Книга Занимательная химия для детей и взрослых, страница 63 – Илья Леенсон

Авторы: А Б В Г Д Е Ж З И Й К Л М Н О П Р С Т У Ф Х Ч Ш Ы Э Ю Я
Книги: А Б В Г Д Е Ж З И Й К Л М Н О П Р С Т У Ф Х Ц Ч Ш Щ Ы Э Ю Я
Бесплатная онлайн библиотека LoveRead.in

Онлайн книга «Занимательная химия для детей и взрослых»

📃 Cтраница 63
Гексагелицен

Плотно конденсируя все больше и больше бензольных колец, можно получить пирен, перилен, коронен и т. д. В пределе, конденсируя бесконечное число колец, получим слоистую структуру графита. Из описанных в литературе полициклов самый большой – углеводород С150Н30 (38), содержащий 61 бензольное кольцо.

Иллюстрация к книге — Занимательная химия для детей и взрослых [autogen_ebook_id117.jpg]

Пирен

Иллюстрация к книге — Занимательная химия для детей и взрослых [autogen_ebook_id118.jpg]

Перилен

Иллюстрация к книге — Занимательная химия для детей и взрослых [autogen_ebook_id119.jpg]
Коронен

Назвать его затруднительно, да он еще и не синтезирован, а изучен пока только теоретически. А вот кекулен (39), названный в честь Фридриха Августа Кекуле фон Штрадоница, который впервые предложил структуру молекулы бензола, был действительно синтезирован немецкими химиками в 1983 г. Это рекордный по размерам цикл, построенный из бензольных колец. В книгу рекордов можно занести и экспериментальную технику доказательства его строения. Так, спектр ядерного магнитного резонанса этого соединения, ввиду его исключительно низкой растворимости, снимали в горячем дейтерированном тетрахлорбензоле при температуре 155 °С (он при этой температуре почти не испаряется, так как кипит выше 250 °С, а дейтерий нужен, чтобы сигнал атомов растворителя не накладывался на сигнал атомов водорода изучаемого соединения). Для получения монокристаллов кекулена (они нужны для рентгеноструктурных исследований) расплав этого вещества в пирене медленно, в течение суток охлаждали от 450 до 150 °С.

Иллюстрация к книге — Занимательная химия для детей и взрослых [autogen_ebook_id120.jpg]

Структура 3 8

Иллюстрация к книге — Занимательная химия для детей и взрослых [autogen_ebook_id121.jpg]

Структура 3 9

Иллюстрация к книге — Занимательная химия для детей и взрослых [autogen_ebook_id122.jpg]
Марка со структурой бензола, посвященная 150-летию со дня рождения Кекуле

Необычные и красивые структуры, вполне достойные книги рекордов, возникают при симметричном замещении атомов водорода в метане на ароматические кольца. Сначала получается тетрафенилметан С(С6Н5)4, к которому можно наращивать все более длинные «хвосты». Пока удалось получить «пропеллер» (40), его лопасти состоят из четырех таких соединенных в цепочку колец, из которых три бензольных и одно пиримидиновое, с двумя атомами азота в цикле.

Иллюстрация к книге — Занимательная химия для детей и взрослых [autogen_ebook_id123.jpg]
Структура 40

Известно, что в твердом бензоле ароматические кольца лежат стопкой одно над другим на расстоянии 0,34 нм. Казалось бы, если два соседних кольца соединить с противоположных концов мостиками –СН2СН2–, как в [2.2] парациклофане, то эти кольца должны оказаться дальше друг от друга, как в шаростержневой модели (41). На самом деле они сближаются до 0,31 нм. Поэтому неудивительно, что, соединив между собой (в результате 10-стадийного синтеза) все шесть вершин двух молекул бензола в «суперфане» (42), химики добились рекордного сближения ароматических колец – до 0,26 нм. Если же два бензольных кольца соединить перемычками из трех звеньев –СН2СН2СН2–, то получается не менее изящная структура 43, напоминающая очертаниями турбину или мельничное колесо. Синтезировала этот шедевр группа японских химиков в 1996 г. Химики умеют соединять подобным способом сразу несколько бензольных колец; пока им удалось построить «этажерку» из шести циклов (структура 44). То, что это достижение не предел синтетических возможностей современной химии, свидетельствует получение олимпиадана (структура 45). В полном соответствии со своим названием эта молекула состоит из пяти продетых друг в друга циклов.

