20 заданий, и испытуемый дал 12 правильных ответов. Можно ли при этом сказать, что способность у испытуемого выражена лучше или хуже, чем в среднем? Нет. Для такого вывода нужно сравнить балл 12 со средним баллом по представительной выборке испытуемых.

Выборка, на которой определяются статистические тестовые нормы, называется выборкой стандартизации. Ее численность, как правило, не меньше 200 человек. Столько должны принять участие в психометрическом эксперименте по определению тестовых норм – в эксперименте по стандартизации теста.

2. Корреляция качественных признаков

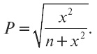
Корреляция качественных признаков – метод анализа связи переменных, измеряемых в порядковых шкалах и шкалах наименований (см. шкалы измерительные). Наиболее часто такой корреляционный анализ проводят с помощью коэффициентов ранговой корреляции, используемых в случаях, когда обе переменные измеряются в шкалах порядка или легко могут быть преобразованы в ранги. При измерении сравниваемых переменных в шкалах наименований широко применяются коэффициенты сопряженности, в которых в качестве промежуточной расчетной величины используется критерий согласия Пирсона (см. критерий X2). Наиболее часто в таких расчетах пользуются коэффициентом сопряженности Пирсона:

Иллюстрация к книге — Психодиагностика. Конспект лекций [i_004.jpg]

Значение P всегда положительно и измеряется от нуля до единицы. Особенностью коэффициента сопряженности Пирсона является то, что максимальное его значение всегда меньше +1 и в значительной степени зависит от количества наблюдений (размера таблицы). В случае квадратной таблицы (k × k):

Иллюстрация к книге — Психодиагностика. Конспект лекций [i_005.jpg]

Так, в таблице размером (5 × 5) Pmax = 0,894; в таблице (10 × 10) Рmax = 0,949. Поэтому окончательной формой выражения связи между переменными с помощью коэффициента Пирсона является его отношение к величине Рmax для данного случая (Р / Рmax).

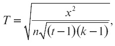
При расчете сопряженности находит применение также коэффициент Чупрова:

Иллюстрация к книге — Психодиагностика. Конспект лекций [i_006.jpg]

где t – число столбцов таблицы;

k – число строк таблицы.

В психологической диагностике описанные коэффициенты используются относительно редко.

3. Ранговая корреляция

Ранговая корреляция – метод корреляционного анализа, отражающий отношения переменных, упорядоченных по возрастанию их значения. Наиболее часто ранговая корреляция применяется для анализа связи между признаками, измеряемыми в порядковых шкалах (см. шкалы измерительные), а также как один из методов определения корреляции качественных признаков. Достоинством коэффициентов ранговой корреляции является возможность их использования независимо от характера распределения коррелирующих признаков.

В практике наиболее часто применяются такие ранговые меры связи, как коэффициенты ранговой корреляции Спирмена и Кендалла. Первым этапом расчета коэффициентов ранговой корреляции является ранжирование рядов переменных (табл. 2). Процедура ранжирования начинается с расположения переменных по возрастанию их значений. Разным значениям присваиваются ранги, обозначаемые натуральными числами. Если встречается несколько равных по значению переменных, им присваивается усредненный ранг.

Таблица 2

Ранжирование распределения показателей теста (n = 18)

Иллюстрация к книге — Психодиагностика. Конспект лекций [i_007.jpg]

В таблице 2 приведены данные для расчета коэффициентов ранговой корреляции. Во второй графе представлены ранжированные показатели по первому из сравниваемых распределений (оценка IQ, в третьей графе – соответствующие им данные теста зрительной памяти).

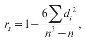
Коэффициент корреляции рангов Спирмена (rs) определяется из уравнения:

Иллюстрация к книге — Психодиагностика. Конспект лекций [i_008.jpg]

где di – разности между рангами каждой переменной из пар значений X и Y;

n – число сопоставляемых пар.

Используя данные таблицы 2, получаем:

Иллюстрация к книге — Психодиагностика. Конспект лекций [i_009.jpg]

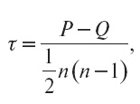
Коэффициент корреляции рангов Кендалла τ определяется следующей формулой:

Иллюстрация к книге — Психодиагностика. Конспект лекций [i_010.jpg]

где Р и Q рассчитываются по таблице 12.

Так, в восьмой графе подсчитывается, начиная с первого объекта X, сколько раз его ранг по Y меньше, чем ранг объектов, расположенных ниже. Соответственно, в девятой графе (S2) фиксируется, сколько раз ранг Y больше, чем ранги, стоящие ниже его в столбце X. Подставляя эти данные в формулу, получаем:

Вход
Поиск по сайту
Ищем:
Календарь