Книга Миллион за теорему!, страница 80 – Елена Липатова

Авторы: А Б В Г Д Е Ж З И Й К Л М Н О П Р С Т У Ф Х Ч Ш Ы Э Ю Я
Книги: А Б В Г Д Е Ж З И Й К Л М Н О П Р С Т У Ф Х Ц Ч Ш Щ Ы Э Ю Я
Бесплатная онлайн библиотека LoveRead.in

Онлайн книга «Миллион за теорему!»

📃 Cтраница 80

Блондинистый Эрик – участник под номером два – не торопится. Неужели ему всё равно, первый он или последний? А вот Карл втянулся в гонку. Он явно спешит, переворачивает доску и на ходу обводит ответ.

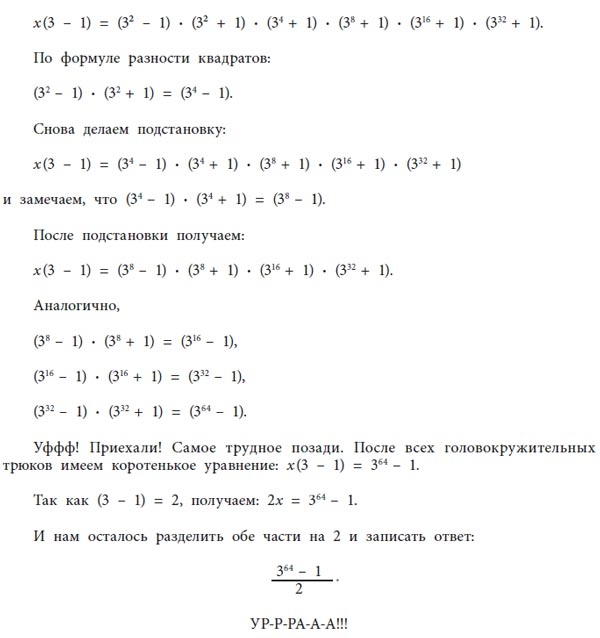
Десятое задание – последнее перед перерывом. Обычный арифметический пример со степенями, довольно длинный и какой-то… неприятный:

(3 + 1) · (3² + 1) · (3⁴ + 1) · (3⁸ + 1) · (3¹⁶ + 1) · (3³² + 1).

Ммм… Три в тридцать второй степени? Эт-то ещё что за фокусы?.. Правда, времени на решение отведено порядочно: 35 минут!!! Но если вычислять…

Она перечитала задание. А… понятно. Вычисление и не требуется, слава богу! Нужно всего лишь упростить это неприятное выражение, привести его в удобоваримый вид.

…Песок равнодушно перетекал из верхней колбы в нижнюю, под столом валялась гора исписанных листочков, один карандаш сломался, а тройки в кошмарных степенях не упрощались. Если бы вместо плюсов в скобках были минусы… Не (3² + 1), а (3² – 1). Тогда можно было бы воспользоваться формулой разности квадратов.

…Ну да, минусы! А что, если…

За соседними досками тишина.

Иллюстрация к книге — Миллион за теорему! [i_054.jpg]

Делаем подстановку и получаем:

Иллюстрация к книге — Миллион за теорему! [i_055.jpg]

Бекки ещё раз просмотрела решение. А вдруг никто не поймёт, как она получила эту дробь?..

Иллюстрация к книге — Миллион за теорему! [i_056.jpg]

Покосившись на песочные часы, она заскрипела мелом по доске. Так чувствует себя поэт, написавший новое стихотворение: ему обязательно нужно кому-то его показать.

Не для того, чтобы оценили и похвалили. А для чего? Об этом она не думала. Ей просто хотелось поделиться своей находкой – пусть все смотрят и радуются!

Почему тихо в зале? Неужели ошиблась?..

Первым захлопал Стив, а за ним те, кто понял, что только что произошло. С опозданием триумфально вступили флейты. На сцену полетели цветы, а в прорези окна сбоку от сцены показалась сначала гирлянда воздушных шаров, а потом чьи-то ноги в рыжих ботинках. На секунду мелькнуло перепуганное лицо второкурсника Стаса Гудмана…

Шаров было много, они рвались в небо, и только верёвки удерживали их на уровне окна.

– Опускайте! – заорал редактор «Вындеркинда». – Опускайте скорее! А то я сейчас…

А вокруг шум стоял адский, и вместо «опускайте» помощники услышали «отпускайте»…

Они и отпустили.

