Книга Игра Люцифера. Как один человек раскрыл "глобальный заговор", вышел из тюрьмы и стал миллионером, страница 88 – Брэдли Биркенфельд

Авторы: А Б В Г Д Е Ж З И Й К Л М Н О П Р С Т У Ф Х Ч Ш Ы Э Ю Я
Книги: А Б В Г Д Е Ж З И Й К Л М Н О П Р С Т У Ф Х Ц Ч Ш Щ Ы Э Ю Я
Бесплатная онлайн библиотека LoveRead.in

Онлайн книга «Игра Люцифера. Как один человек раскрыл "глобальный заговор", вышел из тюрьмы и стал миллионером»

📃 Cтраница 88

Услуги и продукты, связанные с ценными бумагами. UBS AG не может вступать в деловые отношения с финансовыми посредниками или другими нечастными клиентами в Соединенных Штатах по вопросам, касающимся услуг и продуктов в области ценных бумаг, за исключением зарегистрированных брокеров, дилеров и банков, лицензированных в США (при условии, что это ни прямым, ни косвенным образом не связано с обслуживанием частных и нечастных клиентов таких брокеров, дилеров и банков.

Банковские услуги и продукты. UBS AG может принимать запросы от финансовых посредников в Соединенных Штатах при условии, что эти финансовые посредники (i) не работают на UBS AG; (ii) не занимаются активным маркетингом услуг и продуктов UBS AG и (iii) их запросы основаны на соответствующих запросах, поступающих от их клиентов. Работая с такими посредниками, UBS AG должен выполнять ограничения, установленные в разделах 3 и 4 выше.

6. Предложение продуктов

Продукты, связанные с ценными бумагами. Все продукты, связанные с ценными бумагами, предлагаемые лицам из США, должны соответствовать законам США, что в целом означает, что они должны быть зарегистрированы в Комиссии по ценным бумагам и биржам. При определенных условиях покупка ценных бумаг может быть освобождена от регистрации.

Кредитные продукты. В зависимости от цели, суммы, процентной ставки и личности заемщика для некоторых кредитных продуктов требуется получить лицензию в органах соответствующего штата. Несмотря на то что федеральные законы о защите прав потребителей неприменимы в отношении продуктов, предлагаемых компаниями, зарегистрированными за пределами США, в этих случаях могут быть применимы законы штатов о защите прав потребителей (например, законы, направленные против ростовщичества).

Исследования. Материалы проводимых UBS AG исследований не могут направляться клиентам в Соединенных Штатах, кроме некоторых исключительных обстоятельств.

Электронное банковское обслуживание. UBS AG установил ряд конкретных ограничений на предложение американским клиентам услуг в области электронного банковского обслуживания.

Документ 3: Обучающие документы UBS
Иллюстрация к книге — Игра Люцифера. Как один человек раскрыл "глобальный заговор", вышел из тюрьмы и стал миллионером [i_005.jpg]
Иллюстрация к книге — Игра Люцифера. Как один человек раскрыл "глобальный заговор", вышел из тюрьмы и стал миллионером [i_006.jpg]

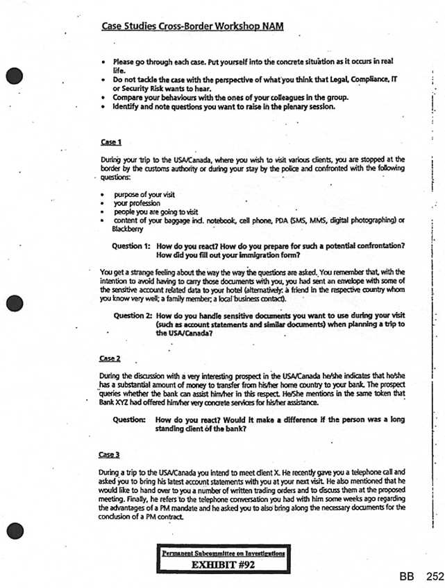
В этих обучающих документах UBS содержатся типовые сценарии, по которым банкиры UBS должны были отвечать на вопросы таможенной службы при въезде в США и Канаду.