Иллюстрация к книге — Занимательная химия для детей и взрослых [autogen_ebook_id124.jpg]

Структура 41

Иллюстрация к книге — Занимательная химия для детей и взрослых [autogen_ebook_id125.jpg]

Структура 42

Иллюстрация к книге — Занимательная химия для детей и взрослых [autogen_ebook_id126.jpg]
Структура 43

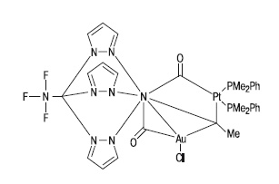
До сих пор рассматривались только органические молекулы, в состав которых входят атомы всего нескольких элементов (чаще всего углерода и водорода). В органических соединениях могут присутствовать также атомы кислорода, азота, галогенов, серы, реже – других элементов. А сколько разных элементов можно «напихать» в одну молекулу? В справочнике «Свойства органических соединений» (Л.: Химия, 1984) удалось найти вещества, молекулы которых состоят не более чем из шести разных элементов, например, хлорангидрид 2,4-динитробензосульфоновой кислоты C6H3(NO2)2SO2Cl. Но это далеко не рекорд. «Чемпион» содержит в молекуле атомы 11 разных ковалентно связанных элементов! Его синтезировали в 1991 г. английские химики П. К. Байерс и Ф. Дж. Стоун.

Иллюстрация к книге — Занимательная химия для детей и взрослых [autogen_ebook_id127.jpg]

Структура 44

Иллюстрация к книге — Занимательная химия для детей и взрослых [autogen_ebook_id128.jpg]

Структура 45

Иллюстрация к книге — Занимательная химия для детей и взрослых [autogen_ebook_id129.jpg]
Структура 46

Это металлоорганическое соединение (структура с брутто-формулой C30H34AuBClF3N6O2P2PtW. Вероятно, даже очень опытному химику придется немало поломать голову, чтобы обозвать этого монстра по всем правилам химической номенклатуры!

Вкус и запах

Многие, особенно неспециалисты, несправедливо считают, что химия – это когда гремит и сверкает. Так написал в своей книжке для школьников «Опыты без взрывов» Ольгерт Ольгин. «А также, когда воняет», – мог бы добавить химик. Алексей Дмитриевич Иорданский, много лет проработавший в редакции журнала «Химия и жизнь», как-то высказал такой шутливый афоризм: «Если оно зеленое или извивается, то это биология. Если воняет, то это химия. Если оно не работает, то это физика». Действительно, нос химика-синтетика, работающего в большой лаборатории, ежедневно подвергается серьезным испытаниям. Ведь некоторые вещества уже в ничтожно малых количествах способны выгнать человека из комнаты. Какие же вещества имеют самый неприятный запах и к каким человеческий нос наиболее чувствителен? Распространено мнение, что человек более чувствителен к неприятным запахам. Например, свободная масляная кислота С3Н7СООН, как и все карбоновые кислоты с небольшим числом атомов углерода, обладает резким отвратительным запахом. Поэтому, когда масло портится, масляная и другие кислоты выделяются в свободном состоянии и придают ему неприятный (прогорклый) запах и вкус. А вот другой пример. Чеснок и лук резко пахнут потому, что выделяют сернистые соединения: чеснок – в основном диаллилдисульфид (CH2=CH–CH2)2S2 и аллицин CH2=CH–CH2–S(O)– –S–CH2–CH=CH2, лук – аллилпропилдисульфид CH2=CH– –CH2–S–S–CH2–CH=CH2. Во всех этих словах есть корень «аллил», который происходит от латинского названия чеснока Allium sativum . Интересно, что в чесноке и луке этих соединений нет, но есть много аминокислоты цистеина с сульфгидрильными группами –SH. При разрезании чеснока или лука эти аминокислоты под действием ферментов (в частности, аллииназы) превращаются в пахучие дисульфиды. В луке происходит одновременно образование тиопропиональдегид-S-оксида CH3–CH2–CH=S=O, который является довольно сильным лакриматором, т. е. вызывает слезотечение. Вообще при обработке чеснока – его разрезании или дроблении в течение короткого промежутка времени – образуются сотни органических сернистых соединений!

Вход
Поиск по сайту
Ищем:
Календарь