Онлайн книга «Темная сторона материи. Дирак. Антивещество»
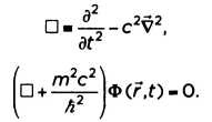
![]() Для частиц в состоянии покоя общая энергия равна Е=mc2, а для частиц без массы (таких, как фотон) энергия задана как Е=ср. Можно вывести волновое квантовое уравнение через предыдущее выражение энергии, заменив классические переменные соответствующими квантовыми операторами (принцип соответствия): ![]() Используя данный принцип, получаем в итоге следующее релятивистское квантовое уравнение: ![]() Это и есть уравнение Клейна — Гордона, которое обычно записывается в более точном виде с использованием оператора Д’Аламбера: ![]() Предыдущее выражение называется «ковариантной формой» уравнения КГ. Оператор остается неизменным при преобразованиях Лоренца, и отсюда следует, что волновая функция ф(ṽ,t) не должна зависеть от инерциальной системы отсчета. Как правило, автор новой теории не является самым подходящим человеком для ее развития. Страх того, что что-нибудь не сработает, слишком силен и мешает ему найти в себе достаточную смелость для того, чтобы развить теорию или идею до ее последнего предела. Поль Дирак Весной 1926 года Оскар Клейн, работавший независимо от Шрёдингера, опубликовал первое релятивистское квантовое уравнение. Оно согласовывалось с тем уравнением, которое раньше получил австрийский физик. В последующие месяцы разные ученые — Владимир Фок, Гордон, де Бройль и сам Шрёдингер — работали над этим уравнением, анализировали его и интерпретировали его решения. То, что Шрёдингер не решился опубликовать свое первое релятивистское уравнение, поскольку оно противоречило экспериментальным данным, Дирак прокомментировал так: «Это был пример того, как ученые, которые встают на правильный путь, не решаются идти по нему, боясь ошибиться». Согласно Дираку, тот факт, что уравнение не согласовывается с опытом, не должен был беспокоить Шрёдингера. Уравнение Клейна — Гордона является дифференциальным уравнением с пространственными и временными переменными. Его решение задано волновой функцией, которая содержит всю физическую информацию об анализируемой системе. В отличие от уравнения Шрёдингера уравнение КГ согласуется с релятивистским выражением для энергии. Кроме того, оно соответствует теории относительности: не меняется при использовании преобразований Лоренца. Другими словами, уравнение остается релевантным вне зависимости от рассматриваемой инерциальной системы отсчета. Уравнение КГ является дифференциальным уравнением второго порядка одновременно по пространственным переменным (как и уравнение Шрёдингера) и по временной переменной. Данный факт, напрямую связанный с релятивистским выражением энергии, стал причиной постоянных проблем интерпретации результатов уравнения, поэтому оно было забыто на многие годы. Волновая механика позволяет одновременно решить волновое уравнение, определив волновую функцию, и ввести плотность вероятности и плотность тока вероятности, которые должны удовлетворять «уравнению непрерывности» или «уравнению сохранения». Это случай уравнения КГ, где определена плотность тока, удовлетворяющая теории относительности. Однако главная проблема уравнения Клейна — Гордона возникает, когда необходимо вычислить плотность вероятности. В уравнении Шрёдингера плотность вероятности, согласно интерпретации Борна, задана квадратом волновой функции; таким образом, она определена как величина, имеющая положительное значение. Зато из уравнения КГ следует, что плотность вероятности может быть не только положительной, но и отрицательной, и нулевой. Это вытекает из его частной формулировки, включающей производную второго порядка по времени, и означает, что для того чтобы узнать волновую функцию в определенный момент, нужно знать не только волновую функцию в предыдущий момент, но и ее производную. Другими словами, из того, что уравнение КГ является уравнением второго порядка по времени, вытекает: для полного определения волновой функции должны быть