Книга Игра Люцифера. Как один человек раскрыл "глобальный заговор", вышел из тюрьмы и стал миллионером, страница 86 – Брэдли Биркенфельд

Авторы: А Б В Г Д Е Ж З И Й К Л М Н О П Р С Т У Ф Х Ч Ш Ы Э Ю Я
Книги: А Б В Г Д Е Ж З И Й К Л М Н О П Р С Т У Ф Х Ц Ч Ш Щ Ы Э Ю Я
Бесплатная онлайн библиотека LoveRead.in

Онлайн книга «Игра Люцифера. Как один человек раскрыл "глобальный заговор", вышел из тюрьмы и стал миллионером»

📃 Cтраница 86

Помимо организаций, помогавших изобличителям, свою роль сыграли и многие журналисты. Они проводили расследования и сообщали о незаконных действиях UBS и других частных банков, а также о том, как министерство юстиции спустя рукава относилось к своей работе по отправлению правосудия. Я хочу особенно отметить глубокую и серьезную работу следующих американских журналистов: Шэрил Аттикссон, Фабио Бенедетти-Валентини, Майкла Броннера, Джесси Друкера, Хуана Гонсалеса, Джеймса Гримальди, Дэвида Хильценрата, Уильяма Хоука, Имона Хаверса, Дженет Новак, Даниэля Рантьеса, Лору Сандерс, Дейва Соломона, Кена Стиера и Вивьен Уолт. За пределами США, где история налогового заговора частных банков и отдельных лиц только начинает раскручиваться, я бы хотел особенно отметить журналистов, которые помогли предать гласности роль UBS и других частных банков в этом заговоре: Иэна Аллисона, Тома Берджеса, Астрид Дорнер, Кэтрин Дюбулоз, Сири Гедде-Даль, Лукаса Хэссига, Мишеля Анри, Артура Хонеггера, Джона Легцинга, Маттье Пеллоли, Эдуарда Перрина, Франсуа Пиле, Валери де Сенневиль, Хейга Симоняна, Себастьяна Ситтла, Горана Скаалмо, Ноопура Тивари, Роара Вальдергоха, Мэтью Валенсиа и Маритину Зафеириаду. Уверен, что я не включил имена многих людей, внесший ценный вклад в расследование этого глобального мошенничества, приношу за это свои извинения и выражаю всем этим людям свою искреннюю благодарность.

Я бросил вызов крупнейшему банку мира, не до конца понимая, с какими последствиями сталкиваются изобличители. Мне посчастливилось встретить в последние годы нескольких настоящих героев, рискнувших всем ради раскрытия преступлений. Хочу поблагодарить Гарри Маркополоса, раскрывшего мошенническую «схему Понци», созданную Берни Мэдоффом, и многих других изобличителей за их отважные усилия. Мы обязаны признать важность вклада, внесенного этими людьми в развитие нашего общества, и всячески поддерживать законодательные акты и программы, помогающие защищать их работу и обеспечивающие им достойную компенсацию.

Я хочу поблагодарить всех тех, кто помогал мне в создании этой книги. Спасибо моим друзьям, семье и коллегам — я очень ценю все то, что вы делаете, чтобы рассказать всему миру о моей жизни. Вы помогли мне описать жизнь частного банкира и сделали все для того, чтобы мой рассказ не ушел в сторону. Также я бы хотел поблагодарить Эрика Раймана за помощь в путешествии по таинственному миру законодательства, связанного с произведениями литературы и искусства.

Я всегда буду безгранично признателен моим дорогим друзьям Фрицу Беллу (светлая память!) и Уиллу Фрегози, которые дали мне кров, работу и возможность общения после освобождения из тюрьмы. Они помогли мне снова встать на ноги, гордились моими действиями по изобличению преступников и всячески поощряли меня к тому, чтобы я рассказал эту историю всему миру.

