Книга Миллион за теорему!, страница 79 – Елена Липатова

Авторы: А Б В Г Д Е Ж З И Й К Л М Н О П Р С Т У Ф Х Ч Ш Ы Э Ю Я
Книги: А Б В Г Д Е Ж З И Й К Л М Н О П Р С Т У Ф Х Ц Ч Ш Щ Ы Э Ю Я
Бесплатная онлайн библиотека LoveRead.in

Онлайн книга «Миллион за теорему!»

📃 Cтраница 79

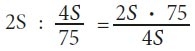
Чтобы найти среднюю скорость туда и обратно, нужно общее расстояние, 2S, поделить на общее время.

Бекки ухмыльнулась, схватила первый листок, быстро сложила:

Иллюстрация к книге — Миллион за теорему! [i_052.jpg]

поделила общее расстояние туда и обратно (2S) на то, что у неё получилось:

Иллюстрация к книге — Миллион за теорему! [i_053.jpg]

сократила в числителе и знаменателе S и записала мелом на доске ответ: 37,5 км. Подумала – и обвела ответ кружком.

Из верхней колбы в нижнюю просыпалась щепотка песчинок. Ура, времени у неё – полный сосуд!

Четыре следующих вопроса показались ерундовыми.

На шестом она зевнула, расслабилась и получила ответ в уме, без записи в черновике.

В дальнем конце сцены с грохотом перевернули доску. Всплеск аплодисментов! Из закутка ничего не видно, но Бекки и так знает, кто закончил первым. Конечно, Риган. Спокойно, спокойно! Не важно, кто первый. Главное – решить всё правильно в срок…


А ТЕМ ВРЕМЕНЕМ…


…в театре и за его пределами жизнь била ключом. Через минуту после начала турнира над сценой на большом экране высветились условия разминочных задач. По залу пронёсся шелест: профессора, репетиторы, руководители и родители нервно вытащили блокноты и занялись подсчётами.

Даже простые зрители на галёрке зашевелили губами, пытаясь обогнать финалистов. Вилли, заплативший огромную для него сумму за место в последнем ряду, снял очки-колёса и уставился на экран. Его сосед в учительском сюртуке пошарил в карманах в поисках карандаша.

– Что-то очень уж простое они спрашивают, – небрежно сказал соседу Вилли, пытаясь не выдать переполнявшую его гордость.

– Вы так думаете? – улыбнулся сосед. – Не спешите, милейший. Тут простого не задают.

Вокруг театра табором расположились безбилетные болельщики. На деревьях висели мальчишки с подзорными трубами, в толпе шныряли репетиторы, жадно ловившие любые слухи о происходящем в зале. Из рук в руки передавали листочки с условиями задач, ставшими достоянием публики.

Дон с Коротышом пришли на площадь загодя и успели занять лучшие места на скамейке под раскидистым дубом напротив театра. Вопросы разминки они получили от вооружённого морским биноклем шестиклассника Криса Раймонда Оденбаха, оседлавшего толстый сук, с которого отлично просматривался экран с заданиями. Коротыш лично выпросил у Дед-Владя бинокль, поклявшись на учебнике по геометрии в том, что младший брат даже пальцем не прикоснётся к дедовскому сокровищу.

– Ха! – не поверил Дон, прочитав первое задание. – Это ж даже мой Маркиз в уме сообразит: пятьдесят плюс тридцать равняется восьмидесяти, делим на два и получаем сорок. Что-то слишком просто… Так не бывает.

– Угу, – согласился Коротыш. – Ты это… мозгами пошевели.

* * *

Одна за другой переворачиваются доски. Сколько прошло времени? Минут десять, не больше. Можно не торопиться и ещё раз всё проверить, но не хочется оказаться в хвосте.

Справа от неё закончил разминку её ровесник, восьмиклассник из матшколы. Бекки услышала, как со скрипом перевернулась его доска. Сейчас раздастся «Марш победителей» Верди. Он уже звучал пять раз, ничего удивительного, разминка неслож…

Короткая пауза – и в зал полилась траурная мелодия «Реквиема» Моцарта. Вот так тоже бывает. Срезался на разминке! А ведь умный парень – и надо же!..

Она ещё раз просмотрела свои ответы и толкнула доску. Почти одновременно на сцене показался взъерошенный Тринадцатилетка и ещё трое парней постарше. Бекки покосилась на соседнюю доску. Так. Первый ответ про среднюю скорость у Вундеркинда верный: 37,5. Дальше – тоже как у неё, и следующий, и следующий…

Шестой ответ отличался запятой!

У неё получилось 30,05. А у Вундеркинда – 300,5. И у второго парня, и у тех двоих!.. Именно это задание она решала в уме. Идиотка! Нужно было проверить…

Парни на сцене тоже заметили несовпадение. Вундеркинд посмотрел на неё с ужасом, а те трое никак не отреагировали. Бекки опустила голову.

– Участник под номером семь! – объявил распорядитель.

Один из парней сделал шаг вперёд и заранее улыбнулся.

Дирижёр взмахнул палочкой.

А-а-а… – всхлипнула скрипка, одним звуком похоронив надежды всех четверых соперников.

А когда загремел «Марш победителей», Бекки не сразу сообразила, что играют в её честь. Потому что так не бывает, чтобы четверо споткнулись на одном месте, а один проскочил. Или бывает?

Карл Риган кивнул ей с дальнего конца сцены. Прошло пятнадцать минут, а их осталось шестеро. Если так и дальше пойдёт, то очень скоро Карл будет сражаться сам с собой.

– Разминка закончена, – объявил распорядитель. – Переходим к основному этапу.

* * *

После того как участники получили новые конверты и скрылись за досками, на экране высветилось условие первого задания. Это была чистая математика, и Бекки с облегчением нырнула в океан формул и абстракций. Голова была ясной, решение просматривалось на много шагов вперёд. Откуда-то пришла уверенность, а вместе с ней – нетерпеливая радость.

Проверять решение она не стала: обвела кружком ответ и толкнула доску. Почти одновременно, на несколько секунд позже, перевернулась доска участника под номером один. Они с Карлом Риганом стояли в противоположных концах сцены, а из оркестровой ямы неслись ликующие звуки «Марша победителей».

Какое счастье быть первой!

Гриффин приучил её к осторожности, хотя иногда скупо хвалил за интуицию. Интуиция – это необъяснимое чувство правоты. Внезапно открываются какие-то каналы, и решение приходит само, как продиктованное свыше. Интуиция составляет основу поэзии. А в математике главное – логика.

«Не полагайся на интуицию. Проверяй, объясняй и доказывай!» – любимые слова Гриффина.

И Бекки проверяла и доказывала. На это уходило время, и на семинарах она редко оказывалась первой. Зато сейчас её понесло! Интуиция, отпущенная на свободу, во весь голос надиктовывала ей кратчайшие ходы и неожиданные решения, а железная логика скрепляла находки доказательствами.

На второй вопрос они с Карлом ответили одновременно!

На четвёртом она опередила участника под номером один на десять секунд.

Пятое задание показалось ей несложным, и она уже готова была вынырнуть из-за доски с «красивым» решением. От ошибки удержала интуиция. Бекки почувствовала, что что-то не так, хотя и не могла объяснить, откуда пришло сомнение. И тут на помощь пришла логика. Поэт и математик заключили союз и дружно набросились на упрямое уравнение.

На седьмом задании срезались сразу двое.

Вход
Поиск по сайту
Ищем:
Календарь