Книга Пуговицы Наполеона. Семнадцать молекул, которые изменили мир, страница 27 – Пенни Лекутер, Джей Берресон

Авторы: А Б В Г Д Е Ж З И Й К Л М Н О П Р С Т У Ф Х Ч Ш Ы Э Ю Я
Книги: А Б В Г Д Е Ж З И Й К Л М Н О П Р С Т У Ф Х Ц Ч Ш Щ Ы Э Ю Я
Бесплатная онлайн библиотека LoveRead.in

Онлайн книга «Пуговицы Наполеона. Семнадцать молекул, которые изменили мир»

📃 Cтраница 27

Торговля шелком развивалась медленно, однако уже к I веку до н. э. морем осуществлялись регулярные поставки шелка на Запад. В Японии шелководство началось примерно в 200-х годах н. э. и развивалось независимо. Чтобы защитить свою монополию на производство шелка, китайцы казнили всех, кто пытался вывезти шелковичных червей, коконы и семена шелковицы. Однако, как гласит легенда, в 552 году два монаха-несторианца сумели вывезти из Китая в Константинополь яйца шелковичного червя и семена шелковицы, спрятав их в пустотелых посохах. С этого началось производство шелка на Западе. Если легенда правдива, то это первый в истории случай промышленного шпионажа.

Шелководство распространилось по всему Средиземноморью, а к XIV веку стало одной из процветающих отраслей в Италии, особенно на севере страны. Венеция, Лукка и Флоренция прославились своей превосходной парчой и бархатом. Экспорт шелка на север Европы был одним из финансовых источников, питавших Ренессанс. Шелковых дел мастера, спасаясь от политических неурядиц в Италии, бежали во Францию и заложили основы производства шелка в этой стране. В 1466 году Людовик XI освободил лионских ткачей от уплаты налогов, издал закон о посадке шелковицы и заказал шелк для королевского двора. В течение следующих пяти столетий европейское шелководство концентрировалось вокруг Лиона. В XVI веке, когда французские и фламандские ткачи, спасаясь от религиозных преследований, перебрались в Англию, шелковые мануфактуры появились в Маклсфилде и Спитталфилде.

Все попытки разведения шелковичного червя в Северной Америке оказались безуспешными. Однако там были разработаны высокомеханизированные процессы прядения и ткачества. В первой половине XX века США были одним из главных производителей шелковых товаров в мире.

Химия сияния и блеска

Шелк, подобно другим волокнам животного происхождения, таким как шерсть и волосы, представляет собой белок. Все белки состоят из двадцати двух α-аминокислот. Любая α-аминокислота содержит аминогруппу (NH2) и кислотную группу (COOH), причем обе они присоединены к одному и тому же так называемому α-атому углерода.

Иллюстрация к книге — Пуговицы Наполеона. Семнадцать молекул, которые изменили мир [i_094.jpg]

Общая формула α-аминокиспоты


Обычно пользуются более сжатой формой записи:

Иллюстрация к книге — Пуговицы Наполеона. Семнадцать молекул, которые изменили мир [i_095.jpg]

Сжатая форма записи общей формулы α-аминокислоты


Здесь R обозначает особую группу атомов в каждой конкретной аминокислоте. Существует двадцать два варианта структуры R, что и объясняет существование двадцати двух аминокислот. R-группу иногда называют боковой группой (боковой цепью). Именно структура этой боковой цепи отвечает за уникальные свойства шелка (а также за уникальные свойства любого другого белка).

Самая маленькая боковая группа представлена всего одним атомом водорода. Такую структуру имеет аминокислота глицин, изображенная на рисунке.

Иллюстрация к книге — Пуговицы Наполеона. Семнадцать молекул, которые изменили мир [i_096.jpg]

Аминокислота глицин


Аминокислоты аланин и серин также имеют простые боковые группы — CH3 и CH2OH соответственно.

Иллюстрация к книге — Пуговицы Наполеона. Семнадцать молекул, которые изменили мир [i_097.jpg]

Аланин

Иллюстрация к книге — Пуговицы Наполеона. Семнадцать молекул, которые изменили мир [i_098.jpg]

Серин


Эти три аминокислоты имеют самые маленькие боковые группы, и именно они чаще всего встречаются в шелке, так что на их долю приходится около 85 % общего аминокислотного состава этого белка. Малый размер боковых групп аминокислот шелка является важным фактором, определяющим гладкость шелковой нити. Другие аминокислоты имеют гораздо более крупные и сложные боковые группы.

Подобно целлюлозе, шелк является полимером — макромолекулой, состоящей из повторяющихся звеньев. Однако в отличие от целлюлозы, в которой все звенья одинаковы, звенья белковой молекулы — аминокислоты — несколько различаются. Точнее, все части аминокислот, образующих полимерную цепь, одинаковы, а различаются их боковые группы.

При соединении двух аминокислот происходит удаление атома водорода от группы NH2 (N-конец) и OH от группы COOH (C-конец). В результате образуется так называемая амидная группа. Возникающую при этом связь между углеродом одной аминокислоты и азотом другой аминокислоты называют пептидной связью.

Иллюстрация к книге — Пуговицы Наполеона. Семнадцать молекул, которые изменили мир [i_099.jpg]

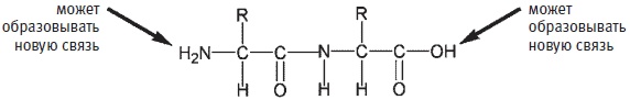
Конечно, на одном конце этой вновь образовавшейся молекулы сохраняется группа OH, которая может участвовать в образовании следующей пептидной связи с другой аминокислотой. А на другом конце молекулы сохраняется группа NH2 (иногда ее записывают как H2N), которая тоже может образовывать новую пептидную связь.

Иллюстрация к книге — Пуговицы Наполеона. Семнадцать молекул, которые изменили мир [i_100.jpg]

Амидную группу

Иллюстрация к книге — Пуговицы Наполеона. Семнадцать молекул, которые изменили мир [i_101.jpg]

обычно изображают в сжатом виде:

Иллюстрация к книге — Пуговицы Наполеона. Семнадцать молекул, которые изменили мир [i_102.jpg]

Если к этой молекуле присоединятся две новые аминокислоты, образуется цепочка из четырех аминокислот, соединенных между собой амидными связями.

Иллюстрация к книге — Пуговицы Наполеона. Семнадцать молекул, которые изменили мир [i_103.jpg]

Здесь изображена цепочка из четырех аминокислотных остатков с четырьмя боковыми группами R, R', R'' и R'''. Эти группы могут различаться. В нашей цепочке всего четыре аминокислоты, но возможное число различных последовательностей уже достаточно велико. Поскольку есть двадцать два варианта каждой боковой группы, существует 224 = 234256 вариантов цепи из четырех аминокислот. Даже такой маленький белок, как гормон поджелудочной железы инсулин, регулирующий метаболизм глюкозы, состоит из 51 аминокислоты, так что гипотетическое количество вариантов последовательности такого белка составляет 2251 = 2,9 х 1068, или миллиарды миллиардов.

Вход
Поиск по сайту
Ищем:
Календарь