И наконец, я очень благодарен Стивену Хартову за множество часов, в течение которых он терпеливо изучал историю и тщательно погружался в жизнь частного банкира. Спасибо ему за вдумчивое исследование моего исторического изобличения и моей драматической битвы против министерства юстиции. Стивен смог мастерски передать в книге мои интонации, и нам удалось удачно рассказать неслыханную историю о том, как я разрушил секретность швейцарской банковской системы.

ПРИЛОЖЕНИЯ
Десять крупнейших скандалов с участием UBS

Мое историческое изобличение позволило открыть лишь одну из многих незаконных схем, реализованных UBS в недавние годы. И хотя действия по уходу от налогов, которые я предал огласке, имели очень крупные последствия, другие известные схемы с участием UBS позволяют понять, с каким пренебрежением относился банк к законам, работая по всему миру.

1. 10 мая 2004 года — незаконный перевод валюты США в страны, находящиеся под эмбарго.

ШТРАФ: 100 миллионов долларов.

2. 18 февраля 2009 года — уклонение от уплаты налогов в США с помощью офшорных схем.

ШТРАФ: 780 миллионов долларов.

3. 4 мая 2011 года — мошенничество с ценными бумагами на рынке деривативов (мини-бондов).

ШТРАФ: 160 миллионов долларов.

4. 26 ноября 2012 года — вышедший из повиновения британский трейдер потерял 2,3 миллиарда долларов.

ШТРАФ: 47,6 миллиона долларов.

5. 19 декабря 2012 года — махинации со ставкой LIBOR на валютном рынке.

ШТРАФ: 1,5 миллиарда долларов.

6. 25 июля 2013 года — мошенничество на рынке ценных бумаг, обеспеченных закладными.

ШТРАФ: 885 миллионов долларов.

7. 29 июля 2014 года — уклонение от уплаты налогов в Германии с помощью офшорных схем.

ШТРАФ: 403 миллиона долларов.

8. 30 сентября 2014 года — уклонение от уплаты налогов во Франции и отмывание денег.

ШТРАФ: 1,4 миллиарда долларов.

9. 20 мая 2015 года — скандал на рынке валют и LIBOR.

ШТРАФ: 545 миллионов долларов.

10. 10 марта 2016 года — признание незаконными премий, выплаченных банкирам UBS.

ШТРАФ: 130 миллионов долларов.

Документ 1: Швейцарская банковская тайна
Иллюстрация к книге — Игра Люцифера. Как один человек раскрыл "глобальный заговор", вышел из тюрьмы и стал миллионером [i_001.jpg]

UBS

Частное банковское обслуживание

Конфиденциальность клиента банка в Швейцарии Июнь 2003 г.

Эта презентация UBS описывает причины, по которым клиенты UBS были некорректно проинформированы о том, что они находятся под защитой банковской тайны.

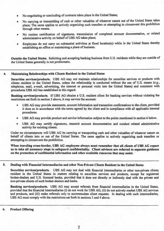
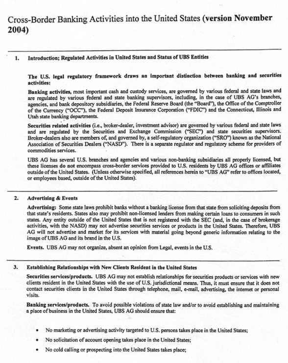
Документ 2: Трехстраничный меморандум
Иллюстрация к книге — Игра Люцифера. Как один человек раскрыл "глобальный заговор", вышел из тюрьмы и стал миллионером [i_002.jpg]
Иллюстрация к книге — Игра Люцифера. Как один человек раскрыл "глобальный заговор", вышел из тюрьмы и стал миллионером [i_003.jpg]
Иллюстрация к книге — Игра Люцифера. Как один человек раскрыл "глобальный заговор", вышел из тюрьмы и стал миллионером [i_004.jpg]

Именно этот меморандум UBS был основной причиной, по которой Брэд решил осуществить свое историческое изобличение.

Вход
Поиск по сайту
Ищем:
Календарь