Книга Пуговицы Наполеона. Семнадцать молекул, которые изменили мир, страница 28 – Пенни Лекутер, Джей Берресон

Авторы: А Б В Г Д Е Ж З И Й К Л М Н О П Р С Т У Ф Х Ч Ш Ы Э Ю Я
Книги: А Б В Г Д Е Ж З И Й К Л М Н О П Р С Т У Ф Х Ц Ч Ш Щ Ы Э Ю Я
Бесплатная онлайн библиотека LoveRead.in

Онлайн книга «Пуговицы Наполеона. Семнадцать молекул, которые изменили мир»

📃 Cтраница 28

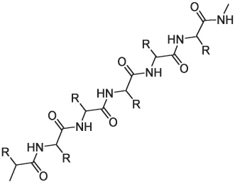
Примерно 80–85 % аминокислотной последовательности белка шелка составляет повторяющаяся последовательность глицин-серин-глицин-аланин-глицин-аланин. Такой полимер имеет зигзагообразную структуру, с каждой стороны которой происходит чередование боковых групп.

Иллюстрация к книге — Пуговицы Наполеона. Семнадцать молекул, которые изменили мир [i_104.jpg]

Зигзагообразная структура белка шелка: с каждой стороны цепи происходит чередование R-групп


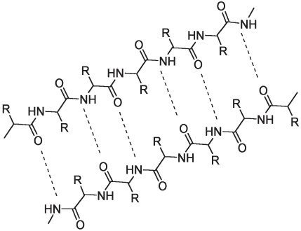
Эта белковая цепь укладывается параллельно соседним цепям, идущим в противоположном направлении. Цепи удерживаются между собой благодаря перекрестному взаимодействию (на рисунке показано пунктиром).

Иллюстрация к книге — Пуговицы Наполеона. Семнадцать молекул, которые изменили мир [i_105.jpg]

Притяжение между соседними молекулами белка шелка


В результате образуются складчатые слои, вверх и вниз от которых отходят чередующиеся R-группы.

Иллюстрация к книге — Пуговицы Наполеона. Семнадцать молекул, которые изменили мир [i_106.jpg]

Складчатые слои в структуре шелка. Жирные линии соответствуют аминокислотным цепям белка. На этом рисунке боковые группы, направленные вверх, обозначены как R, а боковые группы, направленные вниз (изображены не все), обозначены как R'. Тонкие и пунктирные линии обозначают силы притяжения, удерживающие белковые цепи вместе.


Гибкая структура шелка устойчива к растяжению и определяет многие физические свойства этого белка. Белковые цепи прилегают друг к другу достаточно плотно. Боковые R-группы, выступающие на поверхность, имеют сравнительно малый размер, что объясняет гладкость поверхности шелка. Кроме того, гладкая поверхность хорошо отражает свет — отсюда знаменитый блеск шелковых тканей. Таким образом, многие ценные свойства шелка объясняются малым размером боковых групп в аминокислотной последовательности.

Знатоки также высоко ценят специфическую “искру” шелковых изделий, которая связана с тем, что не вся последовательность белковых молекул шелка имеет регулярную структуру. Участки, в которых регулярность нарушена, преломляют отраженный свет, что и приводит к появлению искры. Шелк очень хорошо окрашивается, и мало какой материал может сравниться с ним по способности впитывать природные или искусственные красители. Это свойство шелка связано с теми фрагментами последовательности, которые не образуют регулярных складчатых слоев. Среди оставшихся 15–20 % аминокислотных остатков, не являющихся глицином, аланином или серином, есть такие, чьи боковые цепи могут связывать молекулы красителя, в результате чего шелк приобретает богатый и устойчивый цвет. Именно эта двоякая природа шелка, заключающаяся в присутствии как складчатых слоев из повторяющихся аминокислот с небольшими боковыми группами, так и нерегулярных участков, образованных другими аминокислотами, делает шелк ценным и востребованным материалом.

Создание искусственного шелка

Перечисленные выше свойства шелка усложняют его получение в искусственных условиях. Однако ввиду высокой стоимости и востребованности шелка со второй половины XIX века предпринимались настойчивые попытки его синтеза. Молекула шелка очень проста: она представляет собой многократное повторение очень похожих звеньев. Однако воспроизведение упорядоченного и случайного расположения звеньев в искусственных условиях представляет собой весьма сложную задачу. Современная химия позволяет синтезировать определенную белковую последовательность, но это очень длительная и трудоемкая процедура. Если синтезировать шелк в лаборатории таким путем, он окажется во много раз дороже натурального.

Поскольку сложная химическая структура шелка была установлена только в XX веке, прежние удачные попытки синтеза были, вообще говоря, счастливой случайностью. В конце 70-х годов XIX века французский граф Илер де Шардонне, занимавшийся своим любимым делом — фотографией, обнаружил, что разлитый раствор коллодия (нитроцеллюлозного материала, использовавшегося для покрытия фотографических пластинок) превращается в липкую массу, из которой можно вытянуть длинные нити, похожие на шелк. Это напомнило Шардонне о студенческих годах. Однажды он сопровождал своего профессора, великого Луи Пастера, в Лион, чтобы изучить болезнь шелковичных червей, ставшую серьезной проблемой для французской шелковой индустрии. Причину болезни сразу установить не удалось, но Шардонне провел много времени, изучая шелковичных червей и их волокно. Вспомнив об этом, он попытался продавить раствор коллодия через ряд мелких дырочек. Так был создан первый относительно близкий аналог шелкового волокна.

Слова “синтетический” и “искусственный” в современном языке часто считают взаимозаменяемыми, а в большинстве словарей они приводятся в качестве синонимов. Однако между этими словами есть четкое химическое различие. Химики называют синтетическим веществом то вещество, которое создано человеком с помощью химических реакций. Это вещество может существовать в природе, а может и не существовать. Если такое вещество существует в природе, синтетическая версия является химически идентичной природной версии. Например, витамин C, или аскорбиновая кислота, может быть синтезирован в лаборатории или на заводе; синтетический витамин C ничем не отличается по химической структуре от природного витамина C.

Слово “искусственный” имеет отношение к свойствам вещества. Искусственное вещество имеет иную химическую структуру, чем его природный аналог, однако его свойства и функции достаточно близки. Например, искусственный заменитель сахара имеет другую структуру, чем сахар, однако эти два вещества имеют одинаковое общее свойство (в данном случае сладкий вкус). Искусственные вещества часто изготовлены руками человека, то есть являются синтетическими, но это не всегда так. В частности, некоторые заменители сахара существуют в природе.

Так что Шардонне создал искусственный, но не синтетический шелк, хотя и получил его синтетическим путем. Синтетическим шелком следует называть шелк, изготовленный синтетическим путем и химически идентичный натуральному. Материал же, вошедший в историю под названием “шелка Шардонне”, напоминал шелк по некоторым, но не всем, параметрам. Он был мягким и блестящим, но, к сожалению, очень легко воспламенялся (нежелательное свойство для ткани). “Шелк Шардонне” пряли из раствора нитроцеллюлозы, а как мы видели в предыдущей главе, нитроцеллюлоза достаточно легко загорается и взрывается (это обусловлено количеством нитрогрупп в молекуле).

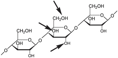
Иллюстрация к книге — Пуговицы Наполеона. Семнадцать молекул, которые изменили мир [i_107.jpg]

Участок молекулы целлюлозы. На примере одного остатка глюкозы стрелками показаны те OH-группы, по которым может происходить нитрование.

Вход
Поиск по сайту
Ищем:
Календарь