Книга Стратегии решения математических задач. Различные подходы к типовым задачам, страница 12 – Стивен Крулик, Альфред Позаментье

Авторы: А Б В Г Д Е Ж З И Й К Л М Н О П Р С Т У Ф Х Ч Ш Ы Э Ю Я
Книги: А Б В Г Д Е Ж З И Й К Л М Н О П Р С Т У Ф Х Ц Ч Ш Щ Ы Э Ю Я
Бесплатная онлайн библиотека LoveRead.in

Онлайн книга «Стратегии решения математических задач. Различные подходы к типовым задачам»

📃 Cтраница 12

Будем двигаться от среднего результата Марии. Среднее (или среднее арифметическое) обычно определяется путем сложения всех результатов и деления суммы на количество результатов. Если средний результат 11 тестов равен 80, то сумма результатов 11 тестов должна составлять 11 × 80 = 880. (Обратите внимание на то, что мы умножаем на 11, т. е. выполняем обратное действие по отношению к первоначальному делению на 11.) Вычтем результат 30, который учительница отбросила, и уменьшим количество тестов на единицу. Таким образом, суммарный результат 10 тестов равен 850. Итоговый средний результат Марии равен:

850: 10 = 85.

Попробуем решить еще одну задачу с помощью действия от обратного.

Дэвид вернулся после четырех раундов игры в бейсбольные карточки. В его набор теперь входят 45 карточек. Когда я поинтересовался его успехами, он ответил, что потерял половину карточек в первом раунде. Во втором раунде он выиграл в 12 раз больше того, что было у него в тот момент. В третьем раунде выигрыш составил 9 карточек. Четвертый раунд закончился вничью, поэтому количество карточек у игроков не изменилось. Сколько карточек было у Дэвида перед началом игры?

Можно, конечно, составить ряд уравнений и попробовать решить задачу напрямую. Однако давайте посмотрим, сработает ли здесь наш подход от обратного. У нас есть конечный результат (45 карточек), а найти нужно начальное количество. Это своего рода «товарный знак» типичной задачи, эффективно решаемой с помощью вычисления от обратного. Итак, Дэвид закончил игру с 45 карточками. Четвертый раунд закончился вничью, поэтому в конце третьего раунда у него были все те же 45 карточек. В третьем раунде выигрыш составил 9 карточек, значит в конце второго раунда количество карточек было равно 36. Во втором раунде мальчик выиграл в 12 раз больше карточек, чем было, поэтому в конце первого раунда он должен был иметь 3 карточки. В первом раунде Дэвид проиграл половину своих карточек, таким образом, он начал игру с 6 карточками. Подход от обратного позволил легко решить эту задачу.

Задача 3.1

Сумма двух чисел равна 2. Произведение этих же двух чисел равно 5. Найдите сумму обратных величин этих двух чисел.

Обычный подход

Задача очевидно предполагает составление двух уравнений с двумя неизвестными:

x + y = 2;

xy = 5.

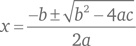
Эти два уравнения можно решить одновременно с использованием формулы корней квадратного уравнения:

Иллюстрация к книге — Стратегии решения математических задач. Различные подходы к типовым задачам [i_059.jpg]
для ax2 + bx + c = 0. Однако этот метод дает значения для x и y в виде комплексных чисел, а именно 1 + 2i и 1–2i. В соответствии с условиями нашей задачи нам нужно найти сумму обратных величин этих двух квадратных корней.

Иллюстрация к книге — Стратегии решения математических задач. Различные подходы к типовым задачам [i_060.jpg]

Подчеркнем, что в таком методе нет ничего неправильного, это просто не самый изящный способ решения задачи.

Образцовое решение

Прежде чем браться за решение задачи, полезно отступить на шаг назад и посмотреть, что требуется. Заметим, что в данной задаче требуется определить не значения x и y, а сумму обратных величин этих двух чисел. Иначе говоря, нам нужно найти

Иллюстрация к книге — Стратегии решения математических задач. Различные подходы к типовым задачам [i_061.jpg]
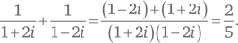
Используя подход от обратного, мы можем задаться вопросом, к чему это ведет. Сложение этих двух дробей может дать ответ. Таким образом,
Иллюстрация к книге — Стратегии решения математических задач. Различные подходы к типовым задачам [i_062.jpg]
Фактически мы сразу получаем ответ, поскольку знаем, что сумма чисел равна 2, а их произведение — 5. Просто подставим эти значения в последнюю дробь и получим:
Иллюстрация к книге — Стратегии решения математических задач. Различные подходы к типовым задачам [i_063.jpg]
Задача решена.

Задача 3.2

В распоряжении Лорен 11-литровый и 5-литровый сосуды. Как ей отмерить точно 7 литров воды?

Обычный подход

Большинство людей начинают строить догадки и «переливать воду» туда-сюда в попытке найти правильный ответ. Это своего рода «неинтеллектуальный» метод проб и ошибок.

Образцовое решение

Вместе с тем задачу можно решить более рационально при использовании подхода от обратного. В конечном итоге нам нужно получить 7 литров воды в 11-литровом сосуде, оставив свободным пространство объемом 4 литра. Откуда взялись эти 4 литра? (См. рис. 3.1.)

Иллюстрация к книге — Стратегии решения математических задач. Различные подходы к типовым задачам [i_064.jpg]
Иллюстрация к книге — Стратегии решения математических задач. Различные подходы к типовым задачам [i_065.jpg]

Чтобы получить 4 литра, мы должны оставить 1 литр воды в 5-литровом сосуде. Но как получить 1 литр в таком сосуде? Наполните 11-литровый сосуд водой и дважды отлейте воду в 5-литровый сосуд. В 11-литровом сосуде останется ровно 1 литр воды. Вылейте этот 1 литр в 5-литровый сосуд (рис. 3.2).

Теперь наполните 11-литровый сосуд и отлейте из него 4 литра воды в 5-литровый сосуд до его заполнения. В 11-литровом сосуде останутся требуемые 7 литров воды (рис. 3.3).

Иллюстрация к книге — Стратегии решения математических задач. Различные подходы к типовым задачам [i_066.jpg]

Учтите, что задачи подобного типа не всегда имеют решение. Иначе говоря, если вы хотите составить новую задачу такого вида, следует знать, что решение существует только в тех случаях, когда разница величин, кратных емкостям двух сосудов, может быть равной заданному объему. В нашем случае 2 × 11 − 3 × 5 = 7.

Вход
Поиск по сайту
Ищем:
Календарь