Книга Укрощение бесконечности. История математики от первых чисел до теории хаоса, страница 87 – Йен Стюарт

Авторы: А Б В Г Д Е Ж З И Й К Л М Н О П Р С Т У Ф Х Ч Ш Ы Э Ю Я
Книги: А Б В Г Д Е Ж З И Й К Л М Н О П Р С Т У Ф Х Ц Ч Ш Щ Ы Э Ю Я
Бесплатная онлайн библиотека LoveRead.in

Онлайн книга «Укрощение бесконечности. История математики от первых чисел до теории хаоса»

📃 Cтраница 87

Событие с вероятностью 1 достоверно, а с вероятностью 0 – невозможно. Все вероятности лежат между 0 и 1, и вероятность события обозначает долю в числе попыток, с которой происходит данное событие.

Вернемся к вопросу из Средних веков. Предположим, мы одновременно бросаем два кубика (как во многих играх – от костей до «Монополии»). Какова вероятность того, что сумма очков на них равна 5? По результатам вычислений с огромным числом аргументов и даже нескольких экспериментов получено число 1/9. Почему? Предположим, мы взяли две кости, красную и синюю. На каждой из них может независимо выпасть шесть разных чисел, итого получаем 36 возможных пар, и все с одинаковой вероятностью. Сочетания (красная + синяя), дающие 5, – 1 + 4, 2 + 3, 3 + 2, 4 + 1; это отдельные случаи, поскольку синяя кость выдает разные числа при каждом броске, как и красная. Значит, при большом количестве бросков мы ожидаем получить сумму, равную 5, в четырех случаях из 36: вероятность равна 4/36 = 1/9.

Другая давняя практическая проблема – как поделить ставки в азартной игре, если она по какой-то причине прервалась. Алгебраисты Возрождения Пачоли, Кардано и Тарталья оставили записи по этому вопросу. Позже шевалье де Мере задал тот же вопрос Паскалю, и тот обменялся с Ферма несколькими письмами на эту тему.

Из этих ранних работ следовал неявный вывод, какова вероятность и как ее подсчитать. Но всё это выглядело неопределенно и неубедительно.

Сочетания

Рабочее определение вероятности некоего события – относительное число случаев, в которых оно происходит. Если речь о кости, у которой может одинаково часто выпасть любая из шести граней, вероятность выпадения каждой грани равна 1/6. Более ранние работы по вероятности основаны на подсчете количества вариантов появления каждого события и делении его на общее число возможностей.

Главной проблемой здесь были сочетания. Скажем, если взять колоду из шести карт, сколько в ней будет разных подмножеств по четыре карты? Один из способов – перечислить все эти подмножества: если у нас карты с достоинством 1–6, получится:

Иллюстрация к книге — Укрощение бесконечности. История математики от первых чисел до теории хаоса [i_209.jpg]

т. е. их всего 15. Но такой метод слишком громоздкий для большего количества карт, и здесь нужно нечто более систематическое.

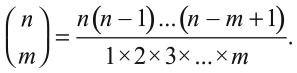
Представим, что мы выбираем по одному элементу из подмножества. Первый можно выбрать шестью способами, второй только пятью (один использован), третий – четырьмя, четвертый – тремя. Общее число выборов в этом порядке равно 6 × 5 × 4 × 3 = 360. Но каждое подмножество сосчитано здесь 24 раза: начав с 1234, далее мы найдем 1243, 2134 и т. д. и получим 24 способа (4 × 3 × 2) переставить четыре объекта. Значит, точный ответ будет 360/24, т. е. 15. Этот аргумент показывает, что количество способов выбрать m объектов из общего числа n объектов равно:

Иллюстрация к книге — Укрощение бесконечности. История математики от первых чисел до теории хаоса [i_210.jpg]

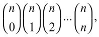
Это выражение называется биномиальным коэффициентом, потому что появляется и в алгебре. Если мы преобразуем его в таблицу, чтобы n-я строка содержала биномиальные коэффициенты

Иллюстрация к книге — Укрощение бесконечности. История математики от первых чисел до теории хаоса [i_211.jpg]

то результат будет выглядеть так.

В шестой (счет начинается с нуля) строке мы увидим числа 1, 6, 15, 20, 15, 6, 1.

Сравним с формулой

(x + 1)6 = x6 + 6x5 + 15x4 + 20x3 + 15x2 + 6x + 1,

и мы видим, что те же числа появляются как коэффициенты. Это не совпадение.

Треугольник чисел назван треугольником Паскаля, потому что обсуждался Паскалем в 1655 г. Однако известен он был гораздо раньше: первое упоминание в древнеиндийском шастре «Чандас шастра» датируется примерно 950 г. Также его знали персидские математики Аль-Караджи и Омар Хайям (в современном Иране его называют треугольником Хайяма).

Иллюстрация к книге — Укрощение бесконечности. История математики от первых чисел до теории хаоса [i_212.jpg]

Треугольник Паскаля


Теория вероятностей

Биномиальные коэффициенты с большим успехом были использованы в первой книге по теории вероятностей – труде под названием «Искусство предположений», написанном Якобом Бернулли в 1713 г. В книге автор поясняет столь необычное название.

Мы определяем искусство предположений, или стохастическое искусство, как искусство точной оценки вероятностей, чтобы в наших суждениях и действиях мы всегда опирались на то, что признано лучшим, наиболее приемлемым, наиболее определенным или рекомендуемым; это единственная основа для мудрости философа и благоразумия государственного мужа.

Возможно, правильнее было бы назвать эту книгу «Искусство догадок».

Бернулли принимал как данность, что чем больше количество испытаний, тем лучше можно будет оценить вероятность.

Предположим, без вашего ведома в урну поместили 3000 белых камней и 2000 черных. Пытаясь определить количество этих камней, вы вынимаете один камень за другим (каждый раз возвращая его обратно) и обращаете внимание, как часто попадаются белый и черный камни. Насколько часто вам придется так делать: 10 раз, или 100 раз, или 1000 раз и т. д., что более вероятно, ‹…› чтобы [в итоге] выбранные белые и черные камни находились в том же соотношении 3:2, что и в урне?

Здесь Бернулли не только задал один из основных вопросов, но и изобрел стандартный иллюстративный пример – камни в урне. Он явно был уверен, что пропорция 3:2 будет разумным результатом, но понимал, что в реальности эксперименты могут лишь приблизиться к ней. Однако он был уверен еще и в том, что при достаточном количестве попыток эта аппроксимация будет всё точнее и точнее.

Тут была своя трудность, надолго затормозившая развитие этой науки. В подобных экспериментах всегда есть определенная возможность, что по чистой случайности все вынутые из урны камни окажутся белыми. Нет достаточно надежной гарантии, что пропорция будет всегда стремиться к 3/2. В лучшем случае мы можем утверждать, что с очень высокой вероятностью числа будут приближаться к этому значению. Но тогда возникает риск круговой логики: мы используем пропорции, полученные в опытах, чтобы оценить вероятности, но также используем вероятности, чтобы получить этот вывод. Как мы видим, что вероятность вытащить только белые камни крайне мала? Если мы добиваемся этого в большем числе испытаний, то должны учесть и возможность того, что результат по какой-то причине окажется ошибочным. Единственным выходом из этого тупика кажется проведение еще большего числа испытаний, чтобы показать, как низка вероятность такого результата. В итоге мы попадаем в состояние, слишком напоминающее бесконечное движение по кругу.

Вход
Поиск по сайту
Ищем:
Календарь