Онлайн книга «Занимательная химия для детей и взрослых»
|
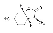
Кстати, упомянутые дисульфиды обладают редкой особенностью. Многие замечали, что от запаха лука или чеснока почти невозможно избавиться: не помогают ни чистка зубов, ни полоскание рта. А дело в том, что эти соединения выделяются не изо рта, а из легких! Дисульфиды, проникнув из пищи в стенки кишечника и далее – в кровь, разносятся ею по всему организму, в том числе и в легкие. Там они и выделяются с выдыхаемым воздухом. Одним из самых неприятных запахов обладают тиолы, или меркаптаны R–SH (первое название происходит от греческого слова theion – «сера»; второе отражает способность этих соединений связывать ртуть, по-английски – mercury capture). К природному газу, который горит в плите на кухне (в основном это метан), добавляют ничтожные количества очень сильно пахнущего вещества, например 3-метилбутантиола (изоамилмеркаптана) (CH3)2CH– –CH2–CH2–SH, что позволяет обнаружить по запаху утечку газа в жилых помещениях: человек способен почувствовать запах этого соединения в количестве двух триллионных долей грамма! Однако изредка встречаются люди (примерно 1 человек из 1000), которые не чувствуют запаха меркаптана. Может быть, этим частично объясняются случаи взрывов при утечке газа? «Запаховый дальтонизм», по-научному аносмия (от греч. osme – «запах»), изредка распространяется на все запахи, но чаще – на некоторые определенные (специфическая аносмия). Так, 2 % населения не ощущают сладковатого запаха изовалериановой кислоты, 10 % не чувствуют запаха ядовитой синильной кислоты, 12 % – запаха мускуса, 36 % – солода, 47 % – гормона андростерона. Меркаптаны придают запах крайне зловонному секрету скунса – небольшого зверька семейства куньих (другое его название – вонючка). Описаны случаи, когда люди теряли сознание, вдохнув выделения этих животных, и даже на следующий день чувствовали головную боль. Выделения скунса были подробно проанализированы с химической точки зрения в 1975 г. К. К. Андерсеном и Д. Т. Бернстейном. Они обнаружили в них уже упоминавшийся изоамилмеркаптан, а также транс -2-бутен-1-тиол (кротилмеркаптан) CH3–CH=CH–CH2–SH и транс -2-бутенилметилдисульфид CH3–CH=CH–CH2–S–S–CH3. Но бывают, оказывается, запахи и похуже. В знаменитой Книге рекордов Гиннесса к самым зловонным химическим соединениям отнесены этилмеркаптан С2Н9SН и бутилселеномеркаптан С4Н9SеН – их запах напоминает комбинацию запахов гниющей капусты, чеснока, лука и нечистот одновременно. А в учебнике А. Е. Чичибабина «Основные начала органической химии» сказано: «Запах меркаптанов – один из самых отвратительных и сильных запахов, какие встречаются у органических веществ… Метилмеркаптан CH3SH образуется при гидролизе кератина шерсти и гниении белковых веществ, содержащих серу. Он находится также в человеческих испражнениях, являясь вместе со скатолом (β-метилиндолом) причиной их неприятного запаха». От противных запахов обычно избавляются, забивая их более сильным запахом какого-либо дезодоранта, который при частом употреблении сам может стать причиной неприятных ассоциаций. А вот американец К. Дж. Виснер в 1989 г. взял патент на «шампунь от скунса», в состав которого входит 2%-ный раствор иодата калия KIO3. Это соединение легко окисляет меркаптаны и дисульфиды до сульфоксидов RR1S=O, органических сульфатов (RO)2SO2 или сульфонов R–SO2–R1, которые запахом не обладают. И все же рекорд чувствительности принадлежит соединению с приятным запахом. В Книге рекордов Гиннесса утверждается, что это вещество – ванилин: его присутствие в воздухе можно почувствовать при концентрации 2 · 10–11 г в 1 л. Однако этот рекорд сравнительно недавно был побит. Новый рекордсмен – так называемый винный лактон, который, как