Онлайн книга «Жизнь замечательных веществ»
|
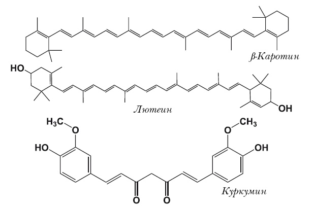
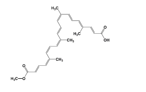
Так, например, если натуральный краситель растворяется в жирах, а использовать его надо в продуктах, содержащих большое количество воды, то чтобы продукт оказался равномерно окрашен, нужны особые методы стабилизации эмульсии. Вдобавок даже для одного и того же красителя рецептура эмульсии зависит от его применения. Один из эмульгаторов для жирорастворимого бета-каротина – сложные эфиры сахарозы. Впрочем, стабилизированная ими эмульсия устойчива только в сильнокислой среде, а если pH больше 4, то она расслаивается. Бета-каротин пришел на смену синтетическому красителю жёлтый «солнечный закат», но если для него пищевики могли использовать один универсальный раствор, то для бета-каротина существует шесть версий рецептур, применяемых в зависимости от того, что именно надо сделать жёлтым – сок, леденец или что-то другое. Ещё одна проблема, осложняющая и без того непростую жизнь пищевой промышленности Европы и Северной Америки, заключается в том, что нет единого законодательства, оговаривающего правила применения пищевых красителей (даже натуральных). Из-за этого продукт, разрешенный в одной стране, часто попадает под запрет в другой. Так, например, в США, независимо от происхождения, искусственным считается любой краситель, меняющий естественный цвет продукта. Некоторые натуральные красители разрешены к применению в Европе и запрещены в США, и наоборот. Что касается нашей страны, у нас ситуацию с пищевыми красителями регламентирует ГОСТ Р 52481-2010, в соответствии с которым натуральным считается пищевой краситель, полученный из сырья растительного или животного происхождения, синтетическим – краситель, полученный методами органического синтеза. Наш ГОСТ вообще не предполагает использования термина «искусственный пищевой краситель». ![]() Наиболее известны красные и жёлтые природные красители. Это прежде всего каротиноиды бета-каротин, лютеин, содержащие каротиноиды порошки (их получают измельчением плодов красного перца Capsicum annuum и экстракцией из семян ашиота Bixa orellana), а также не относящийся к каротиноидам куркумин. ![]() Эти соединения могут придавать продуктам оттенки от бледно-жёлтого до красного. Например, с помощью бета-каротина можно получить жёлтые и красно-оранжевые цвета, апокаротеналь же придаст продукту (кондитерским изделиям, мороженому, напиткам и пр.) глубокий оранжевый цвет. Окраска бета-каротина, конечно, хороша, более того, оттенки каротиноидов можно регулировать, меняя соотношение двойных связей в цис– и трансконфигурации. Однако в чистом виде его использовать нельзя, поскольку бета-каротин не растворяется в воде, умеренно растворяется в маслах и к тому же быстро окисляется кислородом воздуха. ![]() На помощь пищевикам приходят нанотехнологии: чтобы бета-каротином и некоторыми родственными ему соединениями можно было окрашивать соки или молочные продукты, их инкапсулируют в полые наночастицы. Так обеспечивается равномерное распределение красителя по всему объему продукта. К сожалению, для разных типов продуктов приходится методом проб и ошибок разрабатывать различные нанокапсулы. Цвет, который каротиноиды придадут продуктам, зависит от их химического строения и способа введения в продукты. Эмульсия бета-каротина в воде – жёлтая, его суспензия – оранжевая, а сам бета-каротин в кристаллическом состоянии красный, почти такой же, как мякоть спелого арбуза. ![]() Часто красители-каротиноиды не выделяют из природных источников, а получают синтетическим путем (или полусинтетическим – модификацией природных соединений), что создает дополнительные проблемы. Люди, страдающие хемофобией в особо острой форме, считают такие каротиноиды тоже искусственными. Хотя очевидно, что выделенный из морковки и полученный в лаборатории бета-каротины совершенно идентичны. После окисления каротиноиды