Книга Вселенная в вопросах и ответах, страница 49 – Владимир Сурдин

Авторы: А Б В Г Д Е Ж З И Й К Л М Н О П Р С Т У Ф Х Ч Ш Ы Э Ю Я
Книги: А Б В Г Д Е Ж З И Й К Л М Н О П Р С Т У Ф Х Ц Ч Ш Щ Ы Э Ю Я
Бесплатная онлайн библиотека LoveRead.in

Онлайн книга «Вселенная в вопросах и ответах»

📃 Cтраница 49
3.28. Измеряем плотность планеты

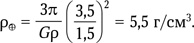
Как показано в задаче 3.21 «Объехать астероид», время оборота на низкой орбите

Иллюстрация к книге — Вселенная в вопросах и ответах [i_116.jpg]

Отсюда ρ = (3,5 час/Т)2 г/см3. Например, из того факта, что ИСЗ на низкой орбите оборачиваются за 1,5 часа, следует, что средняя плотность Земли

Иллюстрация к книге — Вселенная в вопросах и ответах [i_117.jpg]

Казалось бы, все просто. Нужно лишь определить орбитальный период. Но как космонавты смогут это сделать? Ведь планета под ними вращается, поэтому ее ориентиры не годятся. Закройте книгу и подумайте.

Иллюстрация к книге — Вселенная в вопросах и ответах [i_118.jpg]
3.29. БАК и черная дыра

Действительно, черная дыра, имея ничтожное сечение и практически не встречая сопротивления, будет падать к центру Земли почти свободно. А пройдя через него, она еще долго будет совершать затухающие колебания между диаметрально противоположными точками земной поверхности, пока не остановится вблизи центра планеты. За какое же время черная дыра впервые достигнет центра планеты?

Вспомним задачу 3.12 «К антиподам». Период обращения спутника на низкой околоземной орбите составляет

Иллюстрация к книге — Вселенная в вопросах и ответах [i_119.jpg]

Свободный полет к центру Земли длится от

Иллюстрация к книге — Вселенная в вопросах и ответах [i_120.jpg]
до
Иллюстрация к книге — Вселенная в вопросах и ответах [i_121.jpg]
в зависимости от степени концентрации ее вещества к центру. Следовательно, Т1 = 0,25 Р = 22,5 мин, а Т2 = 0,177 Р = 15,9 мин. Очевидно, для Земли это время составит около 20 минут. Именно столько будет падать черная дыра к ее центру, а отнюдь не мгновенно.

3.30. Земля в иллюминаторе

Если со стороны Луны мы видим практически полностью освещенный Солнцем диск Земли, значит, со стороны Земли в этот момент видна темная сторона Луны, иными словами — Луна близка к фазе новолуния. В декабре 1972 г. новолуние было в ночь с 5 на 6 декабря, а полнолуние наступило 20 декабря. Следовательно, это фото Земли было сделано при отлете от Земли к Луне. Дополнительно об этом свидетельствует внешний вид Земли: хорошо видна Антарктида с областью Южного полюса, т. е. наблюдатель был смещен к югу от экватора. Но так и должно быть, поскольку в декабре Солнце на эклиптике находится глубоко к югу от экватора, а Луна в новолуние расположена на небе рядом с Солнцем. Действительно, склонение Луны 6 декабря 1972 г. было −25,5°.

Нужно заметить, что момент старта к Луне выбирался не из желания получить фото «полной» Земли, а из совсем иных соображений. Через 4 дня после старта участники экспедиции прилунялись. В этот момент в точке прилунения должно было быть раннее утро, чтобы тени были достаточно длинными для удобства ориентации пилотов и поверхность Луны еще не успела бы сильно нагреться и не повредила астронавтов и посадочный модуль. Экспедиция «Аполлон-17» прилунилась в конце дня 11 декабря в восточной части лунного диска, где при фазе Луны в этот момент 0,38 Солнце взошло совсем недавно.

