Книга Теоретический минимум по Computer Science. Все что нужно программисту и разработчику, страница 9 – Владстон Феррейра Фило

Авторы: А Б В Г Д Е Ж З И Й К Л М Н О П Р С Т У Ф Х Ч Ш Ы Э Ю Я
Книги: А Б В Г Д Е Ж З И Й К Л М Н О П Р С Т У Ф Х Ц Ч Ш Щ Ы Э Ю Я
Бесплатная онлайн библиотека LoveRead.in

Онлайн книга «Теоретический минимум по Computer Science. Все что нужно программисту и разработчику»

📃 Cтраница 9
Независимые (совместные) события

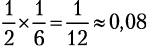
Если вы одновременно бросаете монету и кубик, то шанс получить «орел» и 6 равняются

Иллюстрация к книге — Теоретический минимум по Computer Science. Все что нужно программисту и разработчику [i_082.jpg]
, или 8 %. Когда исход одного события не влияет на исход другого, их называют независимыми. Вероятность получить сочетание конкретных результатов двух независимых событий равна произведению вероятностей каждого из них.

Резервное хранение

Иллюстрация к книге — Теоретический минимум по Computer Science. Все что нужно программисту и разработчику [i_083.jpg]
Вам нужно организовать хранение данных в течение года. Один диск имеет вероятность сбоя 1 на 1 млрд. Другой стоит 20 % от цены первого, но в его случае вероятность сбоя — 1 на 2000. Какой диск вам следует купить?

Если вы решите использовать три дешевых диска, то потеряете данные, только если все три выйдут из строя. Вероятность того, что это произойдет, равняется

Иллюстрация к книге — Теоретический минимум по Computer Science. Все что нужно программисту и разработчику [i_084.jpg]
. Риск потери данных оказывается гораздо ниже, чем в случае с дорогим диском, а заплатите вы всего 60 % от его стоимости.

Несовместные события

Бросок кубика не может одновременно дать 4 и нечетное число. Вероятность получить либо 4, либо нечетное число, следовательно, равняется

Иллюстрация к книге — Теоретический минимум по Computer Science. Все что нужно программисту и разработчику [i_085.jpg]
. Когда два события не могут произойти одновременно, они несовместные, или взаимоисключающие. Если вам нужно подсчитать вероятность любого из нескольких несовместных событий, просто просуммируйте их индивидуальные вероятности.

Выбор подписки

Иллюстрация к книге — Теоретический минимум по Computer Science. Все что нужно программисту и разработчику [i_086.jpg]
Ваш интернет-сервис предлагает три тарифа: бесплатный, основной и профессиональный. Вы знаете, что случайный посетитель выберет бесплатный тариф с вероятностью 70 %, основной — с вероятностью 20 % и профессиональный — с вероятностью 10 %. Каковы шансы, что человек подпишется на платный тариф?

Перечисленные события несовместны: нельзя выбрать и основной, и профессиональный тарифы одновременно. Вероятность, что пользователь подпишется на платный тариф, равняется 0,2 + 0,1 = 0,3.

Взаимодополняющие события

Выпавшее на кубике количество очков не может одновременно оказаться кратным трем (3, 6) и не делящимся на три, но оно определенно будет относиться к одной из этих категорий чисел. Вероятность получить результат, кратный трем, равняется

Иллюстрация к книге — Теоретический минимум по Computer Science. Все что нужно программисту и разработчику [i_087.jpg]
, следовательно, вероятность получить число, которое не делится на три, равняется
Иллюстрация к книге — Теоретический минимум по Computer Science. Все что нужно программисту и разработчику [i_088.jpg]
. Когда два несовместных события охватывают все возможные варианты, их называют взаимодополняющими, или соподчиненными. Сумма вероятностей взаимодополняющих событий равна 100 %.

Игра «Защита башни»

Иллюстрация к книге — Теоретический минимум по Computer Science. Все что нужно программисту и разработчику [i_089.jpg]
Ваш замок защищен пятью башнями. Каждая имеет 20 %-ную вероятность поразить захватчика, прежде чем он достигнет ворот. Каковы шансы остановить его?

Вероятность поразить врага равна 0,2 + 0,2 + 0,2 + 0,2 + 0,2 = 1, или 100 %, верно? Неверно! Никогда не суммируйте вероятности независимых событий, не совершайте распространенной ошибки. Вместо этого используйте взаимодополняющие события дважды следующим образом.

• 20 %-ный шанс поразить врага — взаимодополняющий для 80 %-го шанса промахнуться. Вероятность того, что не попадут все башни, составляет 0,85 ≈ 0,33.

• Событие «все башни промахнулись» — взаимодополняющее для события «по крайней мере одна башня попала». Значит, вероятность остановить врага равна 1–0,33 = 0,67.

«Заблуждение игрока»

Если вы подбросили монету 10 раз и получили 10 «орлов», увеличилась ли от этого вероятность, что на 11-м броске выпадет «решка»? Или будет ли вероятность выигрыша в лотерею комбинации из шести последовательных чисел от 1 до 6 ниже, чем любой другой комбинации?

Не становитесь жертвой «заблуждения игрока»! Уже случившееся никак не влияет на результат независимого события. Никак. Никогда. В по-настоящему случайно разыгрываемой лотерее вероятность выпадения любого конкретного числа точно такая же, как любого другого. Нет никакой закономерности, согласно которой числа, редко выпадавшие в прошлом, должны чаще выпадать в будущем.

Более сложные вероятности

Можно было бы и дальше рассказывать о вероятности, но рамки раздела не позволяют этого. Всегда, занимаясь решением сложных задач, подыскивайте дополнительные инструменты. Вот пример.

И еще одно формирование команды

Иллюстрация к книге — Теоретический минимум по Computer Science. Все что нужно программисту и разработчику [i_090.jpg]
23 человека хотят в вашу команду. В отношении каждого вы подбрасываете монету и принимаете его, только если выпадает «орел». Каковы шансы, что вы возьмете семь человек или меньше?

Да, это трудно посчитать. Если вы будете долго искать в Интернете, то в конечном счете придете к биномиальному распределению. Вы можете визуализировать его в Wolfram Alpha [21], набрав: B(23,l/2) <= 7.

Вход
Поиск по сайту
Ищем:
Календарь