Онлайн книга «Темная сторона материи. Дирак. Антивещество»
|
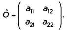
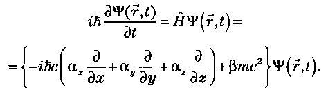
УРАВНЕНИЕ ДИРАКА Журнал Proceedings of Royal Society 2 января 1928 года получил через Фаулера статью Дирака под названием «Квантовая теория электрона», где автор писал: «В статье показано, что недостатки предыдущих теорий (уравнение КГ и теория спина Паули) связаны с их несовместимостью как с относительностью, так и с общей теорией преобразований квантовой механики. Похоже, что самый простой гамильтониан для точечного электрона, соблюдающий основополагающие принципы относительности и теории преобразований, позволяет объяснить все экспериментальные результаты без дополнительных допущений». Приведенный выше абзац раскрывает ход рассуждений Дирака в процессе выстраивания релятивистского уравнения. С одной стороны, уравнение должно соблюдать основополагающие принципы квантовой теории в том виде, в котором они сформулированы в теории преобразований: «Изначальное состояние системы полностью определяет ее состояние в последующий момент». Это означает, что волновое уравнение должно было быть дифференциальным уравнением первого порядка по времени. Так волновая функция в любой момент четко определяет волновую функцию в последующий момент. Данная формулировка, согласующаяся с уравнением Шрёдингера, но уводящая в сторону от уравнения КГ, ведет к вероятностной плотности, определяемой положительным значением. Этот результат кроме того связан с другим важным аспектом теории преобразований Дирака: гамильтониан системы должен быть самосопряженным оператором (эрмитовым оператором). Такое свойство гарантирует, что собственные значения оператора, то есть значения полной энергии системы, будут действительными. С другой стороны, Дираку следовало учитывать принцип относительности. Квантовое релятивистское уравнение должно было действовать для любой инерциальной системы отсчета. Но как этого добиться? Решение Дирака своей красотой и простотой подтверждает его огромный творческий гений. В рамках релятивистской теории время и пространственные координаты являются составляющими «четырехмерного вектора пространство — время». Дирак заключил из этого, что нет причин обращаться по-разному с двумя видами переменных в квантовом волновом уравнении. Наоборот, если волновое уравнение должно было быть, согласно квантовой теории, уравнением первого порядка по производной по времени, то релятивистская теория требовала введения пространственных переменных в виде их первых производных. Это симметричное обращение со временем и пространством согласовывалось с релятивистской формулировкой, но уводило от нерелятивистского уравнения Шрёдингера, в котором временные и пространственные переменные появлялись по-разному: производная первого порядка по времени и второго порядка по пространственным переменным. Дирак считал симметрию главным условием релятивистской теории, которая в свою очередь должна согласовываться с релятивистским выражением для энергии: E = √(c2 р2 + m2с4) (свободная частица). САМОСОПРЯЖЕННЫЕ ОПЕРАТОРЫ (ЭРМИТОВЫ ОПЕРАТОРЫ) И МАТРИЦЫ ПАУЛИ Самосопряженные операторы (эрмитовы операторы) важны для квантовой теории, поскольку присущее им собственное значение является действительным. В случае оператора Гамильтона «самосопряженность» гарантирует нам, что энергия системы, которую мы изучаем, будет действительной. Оператор называют самосопряженным, когда он совпадает со своим сопряженным. Возьмем общий случай квантового оператора, представленного в матричной форме матрицы 2x2: ![]() Сопряженный оператор задан матрицей, выстроенной из изначальной матрицы, в которой изменяются строки и столбцы, и каждый элемент заменен комплексно-сопряженным ему элементом. Такая матрица называется сопряженной: ![]() Если две матрицы согласуются друг с другом, то есть если Ó = Ö, говорят, что матрица Ó является эрмитово-сопряженной, и в этом случае можно доказать, что ее значения являются действительными. Три матрицы Паули, σx,σy,σz, являются эрмитово-сопряженными, и они «антикоммутативны» между собой, то есть соблюдают общие отношения, вытекающие из уравнения Дирака. Однако можно доказать, что любая матрица размера 2x2 может быть записана в виде линейной комбинации трех матриц Паули плюс единичная матрица. Это означает, что невозможно найти четвертую матрицу, которая антикоммутативна каждой из трех матриц Паули. Иными словами, уравнение Дирака требует, чтобы размер каждого из четырех матричных коэффициентов, подлежащих определению, был больше 2x2. Кроме того, матрицы Дирака удовлетворяют антикоммутационным соотношениям, и их след равен нулю. В итоге его требования к новому квантовому релятивистскому уравнению электрона можно описать следующим образом. 1. Это должно быть дифференциальное уравнение первого порядка по времени, которое симметрично включает пространственные переменные, то есть с производными первого порядка. 2. Оператор Гамильтона должен быть самосопряженным — так, чтобы плотность вероятности определялась положительным значением и чтобы энергии были действительными. 3. Оно должно согласовываться с релятивистским выражением для энергии и быть релевантным для любой инерциальной системы отсчета. Таким образом, Дирак предложил следующее общее уравнение: ![]() Заметим, что два вида переменных — пространство и время — включены одним способом. Кроме того, существует дополнительный член уравнения, ßmc2, связанный с собственной массой электрона, то есть с массой в системе, в которой он находится в состоянии покоя. Уравнение зависит от четырех неизвестных коэффициентов: αx,αy,αz,β. Таким образом, вопрос состоит в том, как их определить. Для этого Дирак должен был доказать совместимость своего уравнения с релятивистским выражением для энергии. Он полностью осознавал «эквивалентность» квантовых операторов и соответствующих классических величин. Кстати, именно это соответствие позволило объяснить форму уравнения Шрёдингера и уравнения Клейна — Гордона. Используя аналогию между классическим и квантовым миром, квантовое уравнение, предложенное Дираком, вело к следующему классическому уравнению для энергии: Е= с (αxpx + αyрy + αzpz) + ßmc2. Как связать данное уравнение, линейное в трех составляющих кинетического момента со сложным релятивистским выражением энергии, в котором появляется квадратный корень? Дирак искал способ, позволивший бы ему записать в линейном виде релятивистское уравнение энергии, определив четыре неизвестных коэффициента. Первым большим шагом вперед в этом направлении было открытие того, что его квантовое уравнение может быть совместимым с релятивистским выражением для энергии, только когда введенные им коэффициенты не коммутируют между собой и, кроме того, если квадрат каждого оператора равен единице. Математически это выражается в следующей форме: |
![Иллюстрация к книге — Темная сторона материи. Дирак. Антивещество [img_33.jpg] Иллюстрация к книге — Темная сторона материи. Дирак. Антивещество [img_33.jpg]](img/book_covers/076/76562/img_33.jpg)
![Иллюстрация к книге — Темная сторона материи. Дирак. Антивещество [img_34.jpg] Иллюстрация к книге — Темная сторона материи. Дирак. Антивещество [img_34.jpg]](img/book_covers/076/76562/img_34.jpg)
![Иллюстрация к книге — Темная сторона материи. Дирак. Антивещество [img_35.jpg] Иллюстрация к книге — Темная сторона материи. Дирак. Антивещество [img_35.jpg]](img/book_covers/076/76562/img_35.jpg)