Онлайн книга «Теоретический минимум по Computer Science. Все что нужно программисту и разработчику»
|
• записывайте состояния и инструкции внутри прямоугольников; • записывайте принятие решений, когда процесс может пойти различными путями, внутри ромбов; • никогда не объединяйте инструкции с принятием решений; • соединяйте стрелкой каждый последующий шаг с предыдущим; • отмечайте начало и конец процесса. ![]() Рис. 1.1. Редакционный процесс в «Википедии» [4] Рассмотрим составление блок-схемы на примере задачи поиска наибольшего из трех чисел (рис. 1.2). ![]() Рис. 1.2. Поиск наибольшего из трех чисел Псевдокод
Так же, как блок-схемы, псевдокод выражает вычислительные процессы. Псевдокод — это код, удобный для нашего восприятия, но непонятный для машины. Следующий пример передает тот же процесс, что был изображен на рис. 1.2. Задержитесь на минуту и проверьте, как он работает с разными значениями A, B и C [5].
Заметили, что этот пример полностью игнорирует синтаксические правила языков программирования? В псевдокод можно вставлять даже разговорные фразы! Когда вы пишете псевдокод, дайте своей творческой мысли течь свободно — как при составлении блок-схем (рис. 1.3
![]() Рис. 1.3. Псевдокод в реальной жизни [6] Математические модели
Модель — это набор идей, которые описывают задачу и ее свойства. Модель помогает рассуждать и принимать решения относительно задачи. Создание моделей настолько важно, что их преподают в школе — ведь в математике нужно иметь представление, как последовательно решать уравнения и совершать другие операции с числами и переменными. Математические модели имеют большое преимущество: их можно приспособить для компьютеров при помощи четко сформулированных математических методов. Если ваша модель основана на графах, используйте теорию графов. Если она задействует уравнения, используйте алгебру. Встаньте на плечи гигантов, которые создали эти инструменты, и вы достигнете цели. Давайте посмотрим, как они работают, на примере типичной задачи из средней школы. Загон для скота
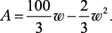
Начнем с того, что именно требуется определить; w и l — это размеры пастбища; w × l — его площадь. Сделать площадь максимальной означает использовать всю проволоку, потому мы устанавливаем связь между w и l, с одной стороны, и 100 мотками, с другой: ![]() l w A = w × l 100 = 2w + 3l Подберем w и l, при которых площадь A будет максимальной. Подставив l из второго уравнения
![]() Да это же квадратное уравнение! Его максимум легко найти при помощи формулы корней квадратного уравнения, которую проходят в средней школе. Квадратные уравнения так же важны для программиста, как мультиварка — для повара. Они экономят время. Квадратные уравнения помогают быстрее решать множество задач, а это для вас самое главное. Повар знает свои инструменты, вы должны знать свои. Математическое моделирование вам просто необходимо. А еще вам потребуется логика. 1.2. Логика
Программистам приходится иметь дело с логическими задачами так часто, что у них от этого ум за разум заходит. Однако на самом деле многие из них логику не изучали и пользуются ею бессознательно. Освоив формальную логику, мы сможем осознанно использовать ее для решения задач. |
![Иллюстрация к книге — Теоретический минимум по Computer Science. Все что нужно программисту и разработчику [i_008.jpg] Иллюстрация к книге — Теоретический минимум по Computer Science. Все что нужно программисту и разработчику [i_008.jpg]](img/book_covers/092/92372/i_008.jpg)
![Иллюстрация к книге — Теоретический минимум по Computer Science. Все что нужно программисту и разработчику [i_009.jpg] Иллюстрация к книге — Теоретический минимум по Computer Science. Все что нужно программисту и разработчику [i_009.jpg]](img/book_covers/092/92372/i_009.jpg)
![Иллюстрация к книге — Теоретический минимум по Computer Science. Все что нужно программисту и разработчику [i_010.jpg] Иллюстрация к книге — Теоретический минимум по Computer Science. Все что нужно программисту и разработчику [i_010.jpg]](img/book_covers/092/92372/i_010.jpg)
![Иллюстрация к книге — Теоретический минимум по Computer Science. Все что нужно программисту и разработчику [i_011.jpg] Иллюстрация к книге — Теоретический минимум по Computer Science. Все что нужно программисту и разработчику [i_011.jpg]](img/book_covers/092/92372/i_011.jpg)
![Иллюстрация к книге — Теоретический минимум по Computer Science. Все что нужно программисту и разработчику [i_012.jpg] Иллюстрация к книге — Теоретический минимум по Computer Science. Все что нужно программисту и разработчику [i_012.jpg]](img/book_covers/092/92372/i_012.jpg)
![Иллюстрация к книге — Теоретический минимум по Computer Science. Все что нужно программисту и разработчику [i_013.jpg] Иллюстрация к книге — Теоретический минимум по Computer Science. Все что нужно программисту и разработчику [i_013.jpg]](img/book_covers/092/92372/i_013.jpg)
![Иллюстрация к книге — Теоретический минимум по Computer Science. Все что нужно программисту и разработчику [i_014.jpg] Иллюстрация к книге — Теоретический минимум по Computer Science. Все что нужно программисту и разработчику [i_014.jpg]](img/book_covers/092/92372/i_014.jpg)
![Иллюстрация к книге — Теоретический минимум по Computer Science. Все что нужно программисту и разработчику [i_015.jpg] Иллюстрация к книге — Теоретический минимум по Computer Science. Все что нужно программисту и разработчику [i_015.jpg]](img/book_covers/092/92372/i_015.jpg)