показал в 1996 г. швейцарский химик Х. Гут, придает красным и белым винам сладковатый кокосовый аромат. Поразительна чувствительность носа к этому веществу: его можно почувствовать при концентрации 0,01 пикограмма (10–14 или одна стотриллионная доля грамма) в 1 л воздуха. Как нередко бывает, эта особенность свойственна только одному из пространственных изомеров лактона – тому, что изображен на рисунке. Запах его антипода можно почувствовать лишь при концентрации 1 мг/л, что на 11 порядков больше! Как обычно, есть здесь и своя ложка дегтя. Так, довольно простое вещество – 2,4,6-трихлоранизол придает винам (естественно, не самым качественным) «корковый» запах. Опытные дегустаторы способны обнаружить присутствие этого соединения при содержании 10 нг (нанограммов) в 1 л. К счастью, это на шесть порядков больше, чем у винного лактона. Предполагают, что трихлоранизол действительно образуется в корковой пробке бутылки под действием микроорганизмов. Не исключено, что первоисточником этого вещества являются хлорсодержащие инсектициды, которыми уничтожают насекомых в винных подвалах. ![]() Винный лактон ![]() Трихлоранизол Другие знакомые всем пахучие вещества далеко отстают от рекордсменов. Однако некоторые из них имеют поразительную стойкость. В городе Марракеше в Марокко находится минарет – башня высотой около 70 м, построенная по приказу султана в знак победы над испанцами. Минарет знаменит тем, что его стены пахнут мускусом. Натуральный мускус – ценное благовоние, которое вырабатывают железы самца кабарги – животного семейства оленей. Запах мускусу придает 3-метилциклопентадеканон-1 (мускон). Оказывается, при строительстве минарета в 1195 г. в цемент, скрепляющий камни, подмешали около 1000 мешков мускуса. И запах не исчез даже спустя 800 лет… Если бы для определения рекордсменов по части запаха использовали не только человеческий нос, результаты изменились бы очень сильно. Известно, например, насколько нюх собаки тоньше нашего. Несравнимо более чувствительны органы обоняния насекомых. Сигналом для них являются особые вещества – феромоны. Чувствительность к ним удивительна. Например, муравьи вида Atta texana используют метиловый эфир 4-метилпиррол-2-карбоновой кислоты, чтобы метить свои тропы. Всего одного миллиграмма этого соединения достаточно, чтобы пометить тропинку, втрое длиннее земного экватора! Муравью достаточно синтезировать для своих надобностей всего 3 нг этого соединения. Еще чувствительнее к феромонам бабочки – их самцы ощущают присутствие самок на расстоянии нескольких километров. Некоторые бабочки обнаруживают присутствие феромонов, если в 1 см3 воздуха содержится одна-единственная молекула! Для сравнения: винный лактон мы чувствуем при концентрации 10–17 г/см3, что при молекулярной массе 134 соответствует 45 000 молекул/см3. Мускон ![]() |
![Иллюстрация к книге — Занимательная химия для детей и взрослых [autogen_ebook_id130.jpg] Иллюстрация к книге — Занимательная химия для детей и взрослых [autogen_ebook_id130.jpg]](img/book_covers/076/76693/autogen_ebook_id130.jpg)
![Иллюстрация к книге — Занимательная химия для детей и взрослых [autogen_ebook_id131.jpg] Иллюстрация к книге — Занимательная химия для детей и взрослых [autogen_ebook_id131.jpg]](img/book_covers/076/76693/autogen_ebook_id131.jpg)
![Иллюстрация к книге — Занимательная химия для детей и взрослых [autogen_ebook_id132.jpg] Иллюстрация к книге — Занимательная химия для детей и взрослых [autogen_ebook_id132.jpg]](img/book_covers/076/76693/autogen_ebook_id132.jpg)
![Иллюстрация к книге — Занимательная химия для детей и взрослых [autogen_ebook_id133.jpg] Иллюстрация к книге — Занимательная химия для детей и взрослых [autogen_ebook_id133.jpg]](img/book_covers/076/76693/autogen_ebook_id133.jpg)