Книга Вселенная в вопросах и ответах, страница 46 – Владимир Сурдин

Авторы: А Б В Г Д Е Ж З И Й К Л М Н О П Р С Т У Ф Х Ч Ш Ы Э Ю Я
Книги: А Б В Г Д Е Ж З И Й К Л М Н О П Р С Т У Ф Х Ц Ч Ш Щ Ы Э Ю Я
Бесплатная онлайн библиотека LoveRead.in

Онлайн книга «Вселенная в вопросах и ответах»

📃 Cтраница 46

У самых плотных астероидов средняя плотность не превышает 4 г/см3, а у рыхлых ядер комет она около 0,5 г/см3, поэтому диапазон значений R составляет от 3 до 8 км. Скорее всего, эти оценки немного завышены. Ведь мы с вами никогда не прыгали в космическом скафандре на астероиде. Может быть, это совсем не легко? Ждем уточнения от тех, кому впервые удастся это сделать.

3.10. Карта Луны

Солнцем освещена половина лунного шара, поэтому на каждом орбитальном витке спутник будет снимать только половину времени. Если съемка ведется в оптическом диапазоне, то за 14 дней (примерно половина орбитального периода Луны, равного 27,3 сут) спутник снимет только половину лунного шара. Если же это тепловая (ИК) или нейтронная съемка, то можно исследовать весь шар.

Быстрее всего под спутником будут перемещаться экваториальные области Луны. Если орбитальный период аппарата P, то линейное смещение экваториальной области за это время составляет 2πRP/27,3 сут, где R = 1737 км — радиус Луны. Орбитальный период спутника составляет

Иллюстрация к книге — Вселенная в вопросах и ответах [i_091.jpg]
где M = 7,35 · 1022 кг — масса Луны. Чтобы не проводить длительных вычислений, воспользуемся знанием того, что период обращения на низкой (около 200 км) околоземной орбите равен 90 мин. Масса Луны — 0,0123 земной массы, радиус Луны — 0,273 земного радиуса, а с учетом высоты орбиты над Луной (100 км) и над Землей (200 км) — 0,280 земного радиуса. Поэтому
Иллюстрация к книге — Вселенная в вопросах и ответах [i_092.jpg]
Тогда ширина полосы составит 2π×1737 км × 2 час / 27,3 сут = 33,3 км. С высоты 100 км эта полоса видна под углом α = 2π arctg (33,3/200) = 18,9°. Таким образом, минимальный угол поля зрения прибора составляет около 19°. Но если это оптический прибор, то съемкой будет покрыта лишь половина Луны.

3.11. Космический мусор

Самопроизвольное размножение космического мусора происходит по принципу цепной реакции: при столкновении любых двух объектов возникают тысячи новых осколков, поэтому вероятность их последующих столкновений с другими объектами возрастает. До тех пор, пока все осколки не раздробятся до миниатюрного размера, их количество должно было бы возрастать экспоненциально. Однако есть и конкурирующий процесс: осколки на самых низких орбитах интенсивно тормозятся в разреженных слоях земной атмосферы, сгорают в ней или падают на поверхность Земли. Этим объясняется первоначальный спад теоретических кривых (быстро падают фрагменты с самых низких орбит), который затем сменяется ростом числа осколков на более высоких орбитах. Самое тревожное, что даже при полном запрете новых запусков этот рост не прекратится и работать на околоземных орбитах будет все опаснее. Если искусственно не очищать их от мусора. Проектами такой очистки сегодня заняты многие космические инженеры.

Иллюстрация к книге — Вселенная в вопросах и ответах [i_093.jpg]

Пилообразная форма кривых связана с «дыханием» земной атмосферы. Синхронно с изменением солнечной активности, происходящим со средним периодом 11,2 года, верхние слои нашей атмосферы «вспухают» и «опадают». В годы повышенной активности Солнца на высотах до 600 км плотность воздуха заметно возрастает, увеличивая сопротивление движению спутников и фрагментов мусора, поэтому они чаще падают на Землю; убыль осколков превышает их размножение. В годы низкой активности Солнца торможение в атмосфере ослабевает и на первый план выходит размножение осколков.

3.12. Странные космодромы

Почти каждый космодром выполняет две функции — военную и гражданскую. Важнейшая военная задача — запуск баллистических ракет в сторону потенциального противника. Все «потенциальные противники» расположены в Северном полушарии, поэтому для минимального подлетного времени требуется полет ракеты через область Северного полюса. Кроме того, для разведывательных и гражданских целей запускают спутники дистанционного наблюдения всей поверхности Земли, которые по определению должны двигаться на полярных орбитах. Действительно, на экваториальной орбите спутник «видит» только область экватора. Чем больше наклон орбиты к экватору, тем шире область наблюдения. На полярной орбите спутник благодаря вращению Земли за 12 часов может «увидеть» всю Землю.

Кроме этого, большие преимущества для наблюдения земной поверхности дает солнечно-синхронная орбита (иногда ее называют гелиосинхронной) — это геоцентрическая орбита с такими параметрами, что объект, находящийся на ней, проходит над любой точкой земной поверхности приблизительно в одно и то же местное солнечное время. Например, наблюдение в утреннее и вечернее время, благодаря длинным теням, позволяет заметить небольшие объекты. Поэтому спутник должен все время двигаться недалеко от линии терминатора, которая всегда проходит недалеко от полюсов (не дальше 23,4°).

Чтобы орбита была гелиосинхронной, ее параметры выбирают такими, чтобы она прецессировала в восточном направлении на 360° в год (приблизительно на 1 градус в день), компенсируя вращение Земли вокруг Солнца. Прецессия происходит за счет взаимодействия спутника с Землей, несферичной из-за полярного сжатия. Скорость прецессии зависит от наклонения орбиты. Нужной скорости прецессии можно достичь лишь для определенного диапазона высот орбит (как правило, выбираются значения 600÷800 км, с периодами 96÷100 минут), необходимое наклонение для упомянутого диапазона высот — около 98°. Иными словами, гелиосинхронная орбита — это практически полярная орбита.

При запуске спутника на полярную орбиту с экваториального космодрома пришлось бы скоростью ракеты компенсировать вращение Земли, которое в данном случае только мешает. Поэтому высокоширотные космодромы в этом случае выгоднее.

3.13. К антиподам

Пусть М — масса Земли и R — радиус Земли. Полет спутника по низкой орбите от одного полюса к другому займет половину его орбитального периода:

Иллюстрация к книге — Вселенная в вопросах и ответах [i_094.jpg]

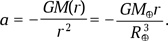
Теперь определим продолжительность полета снаряда через шахту. Поскольку распределение плотности вещества внутри Земли имеет довольно сложный вид, мы рассмотрим два крайних случая.

а) Пусть Земля — однородный шар. На расстоянии r от центра Земли снаряд испытывает притяжение только от внутренней части планеты радиусом r и массой M(r) = M(r/R)3. Следовательно, он движется с ускорением

Иллюстрация к книге — Вселенная в вопросах и ответах [i_095.jpg]
Вход
Поиск по сайту
Ищем:
Календарь