Разноцветная гирлянда взмыла в воздух, подняв незадачливого редактора выше деревьев. К счастью, Гудман не поддался панике. Одной рукой он сумел отцепить несколько шаров и благополучно приземлился в десяти метрах от театра.

– Н-да, не рассчитали… Ушибка вышла, – посожалел автор проекта с шарами.

– Ушибка? Вот я тебе как залеплю – такая «ушибка» получится! – Стас Гудман потёр ушибленное колено и поморщился. – Тоже мне, физики!.. Подъёмную силу не могли рассчитать!

* * *

Ещё десять минут Бекки растерянно стояла одна на сцене. Огромные часы отсчитывали секунды, отделявшие её от победы. Если никто из троих не сообразит, турнир закончится, едва успев начаться…

В партере и ложах тихо, зато на галёрке публика яростно хлопала. Вилли отбил себе все ладони, хотя запись на доске казалась ему сплошной абракадаброй.

– Вот это девка!.. – бормотал он, толкая в бок господина в учительском сюртуке. – Всех обскакала, я ж говорил…

Кажется, господин в сюртуке был единственным на галёрке, кто смог понять и оценить запись на доске. Не слушая Вилли, он торопливо переписывал решение, бормоча что-то вроде «ну и ну!» и «тэк-тэк-тэк…».

Больше всех радовались газетчики, заранее придумывая сенсационные заголовки для экстренных выпусков.

Стив сиял ярче люстры. Его сосед, профессор Берринг, нервно потирал руки.

– Это же тот самый парень… – бормотал он. – Ну который… «формулу Хеопса»…

Глава 2
Из ректорской ложи

Из ректорской ложи было отлично видно всё происходящее на сцене. И всё-таки хозяин ложи и его гость не отрывались от театральных биноклей.

Когда участник под номером десять дважды опередил Карла Ригана, ректор взволнованно вытер лоб платком.

– Этот парень… Он начал заниматься математикой всего полтора года назад! Даже если он гений, как-то не верится…

Гость откинулся на спинку кресла. Обивка на кресле была серой, и костюм на госте был серым. Серое на сером слились, и на секунду хозяину показалось, что сидящий рядом человек растворился в сумеречном воздухе.

– Между прочим, члены Попечительского совета выразили недовольство, – нейтрально сказал гость и замолчал.

– Вы имеете в виду сэра Ригана?

– Не только. Многим меценатам кажется странным, что… ммм… наша математическая школа оказалась не на высоте. Эти многие… выразили сомнение в разумности дальнейших вложений. Что касается родителей… Многие – не только сэр Риган! – недоумевают, за что они платят такие деньги. Не лучше ли отправить высокородных детишек в тьмутаракань – к этому вашему учителю в четырёхлетку?

Ректор поморщился:

– Не нужно сарказма, Ричард. Ну вот, слышите? На этот раз Карл первый.

…Когда на экране высветилось последнее, десятое задание, ректор нетерпеливо поднёс к глазам бинокль.

– Интересно, очень интересно, – пробормотал он. – Кажется, составители немного переборщили.

– Что, действительно сложное?

– Хм… Тут нужно подумать.

В соседней ложе зашелестели страницами.

– А если никто не решит? – осторожно спросил гость.

– Тогда участникам предложат новое задание. Хотя такой поворот… нежелателен.

Скрипнула доска под номером десять. Мальчишка что-то там сообразил, наверняка напутал. В ответе короткая дробь. Как он её получил? Так, сверху объяснение… Хм, остроумно. Очень остроумно!

– Ну как? Ошибся? – не выдержал гость. – Тогда всё в поряд…

И тут раздались первые хлопки.

– Не думаю, – ответил ректор. – Слышите? Этот парень действительно…

С опозданием зазвучал «Марш победителей», и гость не расслышал последнего слова.

Дождавшись тишины, он наклонился к собеседнику.

– Тем хуже. Допускаю, что парень очень способный, но как объяснить это инвесторам? Если всё пойдёт… не совсем правильно, газеты поднимут крик. Такое уже было, не мне вам рассказывать: заказные статьи, критика матшколы и администрации, карикатуры, памфлеты!.. Вы вложили в эту школу не только деньги, Луис! Это – ваше детище, ваша мечта! И вот из-за какой-то мелочи…

Вход
Поиск по сайту
Ищем:
Календарь