Книга Стратегии решения математических задач. Различные подходы к типовым задачам, страница 13 – Стивен Крулик, Альфред Позаментье

Авторы: А Б В Г Д Е Ж З И Й К Л М Н О П Р С Т У Ф Х Ч Ш Ы Э Ю Я
Книги: А Б В Г Д Е Ж З И Й К Л М Н О П Р С Т У Ф Х Ц Ч Ш Щ Ы Э Ю Я
Бесплатная онлайн библиотека LoveRead.in

Онлайн книга «Стратегии решения математических задач. Различные подходы к типовым задачам»

📃 Cтраница 13
Задача 3.3

По определению, палиндром — это число, которое одинаково читается слева направо и справа налево. Так, числа 66, 595, 2332, 7007 являются палиндромами. Учитель Джека дал классу задание найти сумму первых 15 натуральных чисел. Джек взял калькулятор и сложил все числа от 1 до 15. Результат, к его удивлению, оказался палиндромом. Вместе с тем Джек пропустил одно число. Какое число он забыл включить?

Обычный подход

Как правило пытаются составить все возможные комбинации слагаемых, исключая по одному числу каждый раз, до тех пор, пока сумма 14 чисел не даст палиндром. Такой грубый метод вполне работоспособен, особенно когда вы используете калькулятор. Вместе с тем он требует времени, если вы действительно исключаете по одному числу за раз.

Образцовое решение

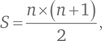
Попробуем подойти к решению задачи иначе и сначала определим, какую сумму должны дать первые 15 натуральных чисел. Хотя можно воспользоваться известной формулой для вычисления суммы членов арифметической прогрессии, а именно

Иллюстрация к книге — Стратегии решения математических задач. Различные подходы к типовым задачам [i_067.jpg]
намного интереснее пойти путем, который предложил Карл Фридрих Гаусс, когда ему было 10 лет. Вместо того, чтобы складывать числа последовательно: 1 + 2 + 3 + … + 14 + 15, он к первому числу прибавил последнее, затем ко второму — предпоследнее и т. д. В результате у него получилось семь раз по 16 и 8 в середине, что в сумме составило 7 × 16 + 8 = 120.

Поскольку Джек упустил одно слагаемое и получил палиндром, результатом должно быть число 111. Вы можете возразить, почему именно этот палиндром, а не 101, например? Чтобы получить 101, упустив одно число, вы должны забыть 19, а это число лежит за пределами нашего интервала 1–15. Таким образом, Джек забыл число 9.

Задача 3.4

Мама испекла печенье на полдник для Берты. В первый день Берта съела половину всего испеченного печенья. На второй день она съела половину от того, что осталось. На третий день — одну четверть остатка, а на четвертый — одну треть. На пятый день она довольствовалась половиной того, что осталось, а на шестой день доела одно последнее печенье. Какое количество печенья испекла мама Берты?

Обычный подход

Первая реакция — написать ряд выражений, представляющих количество печенья, съеденного каждый день. Допустим, x — это начальное количество печенья.

Иллюстрация к книге — Стратегии решения математических задач. Различные подходы к типовым задачам [i_068.jpg]

Мама Берты испекла 16 печений.

Образцовое решение

Более эффективным является использование нашего подхода от обратного. Начнем с конца задачи и пойдем в обратном порядке:

В день 6 Берта съела одно последнее печенье, значит было 1 печенье;

В день 5 она съела 1/2, значит было 2 печенья;

В день 4 она съела 1/3, значит было 3 печенья;

В день 3 она съела 1/4, значит было 4 печенья;

В день 2 она съела 1/2, значит было 8 печений;

В день 1 она съела 1/2, значит было 16 печений.

Таким образом, вначале у Берты было 16 печений. Обратите внимание на то, что при вычислениях от обратного необходимо изменять используемые операции на «обратные». Вместо деления пополам мы должны удваивать, вместо сложения — вычитать и т. д. Это довольно легкий процесс.

Задача 3.5

Задача, которая ставит в тупик многих любителей математики, выглядит так: Марии 24 года. Она в два раза старше, чем была Анна, когда ей было столько же, сколько Анне сейчас. Сколько лет Анне?

Обычный подход

Для решения этой задачи недостаточно просто составить уравнение, которое даст ответ. Требуется нечто большее. Можно начать с создания таблицы, показанной на рис. 3.4.

Иллюстрация к книге — Стратегии решения математических задач. Различные подходы к типовым задачам [i_069.jpg]

Мы имеем 24 = 2a, следовательно a = 12. Кроме того, 24 − x = a + x = 12 + x, следовательно x = 6. Анне было 12, когда Марии было столько же (18), сколько Анне сейчас (18).

Образцовое решение

Подход от обратного может оказаться полезным для решения этой задачи. А раз так, то начнем со следующих рассуждений.

В представленной ситуации есть два временных периода:

1. Нынешнее время, когда Марии 24 года.

2. Прошлое время n лет назад.

Введем следующие обозначения:

M — возраст Марии (24), A — возраст Анны, n — разница между двумя временными периодами.

В первом временном периоде — Мария в два раза старше, чем была Анна:

2 (A − n) = M. (3.1)

Во втором временном периоде — когда Марии было столько же, сколько Анне сейчас:

M − n = A. (3.2)

Подставим уравнение 3.2 в уравнение 3.1:

Иллюстрация к книге — Стратегии решения математических задач. Различные подходы к типовым задачам [i_070.jpg]

Значение n = 6 при подстановке в уравнение 3.2 дает:

M − 6 = AA = 24 − 6 = 18.

Таким образом, возраст Анны составляет 18 лет.

Задача 3.6

От какой точки в выпуклом четырехугольнике сумма расстояний до каждой из вершин будет минимальной?

Обычный подход

Большинство без особых раздумий пытаются методом проб и ошибок найти точку, для которой сумма расстояний до вершин будет наименьшей. Вполне возможно, что кто-то выберет точку на пересечении диагоналей. Это правильный ответ, однако такой подход оставляет вопросы.

Образцовое решение

Наша стратегия поиска ответа от обратного оказывается более рациональной в данном случае. Возьмем четырехугольник ABCD с диагоналями, пересекающимися в точке E, и с точкой P, которая, на наш взгляд, может быть искомой, имеющей минимальную сумму расстояний до вершин. Соединим точку P пунктирными линиями с вершинами, как показано на рис. 3.5.

Вход
Поиск по сайту
Ищем:
Календарь