Иллюстрация к книге — Вселенная в вопросах и ответах [i_007.jpg]
4. В Солнечной системе
4.1. Восьмая или девятая?

В данном случае журналисты не ошиблись: часть орбиты Плутона вследствие ее большого эксцентриситета лежит внутри орбиты Нептуна, поэтому, двигаясь в области перигелия Плутона, «Пионер-10» действительно сначала пересек орбиту девятой планеты и только затем — восьмой. Любопытно, что как раз в те годы и сам Плутон был в этой же области: с 1979 по 1998 г. он был ближе к Солнцу, чем Нептун. Однако о встрече аппарата с планетой не могло быть речи: орбита Плутона слишком сильно наклонена к эклиптике. По этой причине понятие «пересечь орбиту» носит условный характер: имеется в виду, что пересечение траекторий состоялось бы, если бы они лежали в одной плоскости, например, в плоскости эклиптики.

Что касается судьбы «Пионера-10», то многие годы он передавал на Землю данные о магнитосфере Солнца, распределении яркости Млечного Пути, зодиакального света и т. п. Однако 6 августа 2000 г. он перестал отзываться, но в апреле 2001 г. связь была восстановлена. В последний раз сигнал от этого зонда был пойман 23 января 2003 г.; он шел к Земле 11 часов 20 минут. В 12 490 г. «Пионер-10» окажется вблизи Летящей звезды Барнарда, на расстоянии 1,8 пк от нас.

4.2. Сезон великих противостояний

Великими называют такие противостояния, в период которых Марс находится в районе перигелия своей орбиты, т. е. ближе всего к Солнцу и к практически круговой орбите Земли. Поскольку ориентация орбит в пространстве меняется чрезвычайно медленно, великие противостояния происходят приблизительно при одном и том же положении на своих орбитах Земли и Марса. С другой стороны, времена года на планете привязаны к ее положению на орбите. Вот почему великие противостояния Марса приходятся на один и тот же сезон года — приблизительно на 1 сентября.

4.3. Птолемей

Вероятно, Птолемей бы изумился и возмущенно сказал: «Где учился этот нерадивый художник? Я уже не спрашиваю, читал ли он мой великий астрономический трактат, но смотрел ли он когда-нибудь на небо? Каждый древнегреческий ребенок и даже каждый раб знает, что Меркурий и Венера всегда видны недалеко от Солнца. А на этом рисунке они удалились Зевс знает куда! Мы, наблюдая небесные светила с неподвижной Земли, никогда не видим Меркурий под углом более 28°, а Венеру — 47° от Солнца. Это их наибольшие элонгации. Но на этой картине они „убежали“ от Солнца более чем на четверть окружности! Это неслыханная профанация нашей великой древнегреческой науки!»

И мы согласны с Птолемеем. Две тысячи лет назад астрономия была одним из главных школьных предметов, а ныне с ней знакомы немногие. Но лишь этим немногим ведомо, как устроен наш мир на самом деле.

4.4. Светло ли на Плутоне?

Сначала определим, во сколько раз Солнце освещает поверхность Земли сильнее, чем полная Луна. Вычислив разность их видимых звездных величин (26,7m — 12,7m = 14m), найдем это отношение: 2,51214 ≈ 400 000. У планеты, удаленной от Солнца на R а. е., поток солнечного света ослаблен в R2 раз. Следовательно, Солнце будет освещать эту планету в 400 000/R2 ярче, чем полная Луна освещает Землю. Для Плутона (R = 40 а. е.) это составит 400 000/1600 = 250. Иными словами, поверхность Плутона на его среднем расстоянии от Солнца днем освещена так же ярко, как если бы ночью на земном небосклоне сияло 250 полных Лун. Это весьма яркое освещение, при котором можно не только гулять без фонаря, но и читать мелкий шрифт.

Вход
Поиск по сайту
Ищем:
Календарь