Книга Укрощение бесконечности. История математики от первых чисел до теории хаоса, страница 90 – Йен Стюарт

Авторы: А Б В Г Д Е Ж З И Й К Л М Н О П Р С Т У Ф Х Ч Ш Ы Э Ю Я
Книги: А Б В Г Д Е Ж З И Й К Л М Н О П Р С Т У Ф Х Ц Ч Ш Щ Ы Э Ю Я
Бесплатная онлайн библиотека LoveRead.in

Онлайн книга «Укрощение бесконечности. История математики от первых чисел до теории хаоса»

📃 Cтраница 90
Мечта становится явью?

К XXI в. изобретение компьютеров и широкое распространение и доступность интегральных схем (чипов) дали машинам огромное преимущество. Они могут работать гораздо быстрее, чем человеческий мозг или механические устройства: скорость в миллиарды и триллионы арифметических операций в секунду сейчас воспринимается как должное. Быстрее, чем я наберу эти строки, произведенная IBM Blue Gene/L способна выполнить квадриллион вычислений (операций с плавающей запятой) за секунду. Современные компьютеры к тому же имеют огромные объемы памяти и хранят эквивалент сотен книг так, что любые сведения из них нам доступны практически моментально. Цветные схемы и анимации достигли пика своего качества.

Компьютеры на пьедестале

Ранние машины были более скромными, но и они позволяли сэкономить немало времени и сил. Пожалуй, первым значительным шагом после абака стали кости, или палочки, Непера: набор маркированных палочек, изобретенный Непером перед тем, как он придумал логарифмы. По сути, палочки были универсальными компонентами обычного процесса умножения. И хотя они могли заменить бумагу и карандаш и избавляли от необходимости записывать каждую цифру, они лишь имитировали ручные вычисления.

В 1642 г. Паскаль изобрел действительно механический калькулятор, арифметическую машину, чтобы помочь в подсчетах своему отцу. Устройство выполняло сложение и вычитание, но не умножение и деление. Оно имело восемь вращающихся дисков с числами, т. е. подходило для чисел вплоть до восьмизначных. В последующие десять лет Паскаль создал 50 аналогичных машин, большинство из которых сейчас хранится в музеях.

В 1671 г. Лейбниц придумал схему машины для умножения и собрал ее в 1694 г., заметив: «Негоже достойным людям, как рабы, терять часы над вычислениями, которые легко мог бы выполнить любой, имейся у него нужная машина». Он назвал свое устройство Staffelwalze (ступенчатый счетчик). Основная идея его изобретения широко использовалась последователями.

Автором самого амбициозного проекта вычислительной машины стал Чарльз Бэббидж. По его словам, в 1812 г. он «сидел в помещении Аналитического общества в Кембридже, клюя носом над раскрытыми передо мной таблицами логарифмов. Другой член общества вошел в комнату, увидел, что я вот-вот засну, и воскликнул: “Ну, Бэббидж, и о чем ты тут грезишь?” На что я ответил, кивнув на логарифмы: “Я думаю о том, что все эти таблицы можно было бы вычислить с помощью машины”». Этой мечте Бэббидж следовал до конца жизни, сконструировав прототип машины, названной им разностной. Он пытался получить от правительства помощь на создание более мощных устройств. Его самый амбициозный проект, аналитическая машина, по сути была программируемым механическим компьютером. Ни один такой аппарат не был построен, хотя удалось собрать некоторые его компоненты. Современная реконструкция аналитической машины хранится в Музее науки в Лондоне – и она работает. Большой вклад в труд Бэббиджа внесла Августа Ада Лавлейс, написав первую в мире компьютерную программу для его машины.

Первым калькулятором, поступившим в массовое производство, стал арифмометр, выпущенный Томасом де Кольмаром в 1820 г. В его основе лежал ступенчатый валиковый механизм, и еще в 1920 г. его производство процветало. Следующим принципиальным изменением стал механизм штифтового колеса, изобретенный шведским инженером Вильгодтом Однером. Его калькулятор был прототипом для десятков, если не сотен, аналогичных механизмов, выпускавшихся на множестве фабрик. Движущей силой был сам оператор, крутивший рукоятку и проворачивавший таким образом ряд дисков с цифрами от 0 до 9. Имея определенные навыки, человек мог достаточно быстро выполнять даже самые сложные операции. Во время Второй мировой войны научные и инженерные расчеты для Манхэттенского проекта по созданию первой атомной бомбы производились как раз на таких машинах, управляемых специально отобранным подразделением «вычислителей» – главным образом молодых женщин. Изобретение в 1980-х гг. дешевых и мощных электронных компьютеров моментально вывело механические устройства из игры, но вплоть до этого времени они оставались широко распространенными и востребованными в деловых и научных кругах.

Иллюстрация к книге — Укрощение бесконечности. История математики от первых чисел до теории хаоса [i_217.jpg]

Метод Ньютона для численного решения уравнения


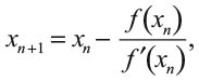
Вычислительные машины выполняли не только простые арифметические действия, поскольку многие научные расчеты могут быть численно реализованы как длинный ряд арифметических операций. Один из первых численных методов, позволявших решать уравнения с достаточно высокой точностью, был изобретен еще Ньютоном и стал известен как метод Ньютона. Он решает уравнение f(x) = 0 с помощью вычисления ряда последовательных приближений к решению, где каждое следующее уточняет предыдущее, но основано на нем. От некоего начального предположения, обозначим его как х1, улучшаем наши приближения корней x2, x3, …, xn, xn + 1 согласно формуле:

Иллюстрация к книге — Укрощение бесконечности. История математики от первых чисел до теории хаоса [i_218.jpg]

где f´ – производная от f. Метод основан на геометрии кривой y = f(x) рядом с решением. Точка xn + 1 находится там, где касательная прямая к точке xn пересекается с осью X. Как показано на графике, она ближе к решению – точке x, чем исходная точка.

АВГУСТА АДА КИНГ, ГРАФИНЯ ЛАВЛЕЙС 1815–1852

Иллюстрация к книге — Укрощение бесконечности. История математики от первых чисел до теории хаоса [i_219.jpg]

Августа Ада была дочерью поэта лорда Байрона и Анны Милбенк. Ее родители расстались через месяц после рождения девочки, и она больше никогда не видела отца. Ребенком она уже показала способности к математике; в отличие от своих современников, леди Байрон сочла это отличным упражнением для развития ума своей дочки и поощряла ее в этом увлечении. В 1833 г. Ада познакомилась с Чарльзом Бэббиджем на званом обеде, и очень скоро, побывав на демонстрации его прототипа аналитической машины, девушка нашла ее восхитительной и моментально разобралась в ее устройстве. Она стала графиней Лавлейс, когда в 1838 г. ее муж получил титул графа.

В 1843 г. к своему переводу статьи Луиджи Менабреа «Заметки об аналитической машине Чарльза Бэббиджа» Ада добавила небольшое приложение, впоследствии ставшее образцом программ, разработанных ею собственноручно. Она писала, что «отличительной особенностью аналитической машины… является использование в ней принципа управления с помощью перфокарт, изобретенного Жаккардом для изготовления самых сложных узоров для парчовых тканей. Можно сказать, что аналитическая машина сплетает алгебраические формулы так же, как ткацкий станок Жаккарда – цветы и листья».

Вход
Поиск по сайту
Ищем:
Календарь