Обсуждение примеров трансграничной деятельности (семинар)

• Изучите каждый пример. Попробуйте представить себе, что данная конкретная ситуация возникает с вами в реальной жизни.

• Не формулируйте свои ответы с учетом того, что, по вашему мнению, от вас хотят услышать представители юридического отдела, службы информационных технологий или отдела оценки рисков.

• Сравните свое поведение с поведением других коллег в группе.

• Сформулируйте и запишите вопросы, которые вы хотели бы задать в ходе дальнейшего обсуждения.

Пример 1

Во время вашей поездки в США или Канаду, где вы хотели бы встретиться с клиентами, вас останавливает на границе представитель таможенной службы (или представитель полиции) и задает вам следующие вопросы:

• цель вашего визита;

• ваша профессия;

• имена людей, с которыми вы планируете встретиться;

• содержимое вашего багажа, включая содержимое ноутбука, мобильного телефона, смартфона (SMS, MMS, цифровые фотографии) или Blackberry.

Вопрос 1: Как вы отреагируете? Как вы подготовитесь к этому? Как вы заполнили иммиграционную карточку?

У вас возникает подозрение в связи с тем, как именно задаются вопросы. Вы помните, что не хотели везти с собой определенные документы. Вы отправили конверт с конфиденциальной информацией, связанной с банковским счетом клиента на адрес гостиницы (возможные альтернативы: хорошему другу в соответствующей стране, члену семьи, деловому знакомому).

Вопрос 2: Что вы делаете с конфиденциальной документацией, которой хотите воспользоваться во время своего визита в США или Канаду (например, со справками о состоянии счета и другими аналогичными документами)?

Пример 2

В ходе беседы с интересным для вас потенциальным клиентом в США или Канаде он или она упоминает о том, что располагает значительной суммой денег, которую можно было бы перевести в ваш банк из своей страны. Потенциальный клиент задает вопрос о том, может ли банк оказать ему содействие в этом вопросе, и упоминает, что в ответ на аналогичную просьбу банк XYZ предложил ему вполне конкретные формы содействия и услуг.

Вопрос: Как вы отреагируете на такие слова? Имело бы в данном случае какое-то значение, что ваш собеседник является давним клиентом вашего банка?

Пример 3

Во время своей поездки в США или Канаду вы намереваетесь встретиться с клиентом X. Незадолго до этого он позвонил вам и попросил привезти ему к следующей встрече справку о состоянии его счета. Также он упомянул, что хотел бы передать вам несколько платежных распоряжений и обсудить их содержание при встрече. Кроме того, он напоминает вам о другом телефонном разговоре в прошлом, в ходе которого шла речь о преимуществах работы с частным банкиром. Он просит вас привезти с собой документы, необходимые для заключения договора на эти услуги.

Однако вследствие конфликта дат вы не можете прилететь в США на встречу. Чтобы не разочаровывать своего клиента, вы решаете позвонить в отделение UBS в США (одному из хорошо знакомых вам сотрудников) и попросить своего коллегу встретиться с вашим клиентом и удовлетворить его просьбы.

Вопрос 1: Что вы думаете об этой идее?

Вопрос 2: Говоря в целом, в какой степени и в каких именно вопросах ваш коллега их местного отделения может оказывать вам содействие? Обсудите конкретные ситуации, возникающие в вашей работе.

Пример 4

После того как вы в ходе своей поездки в США или Канаду пересекли пост иммиграционной службы, представители властей останавливают вас и проверяют содержимое вашего смартфона. Они обнаруживают данные о всех ваших встречах с клиентами. К счастью, вы храните лишь короткие заметки о различных встречах и не указываете никаких имен.

В течение недели вы живете в одной и той же гостинице. Чем дольше вы там остаетесь, тем сильнее у вас ощущение, что за вами следят. Порой вам даже кажется, что некоторые сотрудники гостиницы — не те, за кого они себя выдают. Вы проводите в своем гостиничном номере много встреч с клиентами.

Вход
Поиск по сайту
Ищем:
Календарь