Книга Электроника для начинающих, страница 15 – Паоло Аливерти

Авторы: А Б В Г Д Е Ж З И Й К Л М Н О П Р С Т У Ф Х Ч Ш Ы Э Ю Я
Книги: А Б В Г Д Е Ж З И Й К Л М Н О П Р С Т У Ф Х Ц Ч Ш Щ Ы Э Ю Я
Бесплатная онлайн библиотека LoveRead.in

Онлайн книга «Электроника для начинающих»

📃 Cтраница 15

Теперь представим стопку с сотней фотографий выключенного светодиода и пролистаем ее: мы увидим выключенный светодиод. Что произойдет, если мы заменим один из снимков включенным светодиодом? Нам покажется слабое свечение. Заменим большее количество снимков: если бы мы имели пятьдесят снимков включенного светодиода и пятьдесят фото выключенного светодиода, тогда нам казалось бы, что светодиод горит наполовину.

Иллюстрация к книге — Электроника для начинающих [i_085.jpg]

Рис. 2.30. ШИМ-сигналом легко регулировать интенсивность света светодиода


Этот эффект в электронике получают с помощью сигнала, называемого ШИМ-сигнал (широтно-импульсная модуляция). Это электрический сигнал, который принимает либо значение 0 В, либо максимальное, то есть сигнал либо «включен», либо «выключен». Последовательность повторяется очень быстро в течение одной секунды, эффект не замечается человеческим глазом так же, как и в кино!

ШИМ-сигналы легко создать при помощи микроконтроллеров или с помощью интегральных схем.

Конденсаторы

Конденсаторы – это компоненты, способные накапливать электрические заряды. Они изготовлены в форме «сэндвича», сделанного из двух слоев проводящего материала, пластин, вмещающих изолирующий слой (иногда это просто воздух), называемый диэлектриком. В этом элементе нет контакта между частями и, следовательно, через него не протекает ток! Так и происходит в рабочем режиме, при постоянном токе. При использовании транзисторов либо при переменном токе конденсаторы ведут себя как специальные резисторы. На пластинах, из-за действия приложенных токов и напряжений, накапливаются заряды, положительные на одной стороне и отрицательные на противоположной. «Странное» поведение обусловлено изменением зарядов на пластинах. Способность удерживать заряд на пластинах называется емкость и выражается в фарадах (Ф), в честь английского физика Майкла Фарадея, жившего в начале XIX века. Емкость конденсаторов имеет очень широкий диапазон значений, начиная от тысяч микрофарад (мкФ) в конденсаторах, используемых в крупных источниках питания или усилителях, до пикофарад (пФ) в компонентах, используемых для радио и компьютеров. Конденсатор можно сравнить со стаканом, способным накапливать небольшое количество воды. На самом деле конденсатор больше похож на стакан с небольшим отверстием, через которое вода постепенно вытекает из стакана. Отверстие представляет собой потери заряда, которые неизбежно присутствуют в элементе.

Иллюстрация к книге — Электроника для начинающих [i_086.jpg]

Рис. 2.31. Изображение структуры конденсатора, в котором видны пластины и диэлектрик


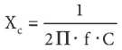
Если мы подадим переменный ток на конденсатор, он будет вести себя как резистор: с увеличением частоты его сопротивление будет уменьшаться все больше и больше, пока не станет почти нулевым. Правильный термин, однако, это не сопротивление, а реактанс (реактивное сопротивление), который по-прежнему выражается в омах. Формула для определения реактивного сопротивления конденсатора при определенной частоте:


Иллюстрация к книге — Электроника для начинающих [i_087.jpg]

В формуле необходимо указать частоту колебаний тока в герцах, а значение емкости конденсатора в фарадах; постоянная Пи равна 3,14.

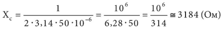
Давайте посмотрим, сколько составит реактивное сопротивление для 1 мкФ (10−6) при 50 Гц.


Иллюстрация к книге — Электроника для начинающих [i_088.jpg]

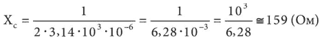
При частоте 1 кГц (103):


Иллюстрация к книге — Электроника для начинающих [i_089.jpg]

При частоте 100 кГц (105):


Иллюстрация к книге — Электроника для начинающих [i_090.jpg]
Различение конденсаторов

Конденсаторы изготавливают с использованием различных технологий, которые отличаются друг от друга типом используемого материала для диэлектрика: это может быть керамика, пластик, бумага, специальные жидкости и металлы. Некоторые конденсаторы имеют полярность, которую необходимо соблюдать, чтобы не повредить компонент. На корпусе написана полезная информация для соблюдения значений, максимального рабочего напряжения, а также для определения полярности. Важно соблюдать максимальное рабочее напряжение, в противном случае вы рискуете повредить компоненты, продырявив диэлектрик. Гораздо сложнее определить значение конденсатора. Конденсаторы из различных материалов имеют разную форму, внешний вид и требования к эксплуатации. По сравнению с резисторами конденсаторы имеют гораздо более высокие погрешности (около 10 % и больше), и их реальное значение может сильно отличаться от номинального значения.

Самыми простыми для использования являются электролитические конденсаторы, которые содержат в себе диэлектрик, смоченный в жидком растворе. Они имеют цилиндрическую форму; их напряжение, мощность и полярность печатаются на упаковке. Этот тип конденсаторов обладает довольно широким диапазоном значений емкости от нескольких долей микрофарада до нескольких тысяч микрофарад.

Иллюстрация к книге — Электроника для начинающих [i_091.jpg]

Рис. 2.32. Разные типы конденсаторов: керамический дисковый, электролитический, лавсановый и танталовый


Символ конденсатора напоминает две пластины с диэлектриком между ними. Если конденсатор имеет полярность, на его символе рядом с пластиной ставится знак «плюс».

Керамические дисковые конденсаторы очень распространены, они имеют небольшие размеры, не обладают полярностью и их значения колеблются от нескольких пикофарад (пФ) до сотен тысяч пикофарад. На их корпусе напечатан код, указывающий мощность и погрешность. Мы можем найти надпись 102k, что указывает на емкость, равную «10», к которой мы должны добавить два нуля, то есть 1000 пФ, так как емкость всегда выражается в пикофарадах. Буква к указывает на то, что погрешность составляет 10 %.


Таблица 2.3. Погрешность лавсановых конденсаторов

Иллюстрация к книге — Электроника для начинающих [i_092.jpg]

Запятые могут быть заменены точкой, буквой «Р» или буквой, используемой для указания погрешности. Чтобы устранить все сомнения, стоит вооружиться мультиметром, способным также измерять емкость конденсаторов!

Вход
Поиск по сайту
Ищем:
Календарь