Книга Жизнь замечательных веществ, страница 37 – Аркадий Курамшин

Авторы: А Б В Г Д Е Ж З И Й К Л М Н О П Р С Т У Ф Х Ч Ш Ы Э Ю Я
Книги: А Б В Г Д Е Ж З И Й К Л М Н О П Р С Т У Ф Х Ц Ч Ш Щ Ы Э Ю Я
Бесплатная онлайн библиотека LoveRead.in

Онлайн книга «Жизнь замечательных веществ»

📃 Cтраница 37
Иллюстрация к книге — Жизнь замечательных веществ [i_203.jpg]

Жареная или запеченная в духовке утка, индейка или даже курица тоже вошли в рейтинг новогодних блюд. Когда мы жарим птицу или мясо, или готовим их на огне или в духовке, протекает много химических реакций, в том числе и реакция Майяра – взаимодействие аминокислот с углеводами. В результате реакции Майяра образуются сотни продуктов, некоторые из которых и отвечают за аромат жареной птицы. Химики-аналитики совместно с дегустаторами запахов – флейвористами – выяснили, что главные ноты в симфонии ароматов жареной птицы и жареного мяса играют фураноны, фураны и пиразины, простейшие представители которых изображены на картинке. Также в реакции Майяра образуются меланоидины – окрашенные вещества, отвечающие за окраску румяной корочки жареного или запеченного продукта.

Ну и седьмой гость, который, правда, появляется на нашем столе уже на after party, ближе к полудню первого января (заметим, далеко не у всех), – рассол огуречный. Его зовут на помощь в качестве средства для облегчения похмельного синдрома. Рассол может применяться и для лечения интоксикации, которая сопутствует различным инфекционным заболеваниям. Основной компонент огуречного рассола (если не считать воды) – хлорид натрия, он же поваренная соль. Механика оживляющего действия рассола заключается в том, что он восстанавливает водно-солевой баланс в организме и устраняет обезвоживание (без этого вода продолжает активно выводиться из организма). Обезвоживание – одна из основных причин плохого самочувствия в результате алкогольной или какой-либо другой интоксикации. Почему же именно рассол от домашних заготовок, а не просто раствор соли в воде (который, по идее, будет работать да и работает в составе физиологических растворов по такой же схеме)? Да просто когда мы готовим рассол для домашних заготовок, мы добавляем туда специи – лавровый лист, чеснок, гвоздику и т. д., а пить соленую воду, вкус которой облагорожен пряностями, приятнее, чем просто соленую воду.

Иллюстрация к книге — Жизнь замечательных веществ [i_204.jpg]
2.2. Пятьдесят оттенков натуральных пищевых красителей
Иллюстрация к книге — Жизнь замечательных веществ [i_205.jpg]

В 2017 году исполняется десять лет с того момента, как апологеты натуральных пищевых добавок начали брать вверх над сторонниками синтетических (по крайней мере, в общественном мнении). В 2007 году на основании доклада профессора Джеймса Стивенсона из Саутгемптонского университета Агентство по пищевым стандартам Великобритании пересмотрело рекомендации в отношении некоторых искусственных пищевых добавок, в первую очередь синтетических красителей.


Вот основной вывод Стивенсона: «Проведено крупное исследование в важной области. Результаты свидетельствуют о том, что потребление определенных искусственных пищевых красителей… связано с повышением частоты случаев гиперактивного поведения у детей. Однако родители не должны думать, что, исключив из рациона эти пищевые добавки, они избавят своих детей от подобных расстройств. Нам известно, что многое другое влияет на гиперактивность, но, по меньшей мере, этот риск можно снизить».

Доклад прямо или косвенно обвинял следующие синтетические пищевые красители: тартразин (E102, жёлто-оранжевого цвета); хинолиновый жёлтый (E104, фактически жёлто-зелёный); жёлтый «солнечный закат» (E110, оранжево-жёлтый), красные кармазин (E122) и понсо 4R (E124), и красный очаровательный АС (E129) – оранжево-красный.

Иллюстрация к книге — Жизнь замечательных веществ [i_206.jpg]

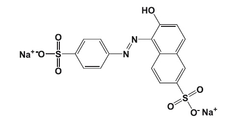
Тетразин (Е102)

Иллюстрация к книге — Жизнь замечательных веществ [i_207.jpg]

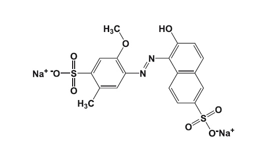
Солнечный закат (Е110)

Иллюстрация к книге — Жизнь замечательных веществ [i_208.jpg]

Красный очаровательный АС (Е129)


Несмотря на мягкую формулировку, британское Агентство по пищевым стандартам, финансировавшее исследования Стивенсона, призвало британских производителей добровольно отказаться от использования пищевых красителей, упомянутых в докладе. Потом начались многочисленные акции в Европейском союзе, участники которых требовали удалить синтетические красители из еды и напитков, – маховик был запущен.

Вместе с тем в документе самого Агентства по пищевым стандартам, на основании которого синтетические красители стали считаться чем-то нехорошим, написано, что нет строгих научных данных, которые бы указывали на прямую связь между красителями и изменением в поведении детей. Так, в разделе, посвященном методологии исследования, говорится, что примерно в 50 % случаях выявленная связь между гиперактивным поведением и потреблением продуктов с искусственным красителем делалась на основе оценочных суждений родителей. В тех же случаях, когда речь шла о статистических закономерностях, полученных педиатрами, практически не применялось слепое тестирование и двойное слепое тестирование, которые позволили бы выявить возможные эффекты плацебо и ноцебо (то есть отрицательную реакцию, вызванную чисто психологическими причинами).

Иллюстрация к книге — Жизнь замечательных веществ [i_209.jpg]

С 2007 года производителям пришлось изменить состав сотен напитков и продуктов питания. Главным образом в рецептуре заменяли синтетические красители (не только шесть упомянутых в «саутгемптонском докладе», но и другие) красителями, выделенными из природных источников. А разрабатывая новые продукты, технологи старались использовать натуральные красители. Статистика говорит, что 90 % пищевых продуктов, появившихся на европейском рынке за последние пять лет, содержат только натуральные красители. В США и Канаде таких продуктов меньше, лишь 50 %.

Скорее всего, европейские дети не стали здоровее после перехода на натуральные красители, а вот химики-пищевики и технологи приобрели большую головную боль.

Иллюстрация к книге — Жизнь замечательных веществ [i_210.jpg]

С точки зрения химика и технолога нет ничего лучше синтетических красителей. Они устойчивы, растворимы в воде, их можно использовать в любом рецепте, большинство из них не меняют цвет при термообработке. С натуральными красителями, напротив, множество проблем: на их поведение и внешний вид влияют рН, температура, свет и даже контакт с кислородом воздуха. И вишенка на торте: далеко не все красители природного происхождения хорошо растворимы в воде. При этом каждый природный краситель заставляет решать дополнительные задачи, чтобы скучно не было.

Вход
Поиск по сайту
Ищем:
Календарь