теряют окраску, поэтому, чтобы продукты на полках супермаркетов сохраняли товарный вид, к композициям на их основе приходится добавлять антиоксиданты. Обычно в качестве антиоксидантов используют аскорбиновую кислоту, её производные или токоферол. Если окрашенный каротиноидами товар упакован в прозрачную пластиковую тару, то, чтобы защитить разлагающиеся на свету пигменты, их надо ещё инкапсулировать в крахмал или гуммиарабик. ![]() Биксин (R = CH3), норбиксин (R = H) Оранжево-красный пигмент аннато получают из семян южноамериканского растения ашиота (Bixa orellana). Основной окрашенный компонент экстракта семян ашиота – растворимый в неполярных растворителях каротиноид биксин, на одном конце цепи которого находится сложноэфирная группа, а на другом – свободная карбоксильная группа. Близкий родственник биксина – норбиксин, который можно получить, гидролизуя сложноэфирный фрагмент. Норбиксин используют в молочных продуктах, прежде всего в сырах. Веками (с XVII в.) это вещество придает жёлтую или жёлто-оранжевую окраску чеддеру, сыру колби и красным сортам лестерского сыра. ![]() Кантаксантин Кантаксантин (Е161g) – ярко-красный пигмент, выделяемый из болгарского перца, – разрешен к применению в США и почти запрещен в Европе. Единственный европейский продукт, в котором он допустим, – это страсбургские колбасы. Ограничение связано с событиями 1980-х годов, когда люди принимали препараты с кантаксантином для «загара без солнца», что, как считается, могло приводить к обратимому отложению кристаллов этого вещества на сетчатке глаз. Конечно же, в тех препаратах кантаксантина было в сотни раз больше, чем можно получить, съев подкрашенный им продукт, но осторожные европейцы решили перестраховаться. ![]() Есть большая группа водорастворимых природных красителей – антоцианины. Хорошая растворимость в воде – это плюс, но есть и минус: их цвет зависит от значения pH. Фактически эти соединения – индикаторы основной среды: в нейтральной среде антоцианины, в зависимости от строения, могут приобретать красный, пурпурный или синий цвет, при повышении рН становятся зелёными или коричневыми, а в кислой среде окраска исчезает. Зависимость цвета природных красителей от рН – их главное отличие от синтетических. Большинство синтетических красителей сохраняют свой цвет и оттенок на всем интервале значений рН, характерных для продуктов питания. Ещё один недостаток антоцианинов – чувствительность к свету, и тут, в отличие от светочувствительности каротиноидов, не поможет стабилизация аскорбиновой кислотой. К сожалению, пищевики не могут получить оранжевый цвет, смешивая жёлтый бета-каротин с красным антоцианином: в такой композиции большое количество аскорбиновой кислоты обесцветит антоцианин, а малое – бета-каротин. |
![Иллюстрация к книге — Жизнь замечательных веществ [i_211.jpg] Иллюстрация к книге — Жизнь замечательных веществ [i_211.jpg]](img/book_covers/076/76393/i_211.jpg)
![Иллюстрация к книге — Жизнь замечательных веществ [i_212.jpg] Иллюстрация к книге — Жизнь замечательных веществ [i_212.jpg]](img/book_covers/076/76393/i_212.jpg)
![Иллюстрация к книге — Жизнь замечательных веществ [i_213.jpg] Иллюстрация к книге — Жизнь замечательных веществ [i_213.jpg]](img/book_covers/076/76393/i_213.jpg)
![Иллюстрация к книге — Жизнь замечательных веществ [i_214.jpg] Иллюстрация к книге — Жизнь замечательных веществ [i_214.jpg]](img/book_covers/076/76393/i_214.jpg)
![Иллюстрация к книге — Жизнь замечательных веществ [i_215.jpg] Иллюстрация к книге — Жизнь замечательных веществ [i_215.jpg]](img/book_covers/076/76393/i_215.jpg)
![Иллюстрация к книге — Жизнь замечательных веществ [i_216.jpg] Иллюстрация к книге — Жизнь замечательных веществ [i_216.jpg]](img/book_covers/076/76393/i_216.jpg)
![Иллюстрация к книге — Жизнь замечательных веществ [i_217.jpg] Иллюстрация к книге — Жизнь замечательных веществ [i_217.jpg]](img/book_covers/076/76393/i_217.jpg)