известны два независимых условия. Следствием данного результата является то, что плотность вероятности может быть отрицательной. Но как объяснить, что вероятность обнаружения частицы в определенном месте может быть отрицательной? Для Дирака этот результат был отражением непоследовательности уравнения Клейна — Гордона, которое не удовлетворяло основным свойствам квантовой теории, сформулированным в его теории преобразований. К концу 1926 года большинство физиков осознали слабые места уравнения КГ. Было не только трудно допустить существование отрицательной плотности вероятности, но также казалось невозможным включить в уравнение новое квантовое понятие — спин. Многие физики изучали проблему и пытались найти «улучшенную» версию уравнения КГ, введя в него эффекты спина в рамках теории Шрёдингера. Дирак поставил вопрос оригинальнее: исходя из основополагающих принципов, он разработал уравнение, в котором спин появлялся как естественное следствие теории относительности. Стоит заметить, что уравнение Клейна — Гордона было пересмотрено в 1934 году Паули и Вайскопфом, которые переформулировали плотность вероятности в плотность заряда. Так сегодня уравнение Клейна — Гордона известно как «релятивистское квантовое уравнение для частицы с нулевым спином» и используется для описания поведения частиц без спина, таких как пионы (или пи-мезоны). Они имеют три разных состояния электрического заряда — положительное, отрицательное и нейтральное, — отражая значение, которое может принимать плотность заряда, определяемая уравнением. СПИН ЭЛЕКТРОНА Понятие спина было введено вследствие некоторых экспериментов, результаты которых не смогли объяснить существующие теории. Речь идет об эффекте Зеемана и опыте Штерна — Герлаха. В обоих случаях надо было ввести новое квантовое число, чтобы описать распределение электронов в атоме. В 1924 году Паули ввел четыре квантовых числа для описания состояний электрона: первые три определяли пространственное положение (n, l, ml,), а четвертое, обозначенное ms, физический смысл которого был еще не известен, могло принимать только два значения. В следующем году Паули представил свой знаменитый принцип запрета, позволявший понять, как распределяются электроны в разных атомах (расположение электронов). Спустя несколько месяцев два молодых студента Лейденского университета (Нидерланды), Сэмюэл А. Гаудсмит (1902-1978) и Джордж Ю. Уленбек (1900-1988), присвоили новое квантовое число кинетическому моменту, соответствующему круговому движению электрона вокруг самого себя. Объяснение Гаудсмита и Уленбека было поставлено под сомнение из-за вытекавших из него последствий. Прежде всего, электрон должен был иметь конечный размер, чтобы вращение вокруг собственной оси имело смысл; то есть электрон не мог быть элементарной или точечной частицей. Впрочем, расчеты Лоренца показывали: угловая скорость на поверхности электрона должна значительно превосходить скорость света, что противоречило теории относительности. Эти результаты выглядели нелепо. Гаудсмит и Уленбек попросили своего руководителя Эренфеста не публиковать работу. И ответ последнего вошел в историю квантовой теории: |
![Иллюстрация к книге — Темная сторона материи. Дирак. Антивещество [img_26.jpg] Иллюстрация к книге — Темная сторона материи. Дирак. Антивещество [img_26.jpg]](img/book_covers/076/76562/img_26.jpg)
![Иллюстрация к книге — Темная сторона материи. Дирак. Антивещество [img_27.jpg] Иллюстрация к книге — Темная сторона материи. Дирак. Антивещество [img_27.jpg]](img/book_covers/076/76562/img_27.jpg)
![Иллюстрация к книге — Темная сторона материи. Дирак. Антивещество [img_28.jpg] Иллюстрация к книге — Темная сторона материи. Дирак. Антивещество [img_28.jpg]](img/book_covers/076/76562/img_28.jpg)
![Иллюстрация к книге — Темная сторона материи. Дирак. Антивещество [img_29.jpg] Иллюстрация к книге — Темная сторона материи. Дирак. Антивещество [img_29.jpg]](img/book_covers/076/76562/img_29.jpg)